阿拉善荒漠区6种主要灌木植物叶片C:N:P化学计量比的季节变化 |
| 牛得草, 李茜, 江世高, 常佩静, 傅华 |
|
Seasonal variations of leaf C:N:P stoichiometry of six shrubs in desert of China’s Alxa Plateau |
| NIU De-Cao, LI Qian, JIANG Shi-Gao, CHANG Pei-Jing, FU Hua |
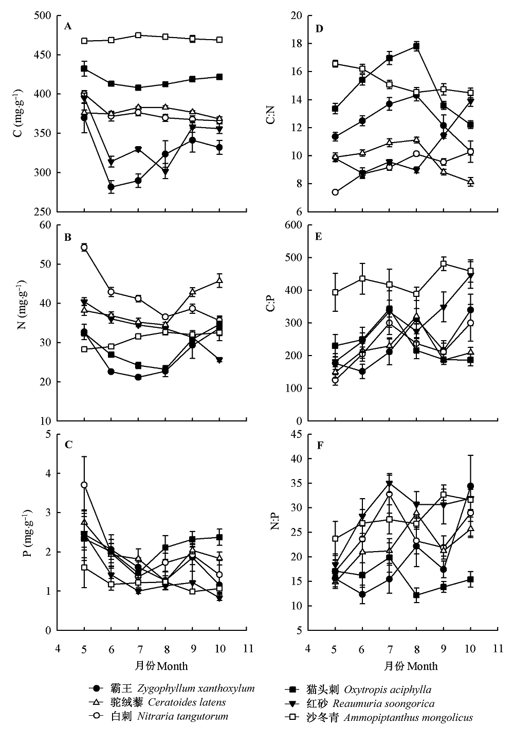
| 图1 6种植物不同物候期叶片C、N、P及C:N、C:P、N:P的动态(平均值±标准误差, n = 7)。 |
| Fig. 1 Seasonal dynamics of leaf C, N, P contents and C: N, C: P, N: P mass ratios in six plant species (mean ± SE, n = 7). |
|