放牧对内蒙古草地植物群落特征影响的meta分析
Meta-analysis of effects of grazing on plant community properties in Nei Mongol grassland
通讯作者: * 徐柱文 ORCID:0000-0002-8898-6577 (zwxu@imu.edu.cn)
编委: 陈世苹
责任编辑: 乔鲜果
收稿日期: 2022-08-23 接受日期: 2023-03-19
| 基金资助: |
|
Corresponding authors: * XU Zhu-Wen(zwxu@imu.edu.cn)
Received: 2022-08-23 Accepted: 2023-03-19
| Fund supported: |
|
放牧是内蒙古草原的主要利用方式, 对草地植物群落具有重要影响, 然而内蒙古草原植物群落特征对放牧的综合响应模式仍不清楚。基于76项研究数据, 本研究对不同放牧强度、不同草地类型和不同放牧年限下, 内蒙古草地植物群落特征和土壤理化性质进行meta分析, 以期综合评价内蒙古草地对放牧的响应模式。结果表明: 放牧显著降低了植物地上/地下生物量、盖度、高度、密度、物种丰富度、Shannon-Wiener多样性指数、Pielou均匀度指数、Simpson多样性指数和土壤含水量, 且负效应随放牧强度和放牧时间的增加而增强。放牧对植被稀少、环境承载力低的草地(如荒漠草原、沙地等)具有更大的负效应。该研究表明内蒙古草地植物群落特征对放牧的响应受多个因素调控, 应根据不同类型的草地制定适宜的放牧强度和放牧时间以实现草地的可持续利用。当前的放牧研究中放牧强度标准不统一, 使不同研究之间难以比较, 有些研究缺乏实验重复, 研究结果不具有统计学意义。探索放牧强度的统一量化标准将是今后放牧研究中重要且具有挑战性的问题, 同时实验设计的合理性也应受到重视。
关键词:
Aims Grazing, one of the primary ways of grassland utilization in Nei Mongol, has essential influences on plant community properties of grasslands. However, the comprehensive response patterns of Nei Mongol grassland plant community properties to grazing remain unclear.
Methods Based on a dataset derived from 76 studies, the plant community characteristics and soil physicochemical properties of Nei Mongol grasslands under different grazing intensities, different grassland types and different grazing years were integrated and analyzed in order to comprehensively evaluate the response patterns of Nei Mongol grasslands to grazing.
Important findings Our results showed that grazing significantly reduced plant above/below ground biomass, cover, height, density, species richness, Shannon-Wiener diversity index, Pielou evenness index, Simpson diversity index, and soil water content. The negative effects of grazing were strengthened with increasing of grazing intensity and duration. Moreover, grazing had a greater negative effect on the grasslands with sparse vegetation and low environmental carrying capacity (e.g., desert grasslands, sandy areas, etc.). This study shows that the responses of plant community characteristics to grazing in Nei Mongol grasslands are regulated by multiple factors, and appropriate grazing intensity and grazing time should be set according to different types of grasslands to achieve sustainable utilization of grasslands. The standards of grazing intensity in current grazing studies are not uniform, making it difficult to compare different studies, and the results from some studies do not have statistical significance due to a lack of replications in the experiment. The exploration of uniform quantitative standards for grazing intensity will be an important and challenging issue in future grazing studies, and the rationality of experimental design should also be emphasized.
Keywords:
引用本文
李娜, 唐士明, 郭建英, 田茹, 王姗, 胡冰, 罗永红, 徐柱文.
LI Na, TANG Shi-Ming, GUO Jian-Ying, TIAN Ru, WANG Shan, HU Bing, LUO Yong-Hong, XU Zhu-Wen.
草原作为陆地生态系统的重要组成部分, 占全球陆地面积的40%左右(Scurlock & Hall, 1998; Liu et al., 2019), 具有极为重要的生态和服务功能(Conant et al., 2001; 白永飞等, 2014; Zhou et al., 2014)。内蒙古草原作为我国北方草原的主体(Li et al., 2020), 不仅为人类提供了肉、奶、皮、毛等具有直接经济价值的产品(Boval & Dixon, 2012; 王鑫, 2021), 还具有调节气候、涵养水源、防风固沙、维持生态平衡等重要的生态功能, 是支撑当地人民生存发展的关键资源(白永飞和王扬, 2021)。改革开放以来, 畜牧业的迅速发展对内蒙古草原生态系统造成了重大威胁。羊的存栏量由2003年的4 450.14万只增加到2021年的6 138.2万只(内蒙古自治区统计局, 2004, 2021)。内蒙古草原目前的载畜率超过其承载能力3.2倍(Briske et al., 2015; 李艳龙, 2019)。家畜数量的日益增长和资源需求量的不断扩大对草原造成了巨大的压力(Kang et al., 2007), 导致内蒙古草原退化严重。
放牧对内蒙古草原的影响引起了生态学家们的广泛关注(李永宏和汪诗平, 1999; Ren et al., 2012; Wang et al., 2020; Yu et al., 2020; Zainelabdeen et al., 2020; Zheng et al., 2021)。有研究表明, 放牧对内蒙古草地植被或土壤特征具有负效应(Bai et al., 2012; 海龙等, 2016; 苏日娜, 2018; Song et al., 2020; Wang et al., 2020), 牲畜对植物的采食会抑制植物地上部分的生长, 不利于地上生物量的积累和多样性的维持, 同时会造成土壤养分的流失, 对土壤理化性质产生不利影响(李文怀等, 2014; 刘娜等, 2018; Nie et al., 2019)。也有研究发现放牧会对植被和土壤特征产生正效应, 适度放牧使地上植物出现补偿性生长, 有利于地上生物量的积累(李文怀等, 2014; 汤永康等, 2019), 支持了放牧优化假说(McNaughton, 1976)。Su等(2017)在针对草甸草原和典型草原的研究中发现放牧显著降低了植物盖度、高度、物种丰富度和地上生物量; 而Wang等(2018)的研究结果则表明中度放牧使沙地植物群落更加稳定, 物种丰富度更高。然而, 各项独立研究的背景条件和放牧管理模式存在很大差异, 这很有可能使研究结果受到这些因素的干扰。不同放牧强度、不同草地类型和不同放牧持续时间是否会对放牧效应产生影响仍然不得而知。因此, 有必要基于更广泛的实验数据进行meta分析, 揭示放牧对内蒙古草地这一区域尺度下植物群落和土壤特征的综合效应。
为此, 本研究对76项研究进行meta分析, 量化了放牧对草地植物群落特征和土壤理化性质的影响, 以及不同放牧强度、不同草地类型和不同放牧持续时间对放牧效应的调控作用。本研究旨在回答以下科学问题: (1)放牧对内蒙古草地植物群落特征和土壤理化性质具有怎样的综合效应? (2)不同放牧强度、不同草地类型和不同放牧持续时间是否会驱动放牧效应的改变? (3)盖度、高度、密度、物种多样性和土壤理化性质能否预测地上生物量的变化?
1 材料和方法
1.1 数据来源与汇编
通过中国知网(
通过查阅分析各相关文献的研究目的、方法和结果, 共确定了76篇符合本次研究主题的文献。直接从文献的表格中获取相关变量的平均值和标准差(SD), 或者通过Get Data Graph Digitizer软件(
进一步排除各项研究中重复或不具备统计学意义的数据后, 构建了一个包含76项研究、1 000余个变量的数据库, 数据库中的变量主要包含植物生物量、生产力、多样性指数、丰富度指数、均匀度指数、植物群落空间特征(高度、盖度、密度)以及土壤理化特征。鉴于草地类型、放牧牲畜类型等因素均调控草地生态系统的放牧强度, 而目前对纳入meta分析中的所有独立研究设定统一的放牧强度量化标准仍具有挑战性(He et al., 2020)。因此, 此项研究根据源文献提供的载畜率进行定性分类, 将放牧强度划分为轻度放牧(LG)、中度放牧(MG)和重度放牧(HG) (Zhou et al., 2017; Yan et al., 2020)。其中中度放牧大多为当地的传统载畜率, 低于或高于中度放牧分别被定义为轻度放牧和重度放牧, 这代表了放牧对不同草地植物群落的相对效应, 具有相对可比性(Herrero-Jáuregui & Oesterheld, 2018; He et al., 2020; Li et al., 2021)。为了进一步确定放牧效应的影响因素, 本研究根据放牧强度(轻度放牧、中度放牧, 重度放牧)、草地类型(典型草原、草甸草原、荒漠草原、沙地)和放牧持续时间(<5年、5-10年、10-20年、>20年)对收集到的数据进行分组, 再进行meta分析。本研究涉及的土壤特征数据均来自0-10 cm土层。
1.2 meta分析
通过meta分析对各独立实验的结果进行统计分析, 采用响应比(RR)度量各项研究效应值的大小(Hedges et al., 1999)。响应比被定义为放牧处理中目标变量的平均值(Xe)与对照中目标变量的平均值(Xc)之比的自然对数, 其计算公式如下:
假设使用该方法计算的响应比符合正态分布(Hedges et al., 1999)。响应比的方差(v)通过以下公式计算:
式中, Ne和Nc分别为放牧组和对照组的样本量, SDe和SDc分别为放牧组和对照组中目标变量的标准差。每个响应比的加权系数w为方差v的倒数, 计算公式如下:
为了提高研究的准确性, 还计算了各放牧组和对照组的平均加权响应比(RR++), 精度越高的研究将被赋予越大的权重, 其计算公式如下:
式中, wij为第i组中第j个变量的加权系数, m为组数, k为第i组中目标变量成对数量(放牧组中目标变量的一个值与对照组中目标变量的一个值为一对)。
加权标准差的计算公式如下:
采用线性混合效应模型(liner mixed effects model)检验环境因子(年平均气温(MAT)、年降水量(MAP))对植物群落生物量、空间特征和多样性响应比的影响, 将MAT、MAP作为固定因子, 将草地类型作为随机因子。另外, 使用Pearson相关分析探究各变量之间的相关关系。本研究通过MetaWin 2.1软件计算响应比和95%置信区间, 通过R 4.1.1中“ggplot2”程序包绘制森林图, 通过“nlme”程序包完成线性混合效应模型分析, 通过“Hmisc”程序包完成Pearson相关分析, 通过Excel完成数据库的构建与管理。
2 结果
2.1 放牧对内蒙古草地植物群落和土壤特征的综合效应
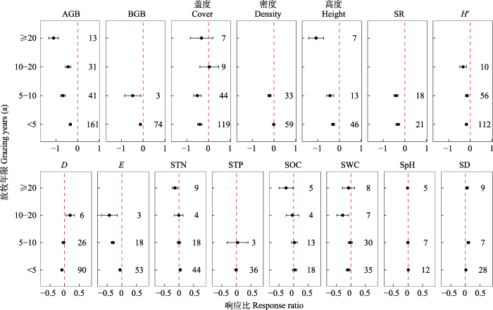
放牧对植物地上生物量(-46.52%, 响应比的百分数, 下同)、地下生物量(-13.74%)、密度(-12.21%)、高度(-39.81%)、盖度(-39.54%)、物种丰富度(-17.50%)、Shannon-Wiener多样性指数(-19.04%)、Pielou均匀度指数(-7.90%)、Simpson多样性指数(-16.65%)和土壤含水量(-6.13%)具有显著的负效应, 但对土壤全氮含量、土壤全磷含量、土壤有机碳含量、土壤pH和土壤密度没有显著影响(图1)。
图1
图1
内蒙古草地植物生物量、盖度(Cover)、高度(Height)、密度(Density)、物种多样性和土壤理化性质对放牧的加权响应比(平均值± 95% CI)。右侧数字表示各变量的样本量。CI, 置信区间。AGB, 地上生物量; BGB, 地下生物量; D, Pielou均匀度指数; E, Simpson多样性指数; H′, Shannon-Wiener多样性指数; SD, 土壤密度; SpH, 土壤pH; SOC, 土壤有机碳含量; SR, 物种丰富度; STN, 土壤全氮含量; STP, 土壤全磷含量; SWC, 土壤含水量。
Fig. 1
Weighted response ratio of plant biomass, cover, height, density, species diversity, and soil physical and chemical properties to grazing in Nei Mongol grassland (mean ± 95% CI). The number on the right indicates the sample size of each variable. CI, confidence interval. AGB, above-ground biomass; BGB, below-ground biomass; D, Pielou evenness index; E, Simpson diversity index; H′, Shannon-Wiener diversity index; SD, soil density; SpH, soil pH; SOC, soil organic carbon content; STN, soil total nitrogen content; STP, soil total phosphorus content; SWC, soil water content.
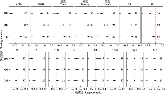
2.2 不同放牧强度对放牧效应的影响
放牧对植物群落特征的负效应随放牧强度的增加而增加。轻度、中度和重度放牧对地上生物量的负效应分别为-16.66%、-47.74%、-77.11%; 对地下生物量的负效应分别为-10.93%、-10.19%、-26.88%; 对盖度的负效应分别为-15.99%、-35.44%、-67.59%;对高度的负效应分别为-20.91%、-33.02%、-62.74%; 对密度负效应为-3.18%、-11.38%、-25.73%; 对物种丰富度的负效应分别为-4.08%、-21.30%、-27.22%; 对Shannon-Wiener多样性指数的负效应分别为-14.25%、-9.80%、-37.76%; 对Pielou均匀度指数的负效应分别为-4.93%、-1.71%、-21.47%; 对Simpson多样性指数的负效应分别为-13.81%、-11.49%、-26.72% (图2), 其中轻度放牧对密度和物种丰富度的负效应不显著。重度放牧使土壤有机碳含量显著增加14.85%; 中度和重度放牧对土壤含水量都具有显著的负效应, 分别为-8.08%、-6.40%; 土壤pH对中度和重度放牧的响应比分别为1.42%和-1.70%; 各放牧强度对土壤全氮含量、土壤全磷含量和土壤密度均没有显著影响(图2)。
图2
图2
内蒙古草地植物生物量、盖度、高度、密度、物种多样性和土壤理化性质对不同放牧强度的响应比(平均值± 95% CI)。右侧数字表示各变量的样本量。CI, 置信区间。HG, 重度放牧; LG, 轻度放牧; MG, 中度放牧。AGB, 地上生物量; BGB, 地下生物量; D, Pielou均匀度指数; E, Simpson多样性指数; H′, Shannon-Wiener多样性指数; SD, 土壤密度; SpH, 土壤pH; SOC, 土壤有机碳含量; SR, 物种丰富度; STN, 土壤全氮含量; STP, 土壤全磷含量; SWC, 土壤含水量。
Fig. 2
Response ratio of plant biomass, cover, height, density, species diversity, and soil physical and chemical properties to different grazing intensities in Nei Mongol grassland (mean ± 95% CI). The number on the right indicates the sample size of each variable. CI, confidence interval. HG, heavy grazing; LG, light grazing; MG, mediate grazing. AGB, above-ground biomass; BGB, below-ground biomass; D, Pielou evenness index; E, Simpson diversity index; H′, Shannon-Wiener diversity index; SD, soil density; SpH, soil pH; SOC, soil organic carbon content; STN, soil total nitrogen content; STP, soli total phosphorus content; SWC, soil water content.
2.3 草地类型调控不同放牧强度对各变量的效应
图3
图3
内蒙古不同类型草地中, 生物量、盖度、高度、密度、物种多样性和土壤理化性质对不同放牧强度的响应比(平均值± 95% CI)。右侧数字表示各变量的样本量。CI, 置信区间。HG, 重度放牧; LG, 轻度放牧; MG, 中度放牧。DG, 荒漠草原; M, 草甸草原; S, 沙地; TG, 典型草原。AGB, 地上生物量; BGB, 地下生物量; D, Pielou均匀度指数; E, Simpson多样性指数; H′, Shannon-Wiener多样性指数; SD, 土壤密度; SpH, 土壤pH; SOC, 土壤有机碳含量; SR, 物种丰富度; STN, 土壤全氮含量; STP, 土壤全磷含量; SWC, 土壤含水量。
Fig. 3
In different grassland types of Nei Mongol, the response ratio of biomass, cover, height, density, species diversity, and soil physical and chemical properties to different grazing intensities (mean ± 95% CI). The number on the right indicates the sample size of each variable. CI, confidence interval. HG, heavy grazing; LG, light grazing; MG, mediate grazing. DG, desert grassland; M, meadow grassland; S, sandy land; TG, typical grassland. AGB, above-ground biomass; BGB, below-ground biomass; D, Pielou evenness index; E, Simpson diversity index; H′, Shannon-Wiener diversity index; SD, soil density; SpH, soil pH; SOC, soil organic carbon content; STN, soil total nitrogen content; STP, soil total phosphorus content; SWC, soil water content.
在典型草原中, 轻度放牧不影响植物盖度, 但对植物高度显著的负效应是-15.90%; 中度放牧对植物盖度和高度的负效应分别为-17.78%和-26.25%; 重度放牧对植物盖度和高度的负效应分别为-37.49%和-51.04%; 不同放牧强度对植物密度均没有显著影响(图3)。荒漠草原盖度对轻、中、重度放牧的负效应分别为-24.94%、-52.72%、-83.24%; 重度放牧对荒漠草原高度显著的负效应是-62.47%; 荒漠草原密度在轻度放牧条件下没有显著变化, 但中度和重度放牧分别对其显著的负效应是-27.41%和-30.36% (图3)。沙地植物盖度对轻、中和重度放牧的负效应分别为-23.13%、-53.10%、-119.75% (图3)。各放牧强度对草甸草原植物密度均没有显著的影响(图3)。
典型草原轻度放牧对Simpson多样性指数显著的负效应是-30.79%, 中度放牧对Pielou均匀度指数显著的负效应是-12.37%, 重度放牧显著降低了Shannon-Wiener多样性指数和Pielou均匀度指数, 负效应分别为-39.23%和-33.74%。荒漠草原物种丰富度对轻度、中度、重度放牧的响应比分别为-26.74%、-39.66%、-54.82%; Shannon-Wiener多样性指数对轻度、中度、重度放牧的响应比分别为-13.12%、-17.72%、-33.09%; Simpson多样性指数对轻度、中度、重度放牧的响应比分别为-22.05%、-23.59%、-45.01%。值得注意的是, 轻度和重度放牧对荒漠草原物种Pielou均匀度指数的显著负效应分别为-3.28%和-14.38%, 而中度放牧则呈现显著正效应(4.43%)。在草甸草原中, 中度放牧对Shannon-Wiener多样性指数的显著正效应是8.25%, Pielou均匀度指数对轻度放牧具有显著正响应(4.44%), Simpson多样性指数对轻度和中度放牧的响应比分别为1.48%和1.82%。不同放牧强度对沙地植物群落Shannon-Wiener多样性指数均无显著影响(图3)。
轻度和重度放牧分别显著增加荒漠草原土壤全氮含量9.50%和20.19%, 重度放牧对其土壤有机碳含量显著的正效应是29.42%。中度和重度放牧使典型草原土壤含水量分别降低10.95%和23.58%, 中度放牧使典型草原土壤密度显著增加是1.77%, 不同放牧强度对其他变量均没有显著影响(图3)。
2.4 放牧持续时间影响各变量对放牧的响应
放牧效应随放牧年限的增加而增加。<5年的放牧显著降低了地上生物量(-33.62%)、地下生物量(-12.30%)、盖度(-40.47%)、高度(-29.28%)、物种丰富度(-32.90%)、Shannon-Wiener多样性指数(-18.09%)、Pielou均匀度指数(-8.99%)、Simpson多样性指数(-6.05%)和土壤含水量(-9.34%), 显著提高了土壤全氮含量(4.09%)和土壤密度(1.65%), 而对密度、土壤有机碳含量、土壤全磷含量和土壤pH无显著影响(图4)。5-10年的放牧对地上生物量(-68.52%)、地下生物量(-48.04%)、盖度(-51.51%)、高度(-43.63%)、密度(-20.46%)、物种丰富度(-40.96%)、Shannon-Wiener多样性指数(-15.92%)和Simpson多样性指数(-30.97%)均有显著负效应, 而对土壤密度(9.99%)有显著正效应, 对Pielou均匀度指数、土壤全氮含量、土壤有机碳含量、土壤全磷含量、土壤含水量和土壤pH无显著影响(图4)。10-20年的放牧显著影响地上生物量(-43.55%)、Shannon-Wiener多样性指数(-33.34%)、Pielou均匀度指数(19.29%)和Simpson多样性指数(-42.59%), 但盖度、土壤全氮含量、土壤有机碳含量和土壤含水量无显著变化(图4)。≥20年的放牧显著降低地上生物量(-111.21%)、高度(-107.66%)、土壤全氮含量(-13.94%)和土壤有机碳含量(-25.83%), 显著增加土壤密度(6.11%), 而盖度、土壤含水量和土壤pH无显著变化(图4)。
图4
图4
不同放牧年限下, 内蒙古草地植物生物量、盖度、高度、密度、物种多样性和土壤理化性质对放牧的响应比(平均值± 95% CI)。右侧数字表示各变量的样本量。CI, 置信区间。AGB, 地上生物量; BGB, 地下生物量; D, Pielou均匀度指数; E, Simpson多样性指数; H′, Shannon-Wiener多样性指数; SD, 土壤密度; SpH, 土壤pH; SOC, 土壤有机碳含量; SR, 物种丰富度; STN, 土壤全氮含量; STP, 土壤全磷含量; SWC, 土壤含水量。
Fig. 4
Under different grazing years, the response ratio of plant biomass, cover, height, density, species diversity, and soil physical and chemical properties to grazing in Nei Mongol grassland (mean ± 95% CI). The number on the right indicates the sample size of each variable. CI, confidence interval. AGB, above-ground biomass; BGB, below-ground biomass; D, Pielou evenness index; E, Simpson diversity index; H′, Shannon-Wiener diversity index; SD, soil density; SpH, soil pH; SOC, soil organic carbon content; STN, soil total nitrogen content; STP, soil total phosphorus content; SWC, soil water content.
2.5 各变量的响应比之间的相关性
Person相关分析显示, 地上生物量与地下生物量显著正相关, 与盖度、高度、密度和物种丰富度极显著正相关。地下生物量与盖度显著正相关。盖度与高度极显著正相关, 与土壤pH显著负相关。物种丰富度、Shannon-Wiener多样性指数、Pielou均匀度指数均与Simpson多样性指数显著正相关。Shannon-Wiener多样性指数、Simpson多样性指数、土壤pH均与土壤密度显著正相关。土壤全氮含量与土壤密度显著负相关(表1)。
表1 内蒙古草地植物群落、土壤特征响应比的Pearson相关分析结果(相关系数r)
Table 1
![]() |
加粗数字代表影响显著。*,p<0.05; **,p<0.01; ***,p<0.001; ns,p>0.05。AGB,地上生物量; BGB,地下生物量; D, Pielou均匀度指数; E, Simpson多样性指数; H', Shannon-Wiener多样性指数; SD,土壤密度; SpH,土壤pH; SOC,土壤有机碳含量; SR,物种丰富度; STN,土壤全氮含量; STP,土壤全磷含量; SWC,土壤含水量。
Bold figures represent signifcant diference. *, p<0.05;**, p<0.01; ***, p<0.001; ns, p>0.05. AGB, above-ground biomass; BGB, below-ground biomass; D, Pielou eveness index; E, Simpson diversity index; H',Shannon-Wiener diversity index; SD, soil density; SpH, soil pH; SOC, soil organic carbon content; STN, soil total nitrogen content; STP, soil total phosphorus content; SWC, soil water content.
线性混合模型的结果显示, 放牧活动对植物群落地上生物量、物种丰富度和Pielou均匀度指数的效应均受到年降水量的显著调控, 年平均气温的改变也会对植物群落特征的响应比产生显著影响, 且二者对盖度、高度、密度、物种丰富度和Simpson多样性指数均具有显著交互作用(表2)。
表2 内蒙古草地植物群落特征与环境因子的线性混合效应模型分析结果(F值)
Table 2
![]() |
加粗数字代表影响显著。*,p<0.05; **,p<0.01; ***,p<0.001; ns,p>0.05。AGB,地上生物量; BGB,地下生物量; D, Pielou均匀度指数; E, Simpson多样性指数; H', Shannon-Wiener多样性指数; SD,土壤密度; SpH,土壤pH; SOC,土壤有机碳含量; SR,物种丰富度; STN,土壤全氮含量; STP,土壤全磷含量; SWC,土壤含水量。MAP,年降水量; MAT,年平均温度。
Bold figures represent significant difference. *,p<0.05; **,p<0.01; ***,p<0.001; ns, p>0.05. AGB, above-ground biomass; BGB, below-ground biomass; D, Pielou evenness index; E, Simpson diversity index; H', Shannon-Wiener diversity index; SD, soil density; SpH, soil pH; SOC, soil organic carbon content; STN, soil total nitrogen content; STP, soil total phosphorus content; SWC, soil water content. MAP, mean annual precipitation; MAT, mean annual temperature.
3 讨论
3.1 放牧对内蒙古草地植物群落特征的综合效应
在以放牧为主要利用方式的内蒙古草地中, 牲畜对地上植物的采食、对植被和土壤的践踏以及牲畜排泄物是调节草地植物群落和土壤特征最直接的因素。研究结果表明, 放牧对草地群落地上/地下生物量均具有显著负效应(图1), 这与之前的研究结果(Ren et al., 2015; 金净等, 2017)一致。地上生物量的减少主要是由于放牧牲畜的采食和践踏对植物地上部分造成破坏, 影响植物的光合作用, 导致其物质积累和生长发育受阻。植物光合产物减少, 导致分配到地下部分的养分含量减少, 从而影响根系生长和地下生物量的积累(Bagchi & Ritchie, 2010), 在滇西北亚高山草原和内蒙古草原的研究都指出放牧会降低地下净初级生产力(刘玲玲等, 2006; Gao et al., 2008)。本研究结果还表明, 放牧对地上生物量的负效应大于对地下生物量的负效应(图1), 这主要因为植物地上部分和地下部分异速生长。放牧干扰下, 植物生物量向地下转移, 使地下生物量的减少滞后于地上生物量的减少(Hu et al., 2016)。一项基于48项研究的meta分析表明, 放牧导致植物生物量再分配, 使植物根冠比增加(Yan et al., 2013), 说明地下生物量具有滞后效应和稳定效应。
本研究结果显示, 放牧显著影响群落结构, 使草地群落盖度、高度、密度显著降低(图1)。其原因主要包括以下几点: 首先, 动物采食造成植物叶片光合面积减小, 阻碍光合作用和营养物质的合成, 进而影响植物的生长发育和繁殖; 其次, 群落中较高的植物被动物优先啃食, 改变了群落中植物的光竞争格局, 使较矮植物的光利用效率得到提高, 从而降低整个群落的平均植物高度; 最后, 放牧引起植物个体矮化, 一项基于197项研究的meta分析显示, 放牧可导致植物变小(Díaz et al., 2007), 这是导致群落结构和功能衰退的重要原因(任海彦等, 2009)。从表1可以看出, 盖度、高度均与地上生物量具有显著的相关关系, 这说明群落结构是地上生物量良好的指示因子, 放牧干扰对盖度、高度、密度产生最直接的影响, 并最终体现在地上生物量降低。
本项meta分析表明, 放牧对草地群落物种多样性具有显著负效应(图1)。在放牧草地中, 动物的选择性采食将直接改变群落中的优势物种, 进而改变群落物种组成。粗蛋白含量高、纤维含量低的牧草可使放牧牲畜的消化率更高和提供更多的能量(Chen et al., 2005; Ren et al., 2015), 从而被严重采食, 导致群落中的物种总数减少, 多样性降低。同时, 较高的物种更容易受到动物的采食, 这改变了群落的垂直生态位和光资源分配格局, 使较矮物种的生长环境条件得到改善(Kooijman & Smit, 2001)。另外, 牲畜排泄物使表层土壤养分得到补充, 促进了浅根系或具有快速吸收养分能力的物种的定植和生长, 从而对其他物种的资源条件构成竞争(Cruz et al., 2010)。综上, 放牧抑制了叶片蛋白含量高、高大、多年生、对光照要求低的物种的生长发育, 而促进了叶片蛋白含量低、矮小、一年生、对光照要求高的物种定植和生长(Díaz et al., 2007)。一般地, 高多样性可以维持较高的地上生物量, 而本研究结果显示物种多样性与地上生物量不存在显著的相关关系(表1), 这可能是因为地上生物量主要是由群落中的优势物种而非所有物种决定(Ren et al., 2012), 说明物种多样性并不能准确预测地上生物量的变化, 这一点与董六文等(2022)的研究结果一致。
土壤理化性质对放牧干扰的响应敏感性较低。图1表明, 土壤含水量对放牧具有显著负响应。地上植物被牲畜破坏和采食, 造成地表裸露, 加速土壤水分蒸发和土壤风化, 导致土壤含水量减少和养分流失(Lu et al., 2018; Ma et al., 2021)。牲畜践踏增加了土壤密度, 不利于土壤水分渗透和养分淋溶(Zhao et al., 2007)。另一方面, 牲畜排泄物使土壤养分得到一定程度的补充, 排泄物中的微生物加快植物残体分解, 促进土壤养分循环(Bardgett & Wardle, 2003; Wang et al., 2011; Tian et al., 2019), 向根系提供更多的营养物质, 促进地上植物的再生。
3.2 放牧效应的影响因素
本研究结果表明, 放牧强度、草地类型和放牧持续时间共同调控放牧效应(图2-4)。随着放牧强度的增加, 植物群落特征对放牧的负响应均呈现逐渐增强的趋势(图2)。牲畜采食量和践踏程度增加, 对植被造成更严重的破坏, 加剧植被特征的负响应。有研究表明, 适度放牧提高了群落功能和物种多样性, 支持中度干扰假说(McNaughton, 1976; 王明君等, 2010; Wang et al., 2017b)。但本研究结果表明放牧对生物量和物种多样性的负效应随放牧强度的增加而逐渐增加(图2), 这种差异可能是由放牧效应的时间尺度和放牧强度划分的主观性造成的。特别地, 放牧强度的增加有利于土壤有机碳的积累(图2, 图3)。图3显示, 本研究所收集到的土壤有机碳数据主要分布于荒漠草原, 由于此项研究重点关注放牧对草地生态系统地上植物特征的影响, 而相关的土壤特征仅作为辅助数据, 造成此项研究的土壤数据较单一。已有关于荒漠草原有机碳的研究表明, 由放牧减少的地上生物量、凋落物和植物根系中的有机碳含量, 跟随牲畜粪便和尿液返回到土壤中, 有效促进凋落物的分解, 使荒漠草原土壤有机碳含量增加(Bardgett et al., 1998; Wang et al., 2017a; Hao & He, 2019; 陈瑜等, 2022)。Deng等(2017)发现, 表层土壤碳含量的动态变化受到环境因子(年平均气温和年降水量)和草地类型的调控, 并且与土壤密度呈指数型负相关关系。荒漠草原水分限制严重, 植物根系分布较深, 这可能是造成此不同结果的原因之一。放牧对土壤全氮和全磷含量没有显著影响(图2), 土壤全量养分含量是相对稳定的性质, 环境的变化很难对其产生显著影响。
草地类型也会影响放牧效应。相较于其他类型的草地, 放牧对沙地地上生物量和盖度的负效应最大(图3)。草地类型的划分取决于当地的年降水量和年平均气温, 降水量减少会缩减土壤水分来源, 温度增加则会加速土壤水分的蒸发, 加重内蒙古草原的水限制(Niu et al., 2008), 放大植被对放牧干扰的响应。沙地气候干旱、土壤贫瘠、植被稀少、环境承载力低, 放牧易对其造成较严重的破坏。表2结果显示, 地上生物量响应比受到年降水量和年平均气温的显著影响, 这说明不同类型的草地中降水和温度的差异驱动草地群落特征对放牧干扰的响应。这一结果与Wang等(2022)的研究结果一致, Wang等(2022)在全国尺度下的meta分析结果显示, 相较于温带草原、高山草原和草甸草原, 放牧对荒漠草原生物量的负影响最大。
放牧年限影响植物群落和土壤特征对放牧的响应, 尤其是植物地上/地下生物量、盖度、高度、Simpson多样性指数和土壤有机碳含量、含水量、密度。放牧效应随着放牧持续时间的延长而累积和放大(图4), <5年的放牧处理显著改变了植物生物量和空间结构, 显著增加了土壤密度, 而5-10年的放牧处理对生物量、盖度、高度和土壤密度的效应均呈现出不同程度的增加, 其中放牧对地上生物量的负效应增加了1倍多, 对地下生物量的负效应增加了近3倍。这一结果与Guo等(2021)的研究结果相似, 放牧对内蒙古草原地上生物量和地下生物量的负效应随放牧时间的延长(0-3个月、3-6个月和6-12个月)而增加(Guo et al., 2021)。而一项基于70项放牧实验的meta分析研究发现, 与中期(2-5年)和长期(>5年)放牧相比, 短时间(<2年)放牧降低了青藏高原高山草原地上生物量, 而地下生物量没有显著变化(Li et al., 2021), 本研究的结果与之不一致, 这可能要归因于青藏高原与内蒙古草原的差异, 以及放牧持续时间划分区间的不同。
4 结论和展望
本研究表明, 放牧对内蒙古草地植物群落特征和土壤含水量具有显著负效应, 且负效应随着放牧强度和放牧时间的增加而增加。草地类型是调节植物群落和土壤特征对放牧的响应程度的重要因素。相较于其他类型的草地, 不同放牧强度对植被稀少、环境承载力低的草地(如荒漠草原、沙地等)具有更严重的负效应。这说明在草地放牧管理过程中, 要着重考虑草地类型的影响, 根据不同草地类型的环境因子, 适当进行载畜率的调控, 干旱区域应严格控制放牧强度。同时, 放牧年限的管理也尤为重要, 放牧利用后, 给予草原一定的恢复期, 可利于草地休养生息, 对于草地生态系统的可持续维护具有重要意义。
由于本研究中被纳入meta分析中的各项独立研究的背景条件均不相同, 没有统一地定量划分放牧强度, 而是根据源文献中提供的放牧强度进行定性分类(轻度、中度和重度)。未来, 对放牧强度进行定量统一的划分将有效提高相关研究结果的精确性。此外, 本研究重点关注放牧对内蒙古草地生态系统地上植物特征的影响, 文中关于土壤特征部分的分析结果均来自源文献中的土壤相关辅助数据, 由于土壤数据量相对较小, 可能在一定程度上削弱放牧对土壤特征的综合效应的代表性。
此项研究基于meta分析这一研究方法, 将放牧对内蒙古草地植物群落特征的影响进行定量综合, 以加权平均响应比量化综合效应, 在更大的时空尺度下揭示普适性结论, 其结果提升了我们对草地植物群落响应放牧的认识, 有效弥补了传统的定性综述方法的不足。然而, 在对各项独立研究集成分析的过程中, 也发现了目前相关放牧研究的不足之处, 如: 1)各项独立研究应在充分考虑其背景条件的前提下, 使用统一量化的放牧强度, 以提高不同研究之间的可比性, 而如何对不同背景条件(草地承载力、放牧历史、水热条件等)和实验设计(牲畜种类、放牧制度等)下的放牧强度进行统一标准的量化是极具挑战性的问题; 2)有些放牧实验中, 处理的重复数低于3个, 造成研究结果不具有统计学意义, 今后的相关研究应更加注重实验设计, 设置合理的重复数, 以规避实验结果的偶然性, 保证研究结果具有统计学意义。建议今后相关的放牧研究在以上两个方面进一步完善, 以提高研究结果的意义和价值。
致谢
感谢内蒙古大学申颜在数据收集工作中给予的帮助。
参考文献
Introduced grazers can restrict potential soil carbon sequestration through impacts on plant community composition
DOI:10.1111/j.1461-0248.2010.01486.x
PMID:20482575
[本文引用: 1]
Grazing occurs over a third of the earth's land surface and may potentially influence the storage of 10(9) Mg year(-1) of greenhouse gases as soil C. Displacement of native herbivores by high densities of livestock has often led to overgrazing and soil C loss. However, it remains unknown whether matching livestock densities to those of native herbivores can yield equivalent soil C sequestration. In the Trans-Himalayas we found that, despite comparable grazing intensities, watersheds converted to pastoralism had 49% lower soil C than watersheds which retain native herbivores. Experimental grazer-exclusion within each watershed type, show that this difference appears to be driven by indirect effects of livestock diet selection, leading to vegetation shifts that lower plant production and reduce likely soil C inputs from vegetation by c. 25 gC m(-2) year(-1). Our results suggest that while accounting for direct impacts (stocking density) is a major step, managing indirect impacts on vegetation composition are equally important in influencing soil C sequestration in grazing ecosystems.
Drivers and regulating mechanisms of grassland and desert ecosystem services
DOI:10.3724/SP.J.1258.2014.00009 URL [本文引用: 1]
草地和荒漠生态系统服务功能的形成与调控机制
DOI:10.3724/SP.J.1258.2014.00009
[本文引用: 1]
生态系统服务功能的形成和维持机制是近年来生态学研究的热点领域。该文从生态系统服务功能的概念与内涵入手, 分析了生态系统服务功能研究的科学前沿和热点领域, 重点介绍了草地和荒漠生态系统服务功能形成与调控机制联网研究的思路、关键科学问题、研究目标、实验设计、观测指标体系, 以及联网研究取得的重要进展。在此基础上, 对未来草地和荒漠生态系统服务功能研究的重点进行了展望。
Focus on ecological restoration of degraded grassland: sidenotes of Inner Mongolia grassland ecosystem positioning research station of Chinese Academy of Sciences
聚焦退化草原的生态修复: 中国科学院内蒙古草原生态系统定位研究站侧记
Grazing alters ecosystem functioning and C:N:P stoichiometry of grasslands along a regional precipitation gradient
DOI:10.1111/jpe.2012.49.issue-6 URL [本文引用: 1]
Dynamic interactions between soil animals and microorganisms in upland grassland soils amended with sheep dung: a microcosm experiment
DOI:10.1016/S0038-0717(97)00146-6 URL [本文引用: 1]
Herbivore-mediated linkages between aboveground and belowground communities
DOI:10.1890/02-0274 URL [本文引用: 1]
The importance of grasslands for animal production and other functions: a review on management and methodological progress in the tropics
DOI:10.1017/S1751731112000304
PMID:22558923
[本文引用: 1]
The global importance of grasslands is indicated by their extent; they comprise some 26% of total land area and 80% of agriculturally productive land. The majority of grasslands are located in tropical developing countries where they are particularly important to the livelihoods of some one billion poor peoples. Grasslands clearly provide the feed base for grazing livestock and thus numerous high-quality foods, but such livestock also provide products such as fertilizer, transport, traction, fibre and leather. In addition, grasslands provide important services and roles including as water catchments, biodiversity reserves, for cultural and recreational needs, and potentially a carbon sink to alleviate greenhouse gas emissions. Inevitably, such functions may conflict with management for production of livestock products. Much of the increasing global demand for meat and milk, particularly from developing countries, will have to be supplied from grassland ecosystems, and this will provide difficult challenges. Increased production of meat and milk generally requires increased intake of metabolizable energy, and thus increased voluntary intake and/or digestibility of diets selected by grazing animals. These will require more widespread and effective application of improved management. Strategies to improve productivity include fertilizer application, grazing management, greater use of crop by-products, legumes and supplements and manipulation of stocking rate and herbage allowance. However, it is often difficult to predict the efficiency and cost-effectiveness of such strategies, particularly in tropical developing country production systems. Evaluation and on-going adjustment of grazing systems require appropriate and reliable assessment criteria, but these are often lacking. A number of emerging technologies may contribute to timely low-cost acquisition of quantitative information to better understand the soil-pasture-animal interactions and animal management in grassland systems. Development of remote imaging of vegetation, global positioning technology, improved diet markers, near IR spectroscopy and modelling provide improved tools for knowledge-based decisions on the productivity constraints of grazing animals. Individual electronic identification of animals offers opportunities for precision management on an individual animal basis for improved productivity. Improved outcomes in the form of livestock products, services and/or other outcomes from grasslands should be possible, but clearly a diversity of solutions are needed for the vast range of environments and social circumstances of global grasslands.
Strategies to alleviate poverty and grassland degradation in Inner Mongolia: intensification vs production efficiency of livestock systems
DOI:10.1016/j.jenvman.2014.07.036
PMID:25687702
[本文引用: 1]
Semi-nomadic pastoralism was replaced by sedentary pastoralism in Inner Mongolia during the 1960's in response to changes in land use policy and increasing human population. Large increases in numbers of livestock and pastoralist households (11- and 9-fold, respectively) during the past 60 yrs have variously degraded the majority of grasslands in Inner Mongolia (78 M ha) and jeopardize the livelihoods of 24 M human inhabitants. A prevailing strategy for alleviating poverty and grassland degradation emphasizes intensification of livestock production systems to maintain both pastoral livelihoods and large livestock numbers. We consider this strategy unsustainable because maximization of livestock revenue incurs high supplemental feed costs, marginalizes net household income, and promotes larger flock sizes to create a positive feedback loop driving grassland degradation. We offer an alternative strategy that increases both livestock production efficiency and net pastoral income by marketing high quality animal products to an increasing affluent Chinese economy while simultaneously reducing livestock impacts on grasslands. We further caution that this strategy be designed and assessed within a social-ecological framework capable of coordinating market expansion for livestock products, sustainable livestock carrying capacities, modified pastoral perceptions of success, and incentives for ecosystem services to interrupt the positive feedback loop that exists between subsistence pastoralism and grassland degradation in Inner Mongolia. Copyright © 2015. Published by Elsevier Ltd.
Comparing physiological responses of two dominant grass species to nitrogen addition in Xilin River Basin of China
DOI:10.1016/j.envexpbot.2004.03.002 URL [本文引用: 1]
Effects of grazing intensity of soil carbon, nitrogen and their conversion in the temperate meadow steppe of Inner Mongolia
放牧强度对内蒙古温性草甸草原土壤碳、氮及其转化的影响
Grassland management and conversion into grassland: effects on soil carbon
DOI:10.1890/1051-0761(2001)011[0343:GMACIG]2.0.CO;2 URL [本文引用: 1]
Leaf traits as functional descriptors of the intensity of continuous grazing in native grasslands in the south of Brazil
DOI:10.2111/08-016.1 URL [本文引用: 1]
Effects of grazing exclusion on carbon sequestration in China’s grassland
DOI:10.1016/j.earscirev.2017.08.008 URL [本文引用: 1]
Plant trait responses to grazing—A global synthesis
DOI:10.1111/gcb.2007.13.issue-2 URL [本文引用: 2]
Functional diversity rather than species diversity can explain community biomass variation following short-term nitrogen addition in an alpine grassland
DOI:10.17521/cjpe.2022.0028 URL [本文引用: 1]
功能多样性比物种多样性更好解释氮添加对高寒草地生物量的影响
DOI:10.17521/cjpe.2022.0028
[本文引用: 1]
为进一步了解氮添加条件下群落功能多样性如何驱动生物量变化, 该研究在位于天山山脉的巴音布鲁克高寒草地开展氮添加实验, 通过连续两年调查群落物种组成并测量常见物种的功能性状, 分析物种多样性、功能多样性及群落水平功能性状的响应模式及其在驱动生物量变化中的相对贡献。结果表明, 短期氮添加同时增加群落地上和地下生物量, 且地上生物量的增加比例高于地下生物量, 氮添加导致功能多样性降低但是物种多样性未发生显著变化; 氮添加增加群落水平上的植株高度和叶片碳含量, 但导致比叶面积、种子质量及叶片磷含量下降; 物种多样性对生物量变化解释非常有限, 而功能多样性与群落水平功能性状可以很好地解释生物量变化, 以上研究结果支持质量比假说。综上, 该研究表明功能多样性与群落水平功能性状比物种多样性对短期氮添加的响应更加迅速, 且两者在解释高寒草地群落生物量对氮添加的响应中起到关键作用。
Belowground net primary productivity and biomass allocation of a grassland in Inner Mongolia is affected by grazing intensity
DOI:10.1007/s11104-008-9579-3 URL [本文引用: 1]
Effects of grazing on the grassland vegetation community characteristics in Inner Mongolia
DOI:10.5814/j.issn.1674-764x.2021.03.002
[本文引用: 3]
The continuous increase of livestock production in Inner Mongolia has caused severe degradation of the grassland ecosystems in recent years. Previous grazing experiments have shown a wide range of vegetation responses between the biome types on a global scale, but there is still a lack of sufficient studies to discern the relative responses of a given biome type. We conducted a meta-analysis of vegetation coverage (VC), plant density (PD), total biomass (TB), above-ground biomass (AGB), under-ground biomass (UGB) and Shannon-Weaver Index (SI) in different grassland types in Inner Mongolia obtained under conditions of different grazing intensities and durations. The results showed that grazing decreased VC, TB, AGB, UGB, and PD significantly. Compared to the global and national average values, the negative effects of grazing to steppe biomass in Inner Mongolia were higher than that on the global scale, while less pronounced than that in China. TB of the meadow steppe in Inner Mongolia increased by 40% under moderate grazing intensity and duration because of compensatory growth. SI of the desert and meadow steppe showed negative linear relationships with the grazing intensity in Inner Mongolia. The percentage changes in AGB, PD, and SI to grazing showed quadratic relationships with the mean annual temperature of the experimental year. With increasing mean annual precipitation, the negative effects of grazing on UGB and SI first decreased and then increased, with that of VC and grazing showing a cubic relationship.
Influence of grazing on plant community characteristics in typical mountainous area in Wulashan, Inner Mongolia
放牧对内蒙古乌拉山典型山地植物群落学特征的影响
Effects of grazing patterns on grassland biomass and soil environments in China: a meta-analysis
Grazing intensity significantly changes the C:N:P stoichiometry in grassland ecosystems
DOI:10.1111/geb.v29.2 URL [本文引用: 2]
The meta-analysis of response ratios in experimental ecology
DOI:10.1890/0012-9658(1999)080[1150:TMAORR]2.0.CO;2 URL [本文引用: 2]
Effects of grazing intensity on plant richness and diversity: a meta-analysis
DOI:10.1111/oik.2017.v127.i6 URL [本文引用: 1]
A synthesis of the effect of grazing exclusion on carbon dynamics in grasslands in China
DOI:10.1111/gcb.13133
PMID:26485056
[本文引用: 1]
Grazing exclusion (GE) is considered to be an effective approach to restore degraded grasslands and to improve their carbon (C) sequestration. However, the C dynamics and related controlling factors in grasslands with GE have not been well characterized. This synthesis examines the dynamics of soil C content and vegetation biomass with the recovery age through synthesizing results of 51 sites in grasslands in China. The results illustrate increases in soil C content and vegetation biomass with GE at most sites. Generally, both soil C content and vegetation biomass arrive at steady state after 15 years of GE. In comparison, the rates of increase in above- and belowground biomass declined exponentially with the age of GE, whereas soil C content declined in a milder (linear) way, implying a lagged response of soil C to the inputs from plant biomass. Mean annual precipitation (MAP) and the rate of soil nitrogen (N) change were the main factors affecting the rate of soil C content change. MAP played a major role at the early stage, whereas the rate of soil N change was the major contributor at the middle and late stages. Our results imply that the national grassland restoration projects in China may be more beneficial for C sequestration in humid regions with high MAP. In addition, increased soil N supply to grasslands with GE at the latter recovery stage may enhance ecosystem C sequestration capacity. © 2015 John Wiley & Sons Ltd.
Inner Mongolia Autonomous Region 2003 national economic and social development statistics bulletin
内蒙古自治区2003年国民经济和社会发展统计公报
Inner Mongolia Autonomous Region 2021 national economic and social development statistics bulletin
内蒙古自治区2021年国民经济和社会发展统计公报
Soil nitrogen and Stipa krylovii roots in desert steppe in response to different grazing treatments
荒漠草原土壤氮素和克氏针茅根系对不同放牧处理的响应
通过设置不同放牧处理(羊单牧、牛单牧、牛羊混合放牧和不放牧),研究土壤氮素和优势种克氏针茅根系构型对不同放牧方式的响应。结果表明:放牧14个月后(约2个生长季),牛单牧和牛羊混合放牧显著提高了10~20 cm土层土壤全氮含量,其中牛单牧提高了硝态氮含量,而牛羊混合放牧则以提高有机氮为主;不放牧区的克氏针茅地上生物量显著高于羊单牧、牛单牧和混合放牧区,而地下生物量差异不显著;在放牧处理14个月后,克氏针茅6项根系构型参数5项没有差异,但根系径级分级显示,不放牧区根系直径为2.5~3.5及4.0~4.5 mm的根系长度、体积和表面积显著高于其他放牧区。整体上看,放牧处理14个月,土壤和优势种植物的根系构型参数变化尚不明显,有待于继续观测。
Grassland ecosystems in China: review of current knowledge and research advancement
DOI:10.1098/rstb.2007.2029
URL
[本文引用: 1]
Grasslands are the dominant landscape in China, accounting for 40% of the national land area. Research concerning China's grassland ecosystems can be chronologically summarized into four periods: (i) pre-1950s, preliminary research and survey of grassland vegetation and plant species by Russians, Japanese and Western Europeans, (ii) 1950–1975, exploration and survey of vegetation, soils and topography as part of natural resource inventory programmes by regional and national institutions mainly led by the Chinese Academy of Sciences, (iii) 1976–1995, establishment of field stations for long-term ecological monitoring and studies of ecosystem processes, (iv) 1996–present, comprehensive studies of community dynamics and ecosystem function integrating multi-scale and multidisciplinary approaches and experimental manipulations.
Grazing as a measure to reduce nutrient availability and plant productivity in acid dune grasslands and pine forests in The Netherlands
DOI:10.1016/S0925-8574(00)00131-2 URL [本文引用: 1]
Effects of grazing intensity and topography on species abundance distribution in a typical steppe of Inner Mongolia
DOI:10.3724/SP.J.1258.2014.00016 URL [本文引用: 2]
放牧强度和地形对内蒙古典型草原物种多度分布的影响
DOI:10.3724/SP.J.1258.2014.00016
[本文引用: 2]
为了更好地理解放牧对草原生态系统物种多度分布格局的影响, 以及常见种和稀有种对维持群落多样性的作用, 以内蒙古典型草原为研究对象, 基于长期放牧控制实验平台(包括7个载畜率水平(0、1.5、3.0、4.5、6.0、7.5、9.0 sheep·hm<sup>-2</sup>)和两种地形系统(平地和坡地)), 研究了群落内全部物种、常见种和稀有种的丰富度和多度对放牧强度的响应规律, 并选取对数正态模型、对数级数模型和幂分割模型, 对物种多度数据进行拟合。结果表明: 1)平地系统中, 物种丰富度和多度在低放牧强度下(1.5、3.0 sheep·hm<sup>-2</sup>)增加, 而在中、高度放牧强度下(4.5-9.0 sheep·hm<sup>-2</sup>)降低, 全部物种的多度分布在大多数放牧强度下符合幂分割模型, 在高放牧强度下也符合对数正态模型; 坡地系统中, 物种丰富度和多度随着放牧强度增加而显著降低, 全部物种的多度分布在各个放牧强度下, 均符合幂分割模型和对数正态模型。2)随着放牧强度增加, 常见种的多度响应趋势与全部物种的响应趋势一致, 其多度分布均符合幂分割模型和对数正态模型; 稀有种的丰富度响应趋势与全部物种的响应趋势一致, 其多度分布符合幂分割模型, 同时也部分符合对数正态和对数级数模型。总之, 适宜的载畜率有利于生物多样性和初级生产力的提高, 平地系统中物种多度的响应在一定程度上支持放牧优化假说; 而坡地系统中不同物种多度的响应差异说明: 确定最佳载畜率时, 还需要考虑地形因素的影响。此外, 模型的拟合结果表明: 生态位分化机制对内蒙古典型草原物种多度分布起着主要作用, 常见种和稀有种通过不同的响应方式共同维持着草原生态系统的物种多样性。
Effects of different grazing disturbances on the plant diversity and ecological functions of alpine grassland ecosystem on the Qinghai-Tibetan Plateau
Grazing is one of the main human disturbance factors in alpine grassland on the Qinghai-Tibet Plateau (QTP), which can directly or indirectly influence the community structures and ecological functions of grassland ecosystems. However, despite extensive field grazing experiments, there is currently no consensus on how different grazing management approaches affect alpine grassland diversity, soil carbon (C), and nitrogen (N). Here, we conducted a meta-analysis of 70 peer-reviewed publications to evaluate the general response of 11 variables related to alpine grassland ecosystems plant diversity and ecological functions to grazing. Overall, the results showed that grazing significantly increased the species richness, Shannon–Wiener index, and Pielou evenness index values by 9.89% (95% CI: 2.75–17.09%), 7.28% (95% CI: 1.68–13.62%), and 3.74% (95% CI: 1.40–6.52%), respectively. Aboveground biomass (AGB) and belowground biomass (BGB) decreased, respectively, by 41.91% (95% CI: −50.91 to −32.88%) and 17.68% (95% CI: −26.94 to −8.52%). Soil organic carbon (SOC), soil total nitrogen (TN), soil C:N ratio, and soil moisture decreased by 13.06% (95% CI: −15.88 to −10.15%), 12.62% (95% CI: −13.35 to −8.61%), 3.27% (95% CI: −4.25 to −2.09%), and 20.75% (95% CI: −27.89 to −13.61%), respectively, whereas, soil bulk density and soil pH increased by 17.46% (95% CI: 11.88–24.53%) and 2.24% (95% CI: 1.01–3.64%), respectively. Specifically, moderate grazing, long-durations (&gt;5 years), and winter grazing contributed to increases in the species richness, Shannon–Wiener index, and Pielou evenness index. However, AGB, BGB, SOC, TN, and soil C:N ratios showed a decrease with enhanced grazing intensity. The response ratio of SOC was positively associated with AGB and BGB but was negatively related to the Shannon–Wiener index and Pielou evenness index. Furthermore, the effects of grazing on plant diversity, AGB, BGB, SOC, and TN in alpine grassland varied with grazing duration, grazing season, livestock type, and grassland type. The findings suggest that grazing should synthesize other appropriate grazing patterns, such as seasonal and rotation grazing, and, furthermore, additional research on grazing management of alpine grassland on the QTP is needed in the future.
Plastic responses of stem and leaf functional traits in Leymus chinensis to long-term grazing in a meadow steppe
DOI:10.3724/SP.J.1258.2014.00040 URL
草甸草原羊草茎叶功能性状对长期过度放牧的可塑性响应
DOI:10.3724/SP.J.1258.2014.00040
植物对不同功能性状进行权衡, 通过表型可塑性达到对异质生境的适应是植物的一种生态对策。羊草(Leymus chinensis)是欧亚温带草原东缘的主要优势植物, 研究其对放牧的表型反应对揭示草原生态系统的放牧响应机制具有代表意义。该文以内蒙古呼伦贝尔草甸草原为例, 通过设置不同放牧压力与围封的长期试验, 研究了羊草茎叶功能性状对放牧的可塑性响应模式。结果表明: 1)与长期围封相比, 长期放牧导致羊草茎叶性状显著小型化, 其中, 株高和个体地上生物量分别降低76.82%和89.88%, 但3年短期围封对茎性状影响不显著, 说明羊草表型矮小化现象具有一定的保守性; 2)通过排序构建羊草性状可塑性变化谱, 发现茎质量、总质量、茎高、株高、叶面积等为对放牧响应的敏感性状, 而叶片数、茎粗、叶宽等较为稳定, 为惰性性状; 3)放牧干扰下, 羊草性状可塑性程度与其变异性之间符合y = y<sub>0</sub> + ae<sup>bx</sup>拟合关系, 随着植物性状的响应强度增大, 其变异性增强; 4)偏最小二乘法分析发现茎长、株高、叶面积、叶长等性状的投影重要性指标大于1, 对地上生物量变化的解释率为68.6%, 是导致长期放牧下羊草个体生物量降低的主要因子。研究认为, 矮化型变是羊草的避牧适应对策, 在亚稳态下, 通过不同性状的权衡, 充分利用环境资源完成其生活史。
Response of plant and plant community to different stocking rates
放牧对草原植物的影响
Effects of Grazing Animal Type and Intensity on the Typical Steppe Ecosystem in Inner Mongolia— Preliminary Results from an Experimental Research
不同放牧家畜种类和强度对内蒙古典型草原生态系统影响的初步研究
A study on below-ground biomass and net primary production of sub-alpine meadow in Northwest Yunnan Province
滇西北亚高山草地的地下生物量及净初级生产力研究
Effect of grazing on vegetation and soil nutrients of a desert steppe in Inner Mongolia
放牧对内蒙古荒漠草原草地植被及土壤养分的影响
Grassland dynamics in responses to climate variation and human activities in China from 2000 to 2013
DOI:10.1016/j.scitotenv.2019.06.503 URL [本文引用: 1]
Plant acclimation to long-term high nitrogen deposition in an N-rich tropical forest
DOI:10.1073/pnas.1720777115
PMID:29717039
[本文引用: 1]
Anthropogenic nitrogen (N) deposition has accelerated terrestrial N cycling at regional and global scales, causing nutrient imbalance in many natural and seminatural ecosystems. How added N affects ecosystems where N is already abundant, and how plants acclimate to chronic N deposition in such circumstances, remains poorly understood. Here, we conducted an experiment employing a decade of N additions to examine ecosystem responses and plant acclimation to added N in an N-rich tropical forest. We found that N additions accelerated soil acidification and reduced biologically available cations (especially Ca and Mg) in soils, but plants maintained foliar nutrient supply at least in part by increasing transpiration while decreasing soil water leaching below the rooting zone. We suggest a hypothesis that cation-deficient plants can adjust to elevated N deposition by increasing transpiration and thereby maintaining nutrient balance. This result suggests that long-term elevated N deposition can alter hydrological cycling in N-rich forest ecosystems.
Root and mycorrhizal strategies for nutrient acquisition in forests under nitrogen deposition: a meta-analysis
Serengeti migratory wildebeest facilitation of energy flow by grazing
Dense concentrations of migratory wildebeest leaving the Serengeti Plains in late May 1974 reduced green plant biomass by almost 400 grams per square meter, 85 percent of the initial standing crop. However, this grazing prevented senescence and stimulated net primary productivity of the grasslands. Thomson's gazelles leaving the plains a month later were significantly associated with areas previously grazed by wildebeest, and this association was still evident at the end of the dry season, 6 months later.
Quantitative effects of grazing on vegetation and soils over a global range of environments
DOI:10.2307/2937150
URL
[本文引用: 1]
Multiple regression analyses were performed on a worldwide 236—site data set compiled from studies that compared species composition, aboveground net primary production (ANPP), root biomass, and soil nutrients of grazed vs. protected, ungrazed sites. The objective was to quantitatively assess factors relating to differential sensitivities of ecosystems to grazing by large herbivores. A key question in this assessment was: Do empirically based, broad—scale relationships correspond to ecological theories of plant—animal interactions and conceptual frameworks for management of the world's grazing lands? Changes in species composition with grazing were primarily a function of ANPP and the evolutionary history of grazing of the site, with level of consumption third in importance. Changes in species composition increased with increasing productivity and with longer, more intense evolutionary histories of grazing. These three variables explained >50% of the variance in the species response of grasslands or grasslands—plus—shrublands to grazing, even though methods of measurement and grazing systems varied among studies. Years of protection from grazing was a significant variable only in the model for shrublands. Similar variables entered models of change in the dominant species with grazing. As with species composition, sensitivities of change in dominant species were greater to varying ecosystem—environmental variables than to varying grazing variables, from low to high values. Increase of the dominant species under grazing were predicted under some conditions, and decreases were more likely among bunch grasses than other life—forms and more likely among perennials than annuals. The response of shrublands was different from that of grasslands, both in terms of species composition and the dominant species. Our analyses support the perception of grazing as a factor in the conversion of grasslands to less desirable shrublands, but also suggest that we may be inadvertently grazing shrublands more intensively than grasslands. Percentage differences in ANPP between grazed and ungrazed sites decreased with increasingly long evolutionary histories of grazing and increased with increasing ANPP, levels of consumption, or years of treatment. Although most effects of grazing on ANPP were negative, some were not, and the statistical models predicted increases in ANPP with grazing under conditions of long evolutionary history, low consumption, few years of treatment, and low ANPP for grasslands—plus—shrublands. The data and the models support the controversial hypothesis that grazing can increase ANPP in some situations. Similar to species variables, percentage differences in ANPP between grazed and ungrazed treatments were more sensitive to varying ecosystem—environmental variables than to varying grazing variables. Within levels not considered to be abusive \"overgrazing,\" the geographical location where grazing occurs may be more important than how many animals are grazed or how intensively an area is grazed. Counter to the commonly held view that grazing negatively impacts root systems, there was no relationship between difference in ANPP with grazing and difference in root mass; as many positive as negative differences occurred, even though most ANPP differences were negative. Further, there was a weak relationship between change in species composition and change in ANPP, and no relationship with root mass, soil organic matter, or soil nitrogen. All three belowground variables displayed both positive and negative values in response to grazing. Current management of much of the world's grazing lands based on species composition criteria may lead to erroneous conclusions concerning the long—term ability of a system to sustain productivity.
Soil respiration and its Q10 response to various grazing systems of a typical steppe in Inner Mongolia, China
As one of the important management practices of grassland ecosystems, grazing has fundamental effects on soil properties, vegetation, and soil microbes. Grazing can thus alter soil respiration (Rs) and the soil carbon cycle, yet its impacts and mechanisms remain unclear.
Water-mediated responses of ecosystem carbon fluxes to climatic change in a temperate steppe
DOI:10.1111/j.1469-8137.2007.02237.x
PMID:17944829
[本文引用: 1]
Global warming and a changing precipitation regime could have a profound impact on ecosystem carbon fluxes, especially in arid and semiarid grasslands where water is limited. A field experiment manipulating temperature and precipitation has been conducted in a temperate steppe in northern China since 2005. A paired, nested experimental design was used, with increased precipitation as the primary factor and warming simulated by infrared radiators as the secondary factor. The results for the first 2 yr showed that gross ecosystem productivity (GEP) was higher than ecosystem respiration, leading to net C sink (measured by net ecosystem CO(2) exchange, NEE) over the growing season in the study site. The interannual variation of NEE resulted from the difference in mean annual precipitation. Experimental warming reduced GEP and NEE, whereas increased precipitation stimulated ecosystem C and water fluxes in both years. Increased precipitation also alleviated the negative effect of experimental warming on NEE. The results demonstrate that water availability plays a dominant role in regulating ecosystem C and water fluxes and their responses to climatic change in the temperate steppe of northern China.
Do sheep grazing patterns affect ecosystem functioning in steppe grassland ecosystems in Inner Mongolia?
DOI:10.1016/j.agee.2015.07.015 URL [本文引用: 2]
Effects of grazing intensity and environmental factors on species composition and diversity in typical steppe of Inner Mongolia, China
Effects of grazing on foliage biomass allocation of grassland communities in Xilin River Basin, Inner Mongolia
放牧对内蒙古锡林河流域草地群落植物茎叶生物量资源分配的影响
DOI:10.3773/j.issn.1005-264x.2009.06.006
[本文引用: 1]
以内蒙古锡林河流域沿水分梯度分布的灰脉苔草(Carex appendiculata)、贝加尔针茅(Stipa baicalensis)、羊草(Leymus chinensis)、大针茅(Stipa grandis)、小叶锦鸡儿(Caragana microphylla)和冷蒿(Artemisia frigida) 6个草地群落为对象, 研究了围封禁牧与放牧样地中144个共有植物种的高度、丛幅面积、茎、叶和株(丛)生物量、茎叶比等性状。结果表明: 1)在个体水平上, 放牧样地中植物的生殖枝高度、营养枝高度、丛幅面积、单株(丛)生物量、茎、叶生物量和茎叶比均显著低于围封禁牧样地, 植物在放牧干扰下表现出明显的小型化现象; 2)在群落水平上, 放牧亦显著降低了群落总生物量和茎、叶生物量; 3)过度放牧显著改变了物种的资源分配策略, 使生物量向叶的分配比例增加, 向茎的分配比例减少。资源优先向同化器官分配可能是植物对长期放牧干扰的一种重要适应对策; 4)轻度放牧对物种的资源分配没有显著影响, 单株(丛)生物量和群落茎、叶及总生物量均表现出增加趋势, 这与过度放牧的影响正好相反。过度放牧引起的植物个体小型化改变了生态系统中物种的资源分配策略, 进而对生态系统功能产生重要的影响。
The global carbon sink: a grassland perspective
DOI:10.1046/j.1365-2486.1998.00151.x
URL
[本文引用: 1]
The challenge to identify the biospheric sinks for about half the total carbon emissions from fossil fuels must include a consideration of below‐ground ecosystem processes as well as those more easily measured above‐ground. Recent studies suggest that tropical grasslands and savannas may contribute more to the ‘missing sink’ than was previously appreciated, perhaps as much as 0.5 Pg (= 0.5 Gt) carbon per annum. The rapid increase in availability of productivity data facilitated by the Internet will be important for future scaling‐up of global change responses, to establish independent lines of evidence about the location and size of carbon sinks.
Physiology of Leymus chinensis under seasonal grazing: implications for the development of sustainable grazing in a temperate grassland of Inner Mongolia
Effects of grazing on spatiotemporal variations in community structure and ecosystem function on the grasslands of Inner Mongolia, China
Grasslands worldwide are suffering from overgrazing, which greatly alters plant community structure and ecosystem functioning. However, the general effects of grazing on community structure and ecosystem function at spatial and temporal scales has rarely been examined synchronously in the same grassland. Here, during 2011-2013, we investigated community structure (cover, height, and species richness) and aboveground biomass (AGB) using 250 paired field sites (grazed vs. fenced) across three vegetation types (meadow, typical, and desert steppes) on the Inner Mongolian Plateau. Grazing, vegetation type, and year all had significant effects on cover, height, species richness, and AGB, although the primary factor influencing variations in these variables was vegetation type. Spatially, grazing significantly reduced the measured variables in meadow and typical steppes, whereas no changes were observed in desert steppe. Temporally, both linear and quadratic relationships were detected between growing season precipitation and cover, height, richness, or AGB, although specific relationships varied among observation years and grazing treatments. In each vegetation type, the observed community properties were significantly correlated with each other, and the shape of the relationship was unaffected by grazing treatment. These findings indicate that vegetation type is the most important factor to be considered in grazing management for this semi-arid grassland.
The Effects of Grazing on the Community Structure and Productivity of Inner Mongolia Grassland
放牧对内蒙古草原群落结构和生产力的影响
Synthesis of soil carbon losses in response to conversion of grassland to agriculture land
DOI:10.1016/j.still.2018.08.011 URL [本文引用: 1]
Changes in trade-offs of grassland ecosystem services and functions under different grazing intensities
DOI:10.17521/cjpe.2018.0289 URL [本文引用: 1]
放牧对草地生态系统服务和功能权衡关系的影响
DOI:10.17521/cjpe.2018.0289
[本文引用: 1]
内蒙古草原是我国北方的重要生态屏障和绿色畜牧业基地, 放牧是草原生态系统的主要利用和管理方式, 在放牧管理中充分发挥生态系统某一项或几项服务和功能最大利用价值时, 往往会与其他服务(功能)发生冲突, 需要权衡多项生态系统服务和功能, 制定合理的放牧管理制度。该研究以内蒙古锡林郭勒典型草原为例, 通过设置不放牧、轻度放牧、中度放牧以及重度放牧的放牧梯度, 从多项生态系统服务和功能权衡的角度比较了最适放牧管理强度。结果显示, 在放牧管理的草地生态系统服务和功能的权衡中, 权衡、协同、不相关关系同时存在, 如土壤呼吸速率与植物群落净生长量、生物多样性与植物群落净光合速率表现为权衡关系, 植物群落净生长量分别与土壤含水量、植物群落净光合速率及草地蒸散速率存在协同关系, 土壤有机碳含量与其他服务或功能间呈不相关关系; 放牧能不同程度地削弱多项生态系统服务及功能间的权衡关系(冲突对立关系); 中度放牧条件下的多项生态系统服务及功能的协同性最佳。
Long-term nitrogen addition modifies microbial composition and functions for slow carbon cycling and increased sequestration in tropical forest soil
DOI:10.1111/gcb.14750
PMID:31273887
[本文引用: 1]
Nitrogen (N) deposition is a component of global change that has considerable impact on belowground carbon (C) dynamics. Plant growth stimulation and alterations of fungal community composition and functions are the main mechanisms driving soil C gains following N deposition in N-limited temperate forests. In N-rich tropical forests, however, N deposition generally has minor effects on plant growth; consequently, C storage in soil may strongly depend on the microbial processes that drive litter and soil organic matter decomposition. Here, we investigated how microbial functions in old-growth tropical forest soil responded to 13 years of N addition at four rates: 0 (Control), 50 (Low-N), 100 (Medium-N), and 150 (High-N) kg N ha year. Soil organic carbon (SOC) content increased under High-N, corresponding to a 33% decrease in CO efflux, and reductions in relative abundances of bacteria as well as genes responsible for cellulose and chitin degradation. A 113% increase in N O emission was positively correlated with soil acidification and an increase in the relative abundances of denitrification genes (narG and norB). Soil acidification induced by N addition decreased available P concentrations, and was associated with reductions in the relative abundance of phytase. The decreased relative abundance of bacteria and key functional gene groups for C degradation were related to slower SOC decomposition, indicating the key mechanisms driving SOC accumulation in the tropical forest soil subjected to High-N addition. However, changes in microbial functional groups associated with N and P cycling led to coincidentally large increases in N O emissions, and exacerbated soil P deficiency. These two factors partially offset the perceived beneficial effects of N addition on SOC storage in tropical forest soils. These findings suggest a potential to incorporate microbial community and functions into Earth system models considering their effects on greenhouse gas emission, biogeochemical processes, and biodiversity of tropical ecosystems.© 2019 John Wiley & Sons Ltd.
Effects of grazing intensity on organic carbon stock characteristics in Stipa breviflora desert steppe vegetation soil systems
DOI:10.1071/RJ16007
URL
[本文引用: 1]
\n\nGrassland ecosystems, an important component of the terrestrial environment, play an essential role in the global carbon cycle and balance. We considered four different grazing intensities on a Stipa breviflora desert steppe: heavy grazing (HG), moderate grazing (MG), light grazing (LG), and an area fenced to exclude livestock grazing as the Control (CK). The analyses of the aboveground biomass, litter, belowground biomass, soil organic carbon and soil light fraction organic carbon were utilised to study the organic carbon stock characteristics in the S. breviflora desert steppe under different grazing intensities. This is important to reveal the mechanisms of grazing impact on carbon processes in the desert steppe, and can provide a theoretical basis for conservation and utilisation of grassland resources. Results showed that the carbon stock was 11.98–44.51 g m–2 in aboveground biomass, 10.43–36.12 g m–2 in plant litters, and 502.30–804.31 g m–2 in belowground biomass (0–40 cm). It was significantly higher in CK than in MG and HG. The carbon stock at 0–40-cm soil depth was 7817.43–9694.16 g m–2, and it was significantly higher in LG than in CK and HG. The total carbon stock in the vegetation-soil system was 8342.14–10494.80 g m–2 under different grazing intensities, with the largest value in LG, followed by MG, CK, and HG. About 90.54–93.71% of the total carbon in grassland ecosystem was reserved in soil. The LG and MG intensities were beneficial to the accumulation of soil organic carbon stock. The soil light fraction organic carbon stock was 484.20–654.62 g m–2 and was the highest under LG intensity. The LG and MG intensities were beneficial for soil nutrient accumulation in the desert steppe.\n
Grazing reduces biomass fluctuations of rangeland plants: an 11-year comparison of grazing vs. enclosure
DOI:10.15666/aeer URL [本文引用: 1]
Can plant litter affect net primary production of a typical steppe in Inner Mongolia?
DOI:10.1111/j.1654-1103.2011.01257.x
PMID:32336913
[本文引用: 1]
Litter (dead leaves or stems) affects production by conserving soil moisture. However, that role is not clear for grasslands where most precipitation falls during the growing season when the demand for water is high. Our question was: Does litter affect forage production in such an environment? Typical steppe, Inner Mongolia. We examined the role of plant litter in two experiments where litter was either removed or added in a protected or heavily grazed site, respectively, in autumn and in spring in a split plot design. The treatments (control, moderate and heavy litter application) were applied once in five replications but repeated at new locations in each of 3 years. This was done to examine only the direct effect of litter on annual net primary production and selected plant characteristics and not potential secondary effects. We also measured soil moisture and soil temperature. Removing litter caused a reduction in the amount of grass () that was produced, but litter addition caused an inconsistent effect among years, with moderate applications producing the most positive effects. Litter removal resulted in shorter and less dense plants of and, while heavy litter addition in autumn reduced plant height of both and. Litter was effective for enhancing soil moisture status and reducing soil heat units in the typical steppe of Inner Mongolia. Therefore, litter mass may serve as an index of grassland health in such environments.© 2011 International Association for Vegetation Science.
Nexus of grazing management with plant and soil properties in northern China grasslands
Grasslands provide habitats for living organisms and livelihoods for ~800 million people globally. Many grasslands in developing countries are severely degraded. Some measures have been taken to curb the trend of degradation for decades. It is important to determine how decade-long rejuvenation efforts affected grassland ecosystems. We identified 65 data-rich studies based on six criteria, from >2500 relevant publications, and generated a dataset with 997 rows and 12 variables. The dataset covers different grazing intensities (grazing exclusion, light, moderate, and heavy grazing) and their impacts on plant traits (vegetation coverage, aboveground and root biomass, and plant diversity) and soil physiochemical properties (bulk density, moisture content, organic C, total and available N, total and available P, C:N ratio, and pH). The dataset could be used to (i) quantify the effectiveness of rejuvenation processes by determining the impact on plant community and soil properties, (ii) perform comprehensive analyses to elucidate large-picture effects of grazing management and rejuvenation, and (iii) analyze the impact of grass-climate-soil-human interactions on grassland ecosystem sustainability.
Effects of grazing intensity on the biodiversity and productivity of meadow steppe
A series of comparative sampling plots were selected to study the effects of different grazing intensities on the biodiversity and productivity of <em>a Leymus chinensis</em> meadow steppe in Inner Mongolia. It was shown that with the increase of grazing intensity, <em>α </em>diversity index decreased after an initial increase, and had the highest value in light grazing areas, which supported the ‘medium disturbance theory’, while <em>β</em> diversity index had an increasing trend. Lesser similarity of plant species was observed under different grazing intensities. There was a significant linear relationship between aboveground net primary productivity (ANPP) and Alatalo evenness index (<em>P</em><0.05). Grazing and climate had larger effects on the ANPP, but their interactive effect was not significant. No grazing could not maintain grassland health, but healthy grassland could effectively buffer the disturbances of grazing and climate, and maintain its higher productivity and biodiversity.
放牧强度对草甸草原生产力和多样性的影响
Grazing management affects plant diversity and soil properties in a temperate steppe in northern China
DOI:10.1016/j.catena.2017.06.020 URL [本文引用: 1]
Present situation, existing problems and countermeasures of Inner Mongolia grassland ecological environment
内蒙古草原生态环境现状、存在的问题及对策
The impact of grazing on seedling patterns in degraded sparse-elm grassland
DOI:10.1002/ldr.v29.8 URL [本文引用: 1]
Response characteristics of grassland ecosystem biomass to grazing intensity in China
DOI:10.1111/grs.v68.2 URL [本文引用: 2]
Grazing significantly increases root shoot ratio but decreases soil organic carbon in Qinghai-Tibetan Plateau grasslands: a hierarchical meta- analysis
DOI:10.1002/ldr.v31.16 URL [本文引用: 1]
Effects of different grazing intensities on grassland production in China: a meta- analysis
Linking shifts in species composition induced by grazing with root traits for phosphorus acquisition in a typical steppe in Inner Mongolia
The impact of grazing on the grass composition in temperate grassland
Grazing is one of the predominant human activities taking place today inside protected areas, with both direct and indirect effects on the vegetation community. We analyzed the effects of grazing intensity on grass composition during four grazing seasons containing 78 plant species belonging to eight plant functional groups, which include perennial tall grass (6 species), perennial short grass (6 species), shrubs (3 species), legumes (9 species), Liliaceae herb (8 species), annual/biennial plants (11 species), perennial short forbs (16 species) and perennial tall forbs (18 species). We estimated grazing intensity at four levels, control, light, moderate and heavy grazing intensity corresponding to 0.00, 0.23, 0.46 and 0.92 animal units ha−1, respectively. We found that each plant functional group showed a different response to grazing intensity. Perennial tall grasses that were dominated by high palatable mesophyte and mesoxerophyte grass showed a significant decrease with grazing intensity, while the medium palatable xerophyte and widespread grasses that were the predominant short perennial increases with grazing intensity. The perennial tall forbs that were dominated by the mesophyte grass also decreased, but the decrease was statistically insignificant. The influence of grazing density on species is also related to soil factors (soil nutrient, soil moisture and soil temperature and soil bulk density). Some functional groups such as tall fescue and Liliaceae herbs, remained stable—which may be related to the changes in the soil environment caused by grazing activities. The findings of this study could provide a standpoint for assessing the current grazing management scenarios and conducting timely adaptive practices to maintain the long-term ability of grassland systems to perform their ecological functions.
Spatial variability of soil properties affected by grazing intensity in Inner Mongolia grassland
DOI:10.1016/j.ecolmodel.2007.02.019 URL [本文引用: 1]
Effects of grazing, wind erosion, and dust deposition on plant community composition and structure in a temperate steppe
DOI:10.1007/s10021-020-00526-3 [本文引用: 1]
Grazing intensity significantly affects belowground carbon and nitrogen cycling in grassland ecosystems: a meta-analysis
DOI:10.1111/gcb.2017.23.issue-3 URL [本文引用: 1]
Dynamic of grassland vegetation degradation and its quantitative assessment in the northwest China
DOI:10.1016/j.actao.2013.12.006 URL [本文引用: 1]
/
| 〈 |
|
〉 |



