梭梭和骆驼刺对干旱的适应策略差异
Difference in adaptation strategy between Haloxylon ammodendron and Alhagi sparsifolia to drought
通讯作者: 杨晓东:ORCID:0000-0002-3553-2125(xjyangxd@sina.com)
编委: 李新荣(特邀)
责任编辑: 李敏
收稿日期: 2021-09-22 接受日期: 2021-12-22
| 基金资助: |
|
Corresponding authors: (xjyangxd@sina.com)
Received: 2021-09-22 Accepted: 2021-12-22
| Fund supported: |
|
该研究目的在于揭示干旱荒漠中2个优势种梭梭(Haloxylon ammodendron)和骆驼刺(Alhagi sparsifolia)是否在适应干旱的策略上存在差异。在新疆艾比湖自然保护区内自然形成的干旱胁迫梯度上, 首先测量梭梭和骆驼刺的3类功能性状(叶、光合和水力性状); 其后分析性状随干旱梯度的变化, 性状在两个物种之间的差别, 两物种应对干旱胁迫时所采用策略的差异性。结果显示: 梭梭和骆驼刺的功能性状在干旱梯度上的变化存在不同。除干物质含量外, 其余10个功能性状在梭梭和骆驼刺间均存在显著差异, 但在干旱梯度与物种的共同作用下, 梭梭与骆驼刺之间性状差异呈现缩小趋势。Pearson相关分析表明, 骆驼刺显著相关的性状仅有10对, 而梭梭有15对。主成分分析可将梭梭11个功能性状分为与植物抗旱能力有关的2个典型性状组合类别, 即干旱胁迫-碳获取组和抗干旱胁迫组。但对骆驼刺, 很难划分出与抗旱有关的性状组合。该研究结果表明, 相较梭梭, 骆驼刺具有更强的耐旱能力, 属于保守型物种, 性状之间联系不显著, 但梭梭的性状之间联系紧密, 它利用各种性状之间的权衡和补偿关系尽可能地减小干旱胁迫。该研究揭示了干旱荒漠中不同生活型植物面对干旱胁迫时的性状间关系和环境适应策略, 丰富了水分生理学和植物生态学的相关理论, 可对荒漠植物的保育和多样性的维持提供一定理论参考。
关键词:
Aims The plant mortality induced by drought has significant impact on forest ecosystems around the world. It thus has brought intensive research attention on the plant adaptive strategy to drought in the field of physiological ecology. This study aims to investigate the differences in adaptation strategies to drought between two dominant species in arid desert areas, i.e., Haloxylon ammodendron and Alhagi sparsifolia.
Methods Three types of functional traits (i.e., leaf, photosynthetic and hydraulic traits) of A. sparsifolia and H. ammodendron were measured in response to a natural drought gradient (mild, moderate and severe) in Ebinur Lake Nature Reserve in Xinjiang, China. The changes of functional traits with drought gradient, and the differences of functional traits and adaptation strategies to drought between the two species were analyzed.
Important findings The functional traits of A. sparsifolia and H. ammodendron changed differently across drought gradient. All the functional traits were significantly different between the two species except for leaf dry matter content. However, the differences in functional traits between the two species showed a decrease due to the synergetic influence of drought stress and species convergence. Pearson correlation among the traits for the two species indicated that only 10 pairs of functional traits are significantly correlated for A. sparsifolia, while 15 pairs were significantly correlated for H. ammodendron. Principal component analysis (PCA) showed that two typical trait combinations related to drought resistance can be obtained from 11 functional traits of H. ammodendron, namely drought resistance-carbon acquisition group and drought resistance group. However, the trait combinations in coping with drought were not identified for A. sparsifolia. The results suggested that A. sparsifolia,was a conservative species, having greater drought tolerance than H. ammodendron. The traits in A. sparsifolia was less associated than that in H. ammodendron. In contrast, H. ammodendron used the trade-offs and compensatory relationships among functional traits to reduce drought stress. This study provided insights into the relationship between functional traits and drought adaptation strategies of different plant life forms, which advanced the fundamental theories of plant physiological ecology, and provided implications and references for the protection and diversity maintenance of desert ecosystem.
Keywords:
引用本文
周洁, 杨晓东, 王雅芸, 隆彦昕, 王妍, 李浡睿, 孙启兴, 孙楠.
ZHOU Jie, YANG Xiao-Dong, WANG Ya-Yun, LONG Yan-Xin, WANG Yan, LI Bo-Rui, SUN Qi-Xing, SUN Nan.
近年来, 随全球温度升高和降水格局变化, 干旱频发(Galle et al., 2010; Choat, 2013; Hartmann et al., 2015; Réjou-Méchain et al., 2021), 特别在干旱地区, 干旱发生频率的增加趋势更甚(Dai, 2011), 已经在区域尺度上造成大规模的树木死亡(Anderegg & Anderegg, 2013; Bouche et al., 2014; Stephenson & Das, 2020), 严重影响到当地碳平衡和森林生态系统服务功能(Scholz et al., 2014; DeSoto et al., 2020)。目前, 植物对干旱胁迫的响应与适应已经成为生态学和植物生理学研究的热点之一(McDowell et al., 2008; Sala et al., 2010; Anderegg & Anderegg, 2013; 代永欣等, 2015)。
当前利用功能性状反馈植物对干旱的适应性主要是通过3个方面进行的: 叶片功能性状、光合生理性状以及水力性状。原因在于, 叶片在面对干旱变化时具有敏锐性, 且其与植物对资源的捕获和利用关系密切(金鹰和王传宽, 2015)。植物光合生理性状以及水力性状联系植物碳水平衡过程, 可以作为解释干旱引起植物生长受限和死亡的生理学机理(McDowell, 2011; Scholz et al., 2014)。例如, 为了减小干旱胁迫的影响, 植物在面对干旱时会选择改变光合生理性状(比如, 气孔导度减小, 水分利用效率提高和蒸腾速率降低)和水力性状(比如胡伯尔值增加, 木质部导水率减小和导管直径减小)等措施来降低水分散失和干旱胁迫(Sevanto et al., 2014; Vastag et al., 2020; 陈亚鹏等, 2021)。
世界范围内, 干旱区的地带性植被为旱生荒漠, 优势植物以小乔木和灌木或小半灌木为主。为了适应干旱环境, 它们根系发达, 叶或同化枝通常具有发达的角质层, 表皮毛分布密集, 具有加厚的表皮细胞外壁、深陷的气孔、蜡质层等特殊的生理特征(周智彬和李培军, 2002; 刘玉冰等, 2016)。梭梭(Haloxylon ammodendron)和骆驼刺(Alhagi sparsifolia)是旱生荒漠的冠层和林下层的优势物种。它们分布极为广泛, 在我国从内蒙古至新疆的荒漠中均有生长。它们都是耐干旱、耐盐碱和抗逆性强的植物(朱永华和仵彦卿, 2003), 同时具备较高的生态效益(比如防风固沙、保持水土)和经济价值(比如饲用和入药)(唐钢梁等, 2013; 付贵全等, 2016), 被众多学者当作研究旱生荒漠植物适应环境的模式植物。在这两种植物应对干旱的策略方面, 国内外学者从功能性状角度做了众多工作。比如, 王飞等(2020)、李善家等(2013)、郄亚栋等(2018)分析了梭梭叶性状与盐分、水分等土壤因子的关系; 马天光等(2018)、赵生龙等(2016)、黄彩变等(2016)分析了遮阴、环境胁迫、水氮添加等对骆驼刺叶功能性状和光合生理性状的影响。虽然这些研究丰富了这两种植物对干旱胁迫适应的相关理论, 但这些成果多从单一功能性状出发。相比单一性状, 性状之间的关系(性状组合)与植物面对干旱胁迫时的应对策略更为契合(何芸雨等, 2019)。植物对干旱胁迫的适应, 发挥作用的并不是单一性状, 而是由一系列互相有关联性的性状搭配在一起的性状组合(冯秋红等, 2010; 李善家等, 2013)。因此, 研究植物对干旱胁迫的适应过程与应对策略, 还需要在性状之间关系的角度做更多工作。此外, 梭梭和骆驼刺分别为典型的小乔木和小半灌木, 根系分布、叶片类型、个体高度等性状均存在差别, 两者可能在面对干旱胁迫时其功能性状组合上也存在着差异性(李善家等, 2013; 郄亚栋等, 2018; Volaire, 2018)。但在当前, 很少有成果综合分析过它们在应对干旱胁迫上的差异性。
本研究在新疆艾比湖湿地自然保护区内, 以梭梭与骆驼刺为研究对象, 在测量3个干旱程度上叶功能性状、光合生理性状以及水力性状的基础上, 围绕着以下3个科学问题展开: (1)梭梭与骆驼刺3种功能性状在干旱梯度上如何变化? (2)梭梭与骆驼刺3种功能性状是否存在差别? (3)梭梭与骆驼刺的性状组合面对干旱胁迫时是否存在差异? 本研究结果对深入了解梭梭和骆驼刺在干旱荒漠的生长状况有着积极的作用, 同时对梭梭和骆驼刺应对干旱的适应策略予以解释。
1 材料和方法
1.1 研究区概况
艾比湖湿地自然保护区(43.63°-45.87° N、79.88°-85.03° E)位于新疆维吾尔自治区, 坐落于北疆西部的博尔塔拉蒙古自治州精河县附近, 三面环山, 与古尔班通古特沙漠和阿拉山口相邻。保护区总面积2 670.85 km2, 气候常年高温干燥, 降水稀少, 属典型的北温带大陆性干旱气候, 其年降水量仅为100 mm, 蒸发量1 600 mm以上, 日照时间约2 800 h, 极端最高气温44 ℃, 极端最低气温-33 ℃, 年平均气温6-8 ℃ (杨晓东等, 2017)。西北部阿拉山口是全国著名的风口, 盛行西北风, 全年8级以上大风达165天, 多集中在4-6月。艾比湖保护区的土壤主要有灰棕漠土、盐化草甸土、盐土、风沙土等类型。植物群落主要以极耐旱的荒漠植物构成(杨晓东和吕光辉, 2011)。
1.2 样品与方法
1.2.1 样地设置与干旱程度的划分
本研究选择在新疆艾比湖湿地自然保护区的东大桥管护站附近。样地处在天山北坡的平原地带, 平均海拔约189 m, 土壤pH 7.52-9.29。借鉴Li等(2022)和Zhang等(2018)在艾比湖对干旱梯度的设置方法, 垂直于阿奇克苏河的流向, 在北岸设置3个宽20 m, 长度一直持续至群落类型不再发生变化的调查样带, 样带之间间隔2 km, 每条样带上, 间隔500 m设置1个20 m × 20 m群落调查样方, 共计设置了4组样方, 每组3个重复(图1)。由于群落调查时发现靠近河岸的样地中梭梭和骆驼刺分布数量稀少不足以完成后续的采样和实验。因此, 最终设置3组样方, 共计9个样方(图1)。由于当地降水稀少, 土壤水和地下水主要来源于河水补给, 根据与阿奇克苏河的距离可以天然区分出干旱胁迫程度(马辉英等, 2017)。随离河岸距离增加, 当地地下水埋深从2 m左右逐渐下降到15 m以上, 这使得土壤含水量不断减小, 植物所受干旱胁迫不断增加(杨晓东和吕光辉, 2011; 郄亚栋等, 2018)。同时, 随离河岸距离增加, 水分减少使得土壤盐渍化水平不断提升。样带最远距离取样点的土壤含盐量(28.44 g·kg-1)约为近河岸点(4.60 g·kg-1)的6.18倍。盐渍程度增加进一步加深了植物的干旱胁迫(Zhang et al., 2018; Li et al., 2022)。为了验证此结论, 在2018年6-8月及2019年6-8月, 每月3次在每个样地内采用“S”采样法, 分3点采集0-40 cm土层的土壤后混合, 装入自封袋, 带回实验室后用于测定土壤含水量, 备用划分干旱梯度。虽然梭梭与骆驼刺均为根系较长的植物, 它们最深根的长度远大于40 cm, 但本研究选择0-40 cm土层作为区分干旱的依据主要有3个原因: (1)当地土壤含水量均来源于河水补给的地下水。水分在土壤中从深层至浅层(自下而上)传输, 表层土壤含水量的数值最小, 但由于不同土壤的水分来源相同, 各土层之间的水分含量具有密切联系。用表层含水量可以反馈整个土壤的干旱状况。(2)土壤中可供植物吸收的矿质元素主要分布在土壤表层, 它们需要溶解在水中才能被植物吸收。因此, 表层土壤水分对植物的生命过程更为重要。(3)出于节约采样成本的考虑, 没有取土壤表层至地下水埋深的整个土壤层样品。
图1
图1
艾比湖流域研究区采样示意图。D1、D2和D3表示轻度、中度和重度干旱的样地。
Fig. 1
Sample sites in study region of Ebinur Lake Basin. D1, D2, and D3 represent sampling plots with mild, moderate, and severe drought.
根据土壤水的测量结果和我国的农业土壤干旱等级标准(GB/T 32136-2015, 含水量在12%-15%之间为轻旱, 8%左右为中旱, 5%以下为重旱。我国没有原生系统的土壤干旱分级标准, 故本研究借鉴了农业的国家分类标准), 本研究将土壤含水量平均值为12.74%、9.38%和3.63%的样地分别划分为干旱胁迫水平低(D1)、中等(D2)和高(D3)的样地(表1)。
表1 艾比湖流域干旱梯度划分(平均值±标准差)
Table 1
| 编号 Number | 土壤含水量 Soil water content (%) | 干旱程度 Drought level |
|---|---|---|
| D1 | 12.74 ± 1.25 | 轻度 Mild |
| D2 | 9.38 ± 0.80 | 中度 Moderate |
| D3 | 3.63 ± 0.66 | 重度 Severe |
1.2.2 叶功能性状的测定
每个20 m × 20 m的样地内, 在2019年7月中旬到8月上旬, 随机选取成熟体较大健康植株并且长势相近的梭梭与骆驼刺各3株, 每株随机选取3片健康叶片, 利用拍照法和ImageJ软件测量叶面积(cm2), 用游标卡尺测量叶片厚度(mm)。随后, 用电子天平(精确到0.000 1 g)测量叶片鲜质量(g), 利用烘干法测量叶片干质量(g)。用叶面积除以叶片干质量得到比叶面积(cm2·g-1), 用叶片干质量除以叶片鲜质量得到叶片干物质含量(g·g-1)。由于梭梭叶片退化为嫩枝, 因此叶片面积仅是拍照所得的投影面积。
1.2.3 光合生理性状的测定
在2019年7月中旬到8月上旬, 利用LI-6400XT型便携式光合仪(LI-COR, Lincoln, USA), 在 9:00-11:00分别测定梭梭与骆驼刺健康且成熟的叶片的光合生理性状: 包括净光合速率、气孔导度和蒸腾速率。测量时, 在每个样地内随机选择梭梭与骆驼刺各3株, 每株随机测定3个叶片, 数据记录10次。为了减小光照和微环境的影响, 测定过程中采用人工叶室, 使用LI-6400-2B红蓝光源。根据袁月(2009)当地最大净光合速率的研究成果, 将光强设置为1 600 μmol·m−2·s−1, 温度35 ℃, CO2浓度为400 μmol·mol-1。测定结束后, 1个样地内所有测量数据的平均值为最终数值, 并计算水分利用效率, 水分利用效率=净光合速率/气孔导度。由于使用的是当地的最大光强和植物生长最适温度, 测量地带的净光合速率、气孔导度和蒸腾速率均是梭梭与骆驼刺最高值。
1.2.4 水力性状的测定
在测定光合参数的同一天, 当地时间06:30-07:30, 在每个样地内随机采集梭梭与骆驼刺带叶的枝条各3份, 迅速装入底部有浸湿滤纸的密封袋中并快速带回实验室, 在4 ℃的冰箱保存。随机剪下完整未破坏的叶片, 将其放置在露点水势仪(WP4-C, METER, Pullman, USA)的密闭腔内, 测定黎明前叶片水势值。对于枝条的黎明前水势, 从冰箱中取出枝条, 剪取长度为3-5 cm的一截, 将其放置在1505D-EXP便携式水势仪(PMS, Boulder, USA)的密闭腔, 将枝条紧紧穿过橡皮塞并塞进内置湿巾的压力室中进行测量, 缓慢加压, 当小枝端口出现第一滴水时停止加压并读取数值记录。此时的数值为黎明前小枝的水势。同时, 利用植物导水率测量仪(HPFM-Gen3, Dynamax, Houston, USA)对植株进行末端枝条瞬时导水率的测定。瞬时导水率测量完毕后, 茎段去皮处理, 使用游标卡尺测量茎段长度(cm)和直径(cm)。利用公式1-2计算茎段横截面积(m2)和枝比导水率(kg·s-1·m-1·MPa-1)。
式中, SA为茎段横截面积, D为直径, Ks为枝比导水率, Kwb为枝条瞬时导水率, L为茎段长度。
1.2.5 数据处理
采用单因素方差分析研究梭梭与骆驼刺3种性状在干旱程度之间的变化。方差齐性时不同处理间两两比较采用Tukey HSD检验, 方差不齐性时采用Tamhane’s T3检验; 采用独立样本t检验和双因素方差分析检验干旱程度和物种类型对3种功能性状的影响, 即判断功能性状是否在两个物种之间存在差别, 以及物种和干旱程度是否对功能性状的变化有协同影响。用Pearson相关性分析和主成分分析(PCA)分析性状之间的关系, 以及其与干旱胁迫之间的关系, 同时比较它们是否在两个物种之间存在差别。数据分析均在SPSS 19.0中完成。
2 结果
2.1 梭梭与骆驼刺功能性状随干旱胁迫的变化
随干旱胁迫增加, 骆驼刺的叶厚和叶面积无明显变化, 比叶面积虽呈现下降趋势, 但变化趋势不显著, 相反干物质含量显著增加(图2)。梭梭叶功能性状对干旱胁迫的响应与骆驼刺存在明显不同。具体表现为, 随着干旱胁迫增加, 叶面积未有明显变化。相反, 叶厚或嫩枝直径、干物质含量和比叶面积显著增加。
图2
图2
骆驼刺(As)和梭梭(Ha)的叶功能性状随干旱程度的变化以及种间差异(平均值±标准差)。D1、D2和D3表示轻度、中度和重度干旱。大写字母是单因素方差分析的结果, 表示同物种的功能性状随干旱程度的变化, 不同字母表示显著差异(p < 0.05)。小写字母是独立样本t检验的结果, 表示在同一干旱程度下, 功能性状在梭梭和骆驼刺之间的差异, 不同字母表示显著差异(p < 0.05)。
Fig. 2
Variance of leaf traits across the drought levels and between Alhagi sparsifolia (As) and Haloxylon ammodendron (Ha) (mean ± SD). D1, D2 and D3 are mild, moderate and severe drought, respectively. Uppercase letters are the result of one-way AVOVA, different letters show significant difference under different drought levels of same species (p < 0.05). Lowercase letters are the result of independent sample t test, different letters show significant difference between species under same drought level (p < 0.05).
图3
图3
骆驼刺(As)和梭梭(Ha)的光合性状随同干旱程度的变化以及种间差异(平均值±标准差)。D1、D2和D3表示轻度、中度和重度干旱。大写字母是单因素方差分析的结果, 表示同物种的功能性状随干旱程度的变化, 不同字母表示显著差异(p < 0.05)。小写字母是独立样本t检验的结果, 表示在同一干旱程度下, 功能性状在梭梭和骆驼刺之间的差异, 不同字母表示显著差异(p < 0.05)。
Fig. 3
Variance of photosynthetic traits across the drought levels and between Alhagi sparsifolia (As) and Haloxylon ammodendron (Ha)(mean ± SD). D1, D2 and D3 are mild, moderate and severe drought, respectively. Uppercase letters are the result of one-way AVOVA, different letters show significant difference under different drought levels of same species (p < 0.05). Lowercase letters are the result of independent sample t test, different letters show significant difference between species under same drought level (p < 0.05).
由图4可知, 骆驼刺和梭梭的黎明前枝水势均随干旱胁迫增加, 呈先下降后上升的趋势。骆驼刺黎明前叶水势随干旱胁迫增加, 呈先增加后下降的趋势, 在中等干旱胁迫样地的数值显著高于低干旱胁迫样地。相反, 梭梭黎明前叶水势随干旱胁迫增加, 表现出不显著的下降趋势。骆驼刺的枝比导率随干旱胁迫增加表现出不显著的下降趋势, 但对梭梭, 其值在中等干旱胁迫样地的数值显著高于低和高干旱胁迫样地。
图4
图4
骆驼刺(As)和梭梭(Ha)的水力性状随同干旱程度的变化以及种间差异(平均值±标准差)。D1、D2和D3表示轻度、中度和重度干旱。大写字母是单因素方差分析的结果, 表示同物种的功能性状随干旱程度的变化, 不同字母表示显著差异(p < 0.05)。小写字母是独立样本t检验的结果, 表示在同一干旱程度下, 功能性状在梭梭和骆驼刺之间的差异, 不同字母表示显著差异(p < 0.05)。
Fig. 4
Variance of hydraulic traits across the drought levels and between Alhagi sparsifolia (As) and Haloxylon ammodendron (Ha)(mean ± SD). D1, D2 and D3 are mild, moderate and severe drought, respectively. Uppercase letters are the result of one-way AVOVA, different letters show significant difference under different drought levels of same species (p < 0.05). Lowercase letters are the result of independent sample t test, different letters show significant difference between species under same drought level (p < 0.05).
2.2 植物功能性状在梭梭和骆驼刺之间的差异
双因素方差分析的结果表明, 除比叶面积、黎明前枝叶水势和水分利用效率外, 物种和干旱程度的协同作用对其余所有性状均不存在显著影响。这表明, 干旱程度的变化对种间性状差异有影响, 即: 在干旱与物种的共同作用下, 骆驼刺与梭梭的大部分性状的差异性变小, 它们的性状对环境胁迫(干旱)有趋同现象(表2)。
表2 干旱程度和物种对骆驼刺和梭梭功能性状的协同影响
Table 2
| 功能性状 Functional trait | 干旱程度×物种 Drought level × species | ||
|---|---|---|---|
| F | p | ||
| 叶性状 Leaf trait | 叶厚或嫩枝叶直径 Leaf thickness or shoot diameter | 0.43 | 0.81 |
| 叶面积 Leaf area | 0.30 | 0.75 | |
| 比叶面积 Specific leaf area | 8.91 | <0.01 | |
| 干物质含量 Dry matter content | 1.22 | 0.54 | |
| 光合性状 Photosynthetic trait | 净光合速率 Net photosynthetic rate | 0.85 | 0.66 |
| 气孔导度 Stomatal conductance | 1.89 | 0.39 | |
| 蒸腾速率 Transpiration rate | 0.01 | 0.99 | |
| 水分利用效率 Water use efficiency | 14.28 | <0.01 | |
| 水力性状 Hydraulic trait | 叶水势 Leaf water potential | 6.46 | <0.05 |
| 枝水势 Twig water potential | 5.23 | <0.05 | |
| 枝比导率 Twig specific hydraulic conductance | 2.11 | 0.17 | |
2.3 梭梭与骆驼刺的功能性状在干旱梯度上的相互关系
对骆驼刺的11个性状进行相关性分析后发现, 干物质含量分别与气孔导度、净光合速率和蒸腾速率有极显著负相关关系, 与水分利用效率呈极显著正相关关系。气孔导度、净光合速率和蒸腾速率三者之间彼此呈极显著正相关关系, 且三者和水分利用效率呈极显著负相关关系(图5)。梭梭11个性状之间相关性与骆驼刺不同。具体地, 叶厚与比叶面积和干物质含量呈显著正相关关系, 与净光合速率、气孔导度和蒸腾速率呈极显著负相关关系。比叶面积与净光合速率、蒸腾速率呈负相关关系, 干物质含量和净光合速率、气孔导度和蒸腾速率呈显著负相关关系。气孔导度、净光合速率和蒸腾速率三者之间彼此呈显著正相关关系。黎明前枝水势与叶水势呈正相关关系, 和枝比导率呈负相关关系(图5)。总之, 骆驼刺显著相关的性状对数为10对, 而梭梭有15对。
图5
图5
骆驼刺(As)和梭梭(Ha)的性状之间的相关性。Cond, 气孔导度; Ks, 枝比导率; LA, 叶面积; LD, 叶直径; LDMC, 叶干物质含量; LP, 叶水势; LT, 叶厚; Pn, 净光合速率; SLA, 比叶面积; TP, 枝水势; Tr, 蒸腾速率; WUE, 水分利用效率。
Fig. 5
Correlation among functional traits of Alhagi sparsifolia (As) and Haloxylon ammodendron (Ha). Cond, stomatal conductance; Ks, twig specific hydraulic conductance; LA, leaf area; LD, leaf diameter; LDMC, leaf dry matter content; LP, leaf water potential; LT, leaf thickness; Pn, net photosynthetic rate; SLA, specific leaf area; TP, twig water potential; Tr, transpiration rate; WUE, water use efficiency.
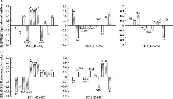
为了归纳骆驼刺和梭梭在面对干旱胁迫时呈现出的适应方式, 或者是干旱梯度上性状组合的方式。本研究对11个性状值进行PCA (图6)。结果表明: (1)主成分1、2和3的方差解释率分别占骆驼刺性状总方差的48.33%、21.52%和13.52%, 其累积贡献率达到83.37%, 即3个主成分其可解释11个性状应对干旱胁迫的83.37%的变化。第1主成分主要由干物质含量、净光合速率、气孔导度、蒸腾速率和水分利用效率组成。除干物质含量和水分利用效率与第1主成分呈负相关关系外, 其余3个为正相关关系; 第2主成分主要由叶厚、叶面积和枝比导率组成。它与叶厚和枝比导率呈正相关关系, 相反与叶面积呈负相关关系; 第3主成分的主要组成者包括比叶面积和黎明前枝水势。它与比叶面积呈正相关关系, 与黎明前枝水势呈负相关关系。(2)梭梭PCA结果和骆驼刺存在明显差异, 前两个主成分分别占总性状方差的47.64%和27.95%, 累积贡献率达到75.59%。第1主成分主要由叶厚、比叶面积、干物质含量、净光合速率、气孔导度和蒸腾速率组成。它与叶厚、比叶面积和干物质含量呈负相关关系, 相反与净光合速率、气孔导度和蒸腾速率呈正相关关系; 第2主成分主要由水分利用效率、黎明前枝叶水势和枝比导率组成。它与黎明前枝叶水势呈正相关关系, 相反与水分利用效率和枝比导率呈负相关关系。
图6
图6
骆驼刺(A)和梭梭(B)干旱胁迫下11个性状的主成分(PC)分析结果。Cond, 气孔导度; Ks, 枝比导率; LA, 叶面积; LD, 叶直径; LDMC, 叶干物质含量; LP, 叶水势; LT, 叶厚; Pn, 净光合速率; SLA, 比叶面积; TP, 枝水势; Tr, 蒸腾速率; WUE, 水分利用效率。
Fig. 6
Principal component (PC) analysis of 11 functional traits of Alhagi sparsifolia (A) and Haloxylon ammodendron (B) under drought stress. Cond, stomatal conductance; Ks, twig specific hydraulic conductance; LA, leaf area; LD, leaf diameter; LDMC, leaf dry matter content; LP, leaf water potential; LT, leaf thickness; Pn, net photosynthetic rate; SLA, specific leaf area; TP, twig water potential; Tr, transpiration rate; WUE, water use efficiency.
3 讨论
3.1 梭梭与骆驼刺功能性状在不同干旱程度上的变化
骆驼刺的叶厚、叶面积和比叶面积在3个干旱程度之间无显著变化, 但干物质含量随着干旱胁迫增加呈上升趋势。梭梭叶功能性状对干旱胁迫的反应与骆驼刺明显不同。除叶面积无显著变化外, 其余叶功能性状的值均随干旱胁迫增加明显增大。这说明梭梭和骆驼刺的叶片在应对干旱胁迫上采取了不同的策略。骆驼刺的叶厚、叶面积和比叶面积在干旱程度之间无显著变化, 是遮阴条件下叶片在光资源获取和干旱胁迫下水力限制两者权衡的结果。叶片面积、比叶面积和叶厚度都是反映植物光资源获取的重要指标, 在遮阴环境或冠下层, 为截取更多光资源, 叶片面积和比叶面积会显著增加。为平衡机械支撑作用, 叶片厚度也随之增加(唐钢梁等, 2013; 龚雪伟和吕光辉, 2017)。但与之同时, 这3个性状增加会扩大蒸腾面积, 增加水分耗损(唐钢梁等, 2013; 马天光等, 2018)。干旱条件下的水力限制又约束了骆驼刺叶片面积和比叶面积的增加。因此, 在光获取和水力限制的权衡之下, 这3个叶性状在干旱梯度上没有显著变化。以往的研究显示, 干物质含量是反映植物抵抗环境胁迫能力的衡量指标(任昱等, 2015)。植物为了提高保水能力和抗旱能力, 在干旱胁迫下, 植物倾向于在体内储存更多的淀粉和可溶性糖, 增加溶质含量, 提高渗透压, 抵御干旱(Luo et al., 2018; 岳喜元等, 2018)。梭梭的叶面积无显著变化, 原因可能与其特殊的叶片形态结构有关。在干旱环境的长期适应进化中, 梭梭叶片演变成棒状的嫩枝结构, 多个叶片簇生在一年生小枝上面。叶片数量相对嫩枝直径与干旱胁迫更相关。在干旱梯度上, 梭梭易于选择减少簇生嫩枝数量来减少水分蒸发量。梭梭叶厚或嫩枝直径和干物质含量随着干旱胁迫增大而增大。这与前人研究结果(金鹰和王传宽, 2015; 任昱等, 2015)一致。叶厚度增加有利于增加叶片内部水分向叶片表面扩散的距离或阻力, 降低植物内部水分散失(盘远方等, 2018)。干物质增加利于增加溶质含量, 提高渗透压, 减小水分损失。
光合作用是植物与外界交流和资源获取的必要途径, 它经常受到干旱胁迫影响发生变化。在干旱半干旱地区, 由于常年高温少雨, 土壤水分缺失严重, 从而直接(光合原料减少)或间接(气孔关闭和酶失活等)地造成光合作用下降, 使得植物缺乏有机物质的积累影响生长发育, 甚至死亡(韩刚和赵忠, 2010; McDowell, 2011; DeSoto et al, 2020)。本研究中, 随干旱胁迫增强, 骆驼刺与梭梭净光合速率、蒸腾速率和气孔导度均表现出下降趋势。这一系列变化与植物的气孔限制有关。干旱胁迫下, 植物通过关闭气孔, 即降低光合作用来减少水分蒸发量(Choat, 2013; Hartmann et al., 2015)。关闭气孔之后, 植物的光合参数, 比如气孔导度、蒸腾速率和净光合速率均随干旱程度增加呈现下降趋势。然而, 水分利用效率呈现完全相反的趋势。这是因为水分利用效率是净光合速率和蒸腾速率的综合结果, 它显示了植物耗水与其干物质生产之间的关系。水分利用效率越高, 说明植物受到干旱胁迫的程度越深(韩刚和赵忠, 2010; 蔡海霞等, 2011; 任昱等, 2015)。黎明前水势的生理学含义与正午水势不同, 它不反映植物当时承受的干旱胁迫程度, 而是植物经过一天干旱胁迫之后的水分的恢复状况, 可用来判断植物水分亏缺的程度(李向义等, 2004)。梭梭黎明前枝、叶水势的变化与当前研究普遍认识基本相同。随着干旱程度加深, 植物需要减小枝和叶片水势, 增加从土壤至枝叶的水压, 才能从土壤含水量不断降低的环境中吸取更多的水分(柏新富等, 2012; Sevanto et al., 2014)。骆驼刺在中等干旱胁迫时黎明前叶水势低于其他2种胁迫, 是个体之间的水分竞争和干旱胁迫共同作用的结果。根据马辉英等(2017)的研究成果, 梭梭和骆驼刺利用水分来源有所不同。梭梭主要利用深层土壤水和地下水, 而骆驼刺主要利用浅层土壤水。本研究调查的3种样地, 中等干旱胁迫样地内植物的多度和丰度均高于其他两个样地。这就使得骆驼刺个体之间对水分的竞争在该样地高于其他两种样地。由于梭梭利用深层土壤水和地下水, 所以受到的水分竞争并不如利用浅层土壤水的小灌木骆驼刺激烈。因而使得骆驼刺在中等干旱胁迫样地的水分亏缺高于其他两个样地。即使经过一夜的恢复, 其水分亏缺仍然相对其他2个个体间水分竞争较弱的样地更强。枝条的比导率度量了木质部水分传输效率(Sevanto et al., 2014; Xue et al., 2020)。随干旱胁迫增加, 骆驼刺的枝比导率在各样地之间的变化趋势不显著, 表明干旱程度的增加对骆驼刺枝的水分运输效率影响不大。相反, 梭梭的比导率存在明显差异。这表明干旱胁迫下, 骆驼刺和梭梭从枝条到叶片的水分运输效率存在不一样的响应模式。这与前人(周洪华等, 2012; 郄亚栋等, 2018; Stephenson & Das, 2020)的研究结果相似, 研究表明木质部导水能力与植物个体高度有关。干旱胁迫下, 乔木更容易受到水分限制影响, 使得木质部导水能力相对灌木有更大波动。
3.2 骆驼刺与梭梭对干旱适应方式的异同
在干旱的环境下, 植物功能性状不仅会发生改变, 而且为了能够长期生活在干旱半干旱地区, 植物逐渐形成一套适合自身生存的干旱策略, 这种策略可以用功能性状组合进行反映(Volaire, 2018; 何芸雨等, 2019)。本研究结果表明, 除干物质含量不存在明显差异外, 其余功能性状均在骆驼刺与梭梭之间存在显著差异。这一方面反映出骆驼刺与梭梭对干旱胁迫适应策略的不同, 是物种限制所致。它们分属不同科, 进化上的差异使得它们都保留了属于各自的功能特性(Markham, 2019)。然而在干旱环境因素加入后, 骆驼刺与梭梭的绝大多数性状之间都没有显著差异, 由物种引起的差异缩小。这是由于环境筛选提高了共存物种之间的相似性, 导致相似生境中植物的性状趋同(冯秋红等, 2010; Xue et al., 2020)。
骆驼刺显著相关的性状对数(10对)远远少于梭梭(15对)。骆驼刺相关的性状多为光合参数, 主要围绕气孔导度和蒸腾速率与其他性状相关, 但对梭梭, 绝大多数性状之间均存在显著相关关系。这说明骆驼刺在应对干旱胁迫时, 性状之间的关联性不如梭梭紧密。这与两者的水分需求量以及抗旱能力有关。作为小乔木, 梭梭的水分需求量远高于骆驼刺, 其所承受的干旱胁迫也高于骆驼刺。这与前人研究(金鹰和王传宽, 2015; 何芸雨等, 2019)是符合的——容易受到环境胁迫的物种, 更易改变性状, 利用各种性状之间的权衡和补偿关系来尽可能减小环境胁迫。在干旱胁迫的长期影响下, 梭梭进化出各种性状之间的权衡和补偿关系来应对干旱胁迫, 使得性状之间存在多元化的相关关系。骆驼刺抗旱能力较强, 比如, 骆驼刺的地下根系的生物量可以达到地上生物量的几十到几百倍, 生态幅和分布范围极为广泛, 是干旱区极为抗旱的物种(张晓蕾等, 2011; 唐钢梁等, 2013)。性状间相关性在两个物种间的不同表明它们环境适应策略是不一致的。梭梭和骆驼刺分属于资源获取型物种和保守型物种。保守型物种通常对环境的耐受程度较高, 不易改变性状和性状间的相关性去适应干旱。相反, 资源获取型/冒险型物种会极大程度改变性状, 利用性状间的相互配合去增加水分吸收或限制水分耗损。
骆驼刺和梭梭应对干旱胁迫策略的差异也在PCA结果中得到证明。本研究结果发现, 骆驼刺的11个性状可以归为3类, 对总方差的贡献率分别为48.33%、21.52%和13.52%。但对于梭梭, 11个性状被归为2类, 对总方差的贡献率为47.64%和27.95%。这一结果和相关分析的结果一致, 说明相比骆驼刺, 梭梭在应对干旱胁迫上性状之间的关系更为密切。梭梭的2个主成分可归结为干旱胁迫-碳获取组和抗干旱胁迫组。干旱胁迫-碳获取组包含的性状有叶厚、叶面积、干物质质量、净光合速率、蒸腾速率和气孔导度。这些性状中, 叶厚和叶面积的变化可以改变水分在叶片内的运输距离, 以及蒸腾作用面积, 进而阻碍并减少水分蒸发量; 干物质含量与细胞质的溶解势有关, 影响叶片内水分运输和蒸发(Sala et al., 2010; 盘远方等, 2018; 王飞等, 2020); 净光合速率、蒸腾速率和气孔导度与气孔限制有关, 可以影响蒸腾拉力和叶片水分蒸发值(蔡海霞等, 2011; 马天光等, 2018)。此外, 除与抗干旱胁迫有关外, 这些性状还与植物的营养积累有关系。叶厚、叶面积、干物质质量、净光合速率、蒸腾速率和气孔导度均能影响植物光合过程, 作用于植物营养物质合成与储存。另外一个主成分为抗干旱胁迫组包括水分利用效率、枝叶水势和枝比导率。它们都是与植物体内蒸腾拉力产生和水分运输有关的参数。较高的枝比导率和水分利用效率意味着植物有更高的水分运输效率和水分利用能力, 可以提高植物抗干旱能力。相反, 骆驼刺应对干旱胁迫的性状组合与梭梭明显不同。它的主成分共有3组: 1)干物质含量、净光合速率、气孔导度、蒸腾速率和水分利用效率; 2)叶厚、叶面积和枝比导率; 3)比叶面积和黎明前枝水势。它们很难被定义成适应策略。这可能说明, 骆驼刺功能性状在干旱梯度上的变化, 除水分影响外, 其可能还与光获取、种间竞争、乔木的遮阴等生态过程有关(唐钢梁等, 2013; 龚雪伟和吕光辉, 2017)。这些作用加上骆驼刺较强的抗旱能力, 使得其性状之间关系较弱, 难以归结成典型干旱适应策略。
4 结论
本研究通过比较荒漠干旱梯度上两种典型不同生活型植物(小乔木梭梭和半灌木骆驼刺)性状及性状组合的差异, 旨在阐述它们应对干旱时适应策略的异同。结果表明, 干旱胁迫均能引起两物种功能性状的变化, 但变化趋势存在不同, 梭梭的功能性状变化主要受到水分缺失的影响, 而骆驼刺除干旱胁迫外, 其功能性状在干旱梯度上的变化还可能与乔木遮阴、种间种内竞争等因素有关。在低、中和重3种干旱胁迫情况下, 遗传上的差异使得功能性状在梭梭和骆驼刺之间明显不同, 但考虑物种和干旱胁迫两种因素的协同影响后发现, 两物种间的性状差异减小。这说明在荒漠内, 干旱引起的环境筛选可使得梭梭和骆驼刺的性状出现趋同性。梭梭性状之间的关联性明显高于骆驼刺, 同时梭梭11个功能性状可以归结成抗干旱胁迫-碳获取和抗干旱胁迫两个性状组合, 而骆驼刺的性状组合很难被定义归类。这再次说明, 梭梭相对骆驼刺更容易受到干旱胁迫影响, 它更易改变性状, 利用各种性状之间的权衡和补偿关系来减小干旱胁迫的影响。
参考文献
Hydraulic and carbohydrate changes in experimental drought-induced mortality of saplings in two conifer species
DOI:10.1093/treephys/tpt016
PMID:23514762
[本文引用: 2]
Global patterns of drought-induced forest die-off indicate that many forests may be sensitive to climate-driven mortality, but the lack of understanding of how trees and saplings die during drought hinders the projections of die-off, demographic bottlenecks and ecosystem trajectories. In this study, we performed a severe controlled drought experiment on saplings of Pinus edulis Engelm. and Juniperus osteosperma (Torr.) Little, two species that both experienced die-off in a recent 'climate change-type' drought. We examined the roles of carbohydrate and hydraulic changes in multiple tissues as the saplings died. We found that saplings of both species exhibited large degrees of loss of hydraulic conductivity prior to death. Neither species exhibited significant changes in carbohydrate concentrations in any tissue during the relatively short and severe imposed drought. Native hydraulic conductivity successfully predicted the degree of canopy mortality in both species, highlighting the importance of drought characteristics and tree attributes in influencing physiological pathways to mortality. The relationships elucidated here, as well as the differences between our results and previous findings in adult trees, can help inform mortality mechanisms in climate-vegetation models, especially for young trees, and to understand species response to severe drought across ontogeny.
Relationship between the salt accumulation and the drought resistance in several woody plants in arid zone
干旱区木本植物盐分积累与其耐旱性的关系
A broad survey of hydraulic and mechanical safety in the xylem of conifers
DOI:10.1093/jxb/eru218
PMID:24916072
[本文引用: 1]
Drought-induced forest dieback has been widely reported over the last decades, and the evidence for a direct causal link between survival and hydraulic failure (xylem cavitation) is now well known. Because vulnerability to cavitation is intimately linked to the anatomy of the xylem, the main objective of this study was to better understand the xylem anatomical properties associated with cavitation resistance. An extensive data set of cavitation resistance traits and xylem anatomical properties was developed for 115 conifer species, with special attention given to the micro-morphology of bordered pits. The ratio of torus to pit aperture diameter, so-called torus overlap, increased with increasing cavitation resistance, while the flexibility of the margo does not seem to play a role, suggesting that air-seeding is located at the seal between the aspirated torus and pit aperture. Moreover, punctured tori were reported in various Pinaceae species. Species resistant to cavitation had thicker tracheid walls, while their lumen diameter (conduit size) was only slightly reduced, minimizing the impact on hydraulic conductance. The results also demonstrated (i) the existence of an indirect trade-off between hydraulic safety and mechanical strength; and (ii) a consistency between species distribution and xylem anatomy: species with a wide torus overlap and high valve effects are found in arid environments such as the Mediterranean region. © The Author 2014. Published by Oxford University Press on behalf of the Society for Experimental Biology.
Effects of drought stress on the photosynthesis of Salix paraqplesia and Hippophae rhamnoides seedlings
干旱胁迫对高山柳和沙棘幼苗光合生理特征的影响
A review of water transport processes of Populus euphratica in the lower reaches of Tarim River
塔里木河下游胡杨水分传输过程研究综述
Predicting thresholds of drought-induced mortality in woody plant species
DOI:10.1093/treephys/tpt046 PMID:23878170 [本文引用: 2]
Drought under global warming: a review
DOI:10.1002/wcc.81 URL [本文引用: 1]
Progress on researches of drought-induced tree mortality mechanisms
干旱导致树木死亡机制研究进展
Low growth resilience to drought is related to future mortality risk in trees
DOI:10.1038/s41467-020-14300-5 [本文引用: 2]
Relationships among functional traits of Quercus species and their response to meteorological factors in the temperate zone of the North-South Transect of Eastern China
南北样带温带区栎属树种功能性状间的关系及其对气象因子的响应
DOI:10.3773/j.issn.1005-264x.2010.06.001
[本文引用: 2]
在南北样带温带区选择11个栎属(Quercus)树种的核心分布区, 对各分布区内栎属建群树种的功能性状进行了测定,并对功能性状间的关系及其对气象因子的响应进行了分析, 以期为气候变化背景下植物-环境关系的深入研究奠定基础。结果表明: 虽然比叶重(LMA)和叶片干物质含量(LDMC)在反映栎属树种生活策略上有着异曲同工的作用, 但是相比之下, LMA的作用略胜一筹; 基于面积的叶片养分含量间的关系较基于质量的更为显著; 除叶片单位面积磷含量(Parea)和单位面积钾含量(Karea)间关系外, 无论是基于面积还是质量的叶片氮(N)、磷(P)含量间的正相关, 均较两者与钾(K)含量间的正相关显著, 这可能与K元素并不直接参与任何稳定结构物质的合成有关。温度和日照时数是影响功能性状间关系的主要气象因子, 与基于质量的养分含量相比, 基于面积的养分含量更易于受温度和日照时数的影响; 降水仅仅影响叶片Parea与其他性状间的关系。
A study of fractal properties of spatial distribution of Reaumuria soongorica population and its influencing factors in Minqin Oasis fringe
民勤绿洲边缘2种生境红砂种群分形特征及影响因素
Responses of wood anatomy and carbon isotope composition of Quercus pubescens saplings subjected to two consecutive years of summer drought
DOI:10.1051/forest/2010045 [本文引用: 1]
Species diversity and dominant species’ niches of eremophyte communities of the Tugai forest in the Ebinur basin of Xinjiang, China
艾比湖流域杜加依林荒漠植物群落多样性及优势种生态位
DOI:10.17520/biods.2016166
[本文引用: 2]
多样性格局的形成是物种间相互作用及其适应环境的结果。为了阐释艾比湖流域荒漠植物的物种多样性及优势种生态位特征, 我们对艾比湖湿地国家级自然保护区内阿其克苏河北岸的杜加依林进行了物种组成与环境因子调查。结果表明: (1)按照土壤水盐含量, 根据多元回归树(multivariate regression tree, MRT)方法可将植被划分为胡杨-罗布麻-芦苇(Ass. Populus euphratica - Apocynum venetum - Phragmites australis) (I型)、胡杨-琵琶柴(Ass. Populus euphratica - Reaumuria songonica) (II型)和盐爪爪‖胡杨-罗布麻+骆驼刺(Ass. Kalidium foliatum ‖ Populus euphratica - Apocynum venetum + Alhagi sparsifolia) (III型) 3个主要群丛。(2) I型群丛抵御极端环境的能力较差, 包括5个样方, II型群丛能够忍受轻微的盐旱胁迫, 包括3个样方, III型群丛对盐旱生境具有一定的适应性, 包括22个样方; 随着典型群丛从I型演替成为III型, 沙生和盐生植物逐渐占据生境并成为主要优势种, Shannon-Wiener多样性指数(H)和Margalef丰富度指数(Ma)先降低后增加, Simpson优势度指数(C)和Pielou均匀度指数(E)先增加后逐渐降低, 体现了杜加依林植物群落的演替序列。(3)生态位宽度Bray-Curtis相似性聚类分析将13个优势种分为2组, 平均相似性分别为96.89%和97.66%, 反映了研究区物种生态位宽度具有较高的相似性; 基于物种多度数据的非度量多维标度排序(NMDS)压力系数为0.04, 除铃铛刺(Halimodendron halodendron)与甘草(Glycyrrhiza uralensis)外, 物种之间的分布也具有较高的相似性。综上所述, 土壤水盐含量是影响艾比湖流域杜加依林中荒漠植物群丛结构及多样性的主要环境因子, 并决定了群落的演替方向; 各优势种之间的生态位和分布具有较高的相似性, 存在明显的竞争关系。
Light response characteristics of photosynthesis of four xerophilous shrubs under different soil moistures
不同土壤水分下4种沙生灌木的光合光响应特性
Research frontiers in drought-induced tree mortality: crossing scales and disciplines
DOI:10.1111/nph.13246 PMID:25580653 [本文引用: 2]
Research progress of trade-off relationships of plant functional traits
DOI:10.17521/cjpe.2019.0122 URL [本文引用: 4]
植物功能性状权衡关系的研究进展
DOI:10.17521/cjpe.2019.0122
[本文引用: 4]
植物功能性状权衡关系反映了植物在资源获取与分配中采取的不同策略, 是近年来生态学研究的一个热点问题。该综述从研究范围、叶性状、器官和植物类群4个方面入手, 简要介绍植物功能性状关系研究在近10余年是如何在叶经济谱(LES)的基础上逐渐扩展和深入的。1)相关研究拓展到全球更多极端环境与特殊气候地区, 发现在不同的气候环境条件下, 植物叶片功能性状关系相对稳定, 植物种内的功能性状关系已被证实与LES相似; 2)功能性状网络从最初的6个经济性状扩展到叶片的分解、燃烧和水力等性状, 发现叶片的分解速率和可燃性均与叶片形态性状、养分含量等显著相关, 但叶片水力性状与经济性状的关系则取决于所研究的物种及生存环境的水分条件; 3)研究对象从植物叶片拓展到了根、茎、花、种子及植株整体, 叶片的比叶质量与茎的木质密度、种子大小相耦合, 但叶片形态性状与根和花的相关性状却无显著相关关系, 证明这些器官可能是独立进化的; 4) LES可以很好地解释特殊维管植物的生存适应策略: 入侵植物具有较高的资源利用效率和更快的相对生长速率, 在LES中处于“低投入-快速回报”的一端; 食虫植物的叶片特化为捕食器官, 光合作用及生长速率相对较低, 居于LES “高投入-缓慢回报”的另一端, 此外, 无论是最古老的种子植物苏铁属(Cycas)植物, 或是蕨类和变水植物(苔藓和地衣), 其功能性状关系都与LES大致相同。该文梳理了功能性状关系研究的进展脉络, 提出了一些建议, 期望为未来植物功能性状关系研究的选题和发展提供一些参考。
Growth and functional trait responses of Alhagi sparsifolia seedlings to water and nitrogen addition
骆驼刺幼苗生长和功能性状对不同水氮添加的响应
Trade-offs between plant leaf hydraulic and economic traits
DOI:10.17521/cjpe.2015.0099
[本文引用: 3]
Leaf is the most important organ for carbon-water coupling of a plant because it is the primary medium for photosynthesis. It also acts as the hydraulic bottleneck and safety valve against hydraulic catastrophic dysfunctions. The leaf economics spectrum, which reflects the balance between investments and returns of leaf economic traits, provides a useful framework for examining species strategies as shaped by their evolutionary history. Changes in leaf hydraulic traits will influence leaf economic traits as well as plant survival and growth. Exploring trade-offs between leaf hydraulic and economic traits is thus of significance for modeling carbon-water relations, understanding the mechanisms of water/carbon investments, and extending the leaf economic spectrum. In this review, we first examined the trade-offs between leaf hydraulic and economic traits. Specially, we analyzed the relationships between leaf hydraulic conductivity and hydraulic vulnerability, water potential at the turgor loss point, water capacitance, safety margin, and leaf morphological, structural and functional traits. We then discussed potential mechanisms regulating leaf hydraulic and economic traits from leaf morphology, anatomy, venation, and stomatal functions. Finally, we proposed future research to: (1) develop an integrated whole-plant economics spectrum, including carbon-nitrogen-water resources and root-stem-leaf hydraulic transport system that will help revealing ecophysiological mechanisms of plant structure-functional coupling, carbon sequestration and water use; (2) explore a generalized trade-offs among leaf hydraulic safety, hydraulic efficiency and carbon fixation efficiency to advance our understanding of the relationships between biophysical structure and physiological metabolism in plant leaf construction under drought stress; and (3) explore the carbon-water metabolic relationship and coupling of water transport and growth rate for the metabolic theory and predictions at community scale.
植物叶片水力与经济性状权衡关系的研究进展
DOI:10.17521/cjpe.2015.0099
[本文引用: 3]
叶片既是植物光合产物形成的主要场所, 又是整株植物的水力瓶颈、应对灾难性水力失调的安全阀门, 是植物碳水耦合权衡的重要器官。叶经济型谱反映了叶片经济性状“投资-收益”的权衡, 为验证植物进化过程中形成的物种对策提供了适用的理论框架。叶片水力性状变化会影响叶片经济性状及植物存活和生长。因此, 探索植物叶片水力与经济性状的权衡关系, 对建立植物碳-水耦合模型、揭示植物水-碳投资机理、扩展植物性状型谱等均有重要意义。该文首先综述了叶片水力性状、经济性状及两者之间的权衡关系, 分析了叶片导水率与水力脆弱性、失膨点水势、水容、安全阈值等水力性状以及与叶片的形态、结构和气体交换功能性状之间的关系。然后, 从叶片形态、解剖和叶脉网络结构以及气孔功能方面探讨了叶片水力性状与经济性状的调节机制。最后, 提出今后应加强三方面的研究: (1)探索建立植物根-茎-叶水力输导系统的碳-氮-水资源的整株经济型谱, 以揭示植物功能结构耦合、高效固碳用水的生理生态学机制; (2)探索叶片水力安全、水力效率和固碳效率之间的普适性权衡关系, 以深入理解抗旱植物叶片构建的生物物理结构与生理代谢的关系; (3)探索个体水平碳水代谢关系、水分运输与生长速率的耦合, 为代谢推演理论和植物群落尺度预测提供基础。
Characteristics and relationships of foliar water and leaf functional traits of desert plants
荒漠植物叶片水分和功能性状特征及其相互关系
Rhizosphere effect alters the soil microbiome composition and C, N transformation in an arid ecosystem
DOI:10.1016/j.apsoil.2021.104296 URL [本文引用: 2]
Water relation characteristics of four perennial plant species growing in the transition zone between oasis and open desert
沙漠-绿洲过渡带四种多年生植物水分关系特征
Leaf (or assimilation branch) epidermal micromorphology of desert plant in arid and semiarid areas of China
DOI:10.17521/cjpe.2016.0129 URL [本文引用: 1]
中国干旱半干旱区荒漠植物叶片(或同化枝)表皮微形态特征
DOI:10.17521/cjpe.2016.0129
[本文引用: 1]
为了探讨荒漠植物叶片表皮微形态结构对长期荒漠环境的适应特征及其分类学意义, 应用扫描电镜对中国干旱半干旱荒漠区28科74属117种200多个自然居群的植物叶片(或同化枝)表皮微形态进行了研究。荒漠植物叶(或同化枝)表皮的基本特征是: 表皮附属物相当丰富, 包括大量的表皮绒毛、角质膜蜡质片层或晶体颗粒、表面瘤状或疣状突起以及相对下陷且密度较低的气孔器。对表皮微形态结构及附属物组成进行对比分析, 将荒漠植物粗分为11种基本类型, 包括表皮完全被形态各异的蜡质层或表皮毛覆盖、不同形态类型的表皮毛和蜡质层结合、蜡质层与不同分布类型的气孔器或表皮毛结合, 以及各种突起的表皮细胞与蜡质层的结合等。根据抗逆所依赖的表皮及其附属物微形态结构, 将荒漠植物适应环境胁迫的叶片表皮微形态分为6种主要类型, 它们分别依赖于表皮毛、角质层蜡质、表皮凹凸结构、表面突起、混生的附属物以及上下表皮异化特征。荒漠植物叶表皮微形态结构的适应特征是通过表皮附属物(绒毛和角质膜蜡质层)与表皮结构(凹凸、乳突和气孔器)的相互协调作用, 共同抵御强光、降低叶片的蒸腾来提高植物对干旱等不利环境的抗性。该研究在一定程度上阐明了荒漠植物对逆境的适应机理及其演化趋势, 并为优良固沙植物的筛选提供了理论依据。
Differential responses of canopy nutrients to experimental drought along a natural aridity gradient
DOI:10.1002/ecy.2444
PMID:30157292
[本文引用: 1]
The allocation and stoichiometry of plant nutrients in leaves reflect fundamental ecosystem processes, biotic interactions, and environmental drivers such as water availability. Climate change will lead to increases in drought severity and frequency, but how canopy nutrients will respond to drought, and how these responses may vary with community composition along aridity gradients is poorly understood. We experimentally addressed this issue by reducing precipitation amounts by 66% during two consecutive growing seasons at three sites located along a natural aridity gradient. This allowed us to assess drought effects on canopy nitrogen (N) and phosphorus (P) concentrations in arid and semiarid grasslands of northern China. Along the aridity gradient, canopy nutrient concentrations were positively related to aridity, with this pattern was driven primarily by species turnover (i.e., an increase in the relative biomass of N- and P-rich species with increasing aridity). In contrast, drought imposed experimentally increased N but decreased P concentrations in plant canopies. These changes were driven by the combined effects of species turnover and intraspecific variation in leaf nutrient concentrations. In addition, the sensitivity of canopy N and P concentrations to drought varied across the three sites. Canopy nutrient concentrations were less affected by drought at drier than wetter sites, because of the opposing effects of species turnover and intraspecific variation, as well as greater drought tolerance for nutrient-rich species. These contrasting effects of long-term aridity vs. short-term drought on canopy nutrient concentrations, as well as differing sensitivities among sites in the same grassland biome, highlight the challenge of predicting ecosystem responses to future climate change.© 2018 by the Ecological Society of America.
Water sources of dominant desert species in ebinur lake wetland nature reserve, Xinjiang, China
新疆艾比湖湿地自然保护区荒漠优势种体内的水分来源
遮阴对骆驼刺叶性状和水分生理的影响
Niche differentiation of tallgrass prairie plants species along soil hydrological gradients
DOI:10.1139/cjb-2019-0024
[本文引用: 1]
This study addressed whether the distribution of species in frequently burned lowland tallgrass prairies is driven by gradients in soil hydrology. On three study sites, the hydrological conditions in 1m(2) vegetation survey plots where quantified as the number of days the soil was anaerobic less than 15 cm below the surface, and the surface of the soil was drier than 0.4 m(3.)m(-3). On each site, the centroid of each species hydrological niche was defined as the hydrological conditions in plots where it occurred, weighted by its abundance. Species found on all sites maintained a consistent ranking between sites along the soil drying gradient, but not the anaerobic gradient. The levels of niche overlap between species pairs along both hydrological gradients were significantly less than the overlap from randomly assigning species to the hydrological gradients. Indicator species analysis suggested that on each site the communities were best described as consisting of two subgroups. The hydrological niches of the species in these subgroups were significantly different from one another, suggesting that these subgroups are associated with wet or dry habitats. Overall, these analyses suggest that hydrology plays a major role in determining the structure of these frequently disturbed communities.
Mechanisms of plant survival and mortality during drought: Why do some plants survive while others succumb to drought?
DOI:10.1111/j.1469-8137.2008.02436.x
PMID:18422905
[本文引用: 2]
Severe droughts have been associated with regional-scale forest mortality worldwide. Climate change is expected to exacerbate regional mortality events; however, prediction remains difficult because the physiological mechanisms underlying drought survival and mortality are poorly understood. We developed a hydraulically based theory considering carbon balance and insect resistance that allowed development and examination of hypotheses regarding survival and mortality. Multiple mechanisms may cause mortality during drought. A common mechanism for plants with isohydric regulation of water status results from avoidance of drought-induced hydraulic failure via stomatal closure, resulting in carbon starvation and a cascade of downstream effects such as reduced resistance to biotic agents. Mortality by hydraulic failure per se may occur for isohydric seedlings or trees near their maximum height. Although anisohydric plants are relatively drought-tolerant, they are predisposed to hydraulic failure because they operate with narrower hydraulic safety margins during drought. Elevated temperatures should exacerbate carbon starvation and hydraulic failure. Biotic agents may amplify and be amplified by drought-induced plant stress. Wet multidecadal climate oscillations may increase plant susceptibility to drought-induced mortality by stimulating shifts in hydraulic architecture, effectively predisposing plants to water stress. Climate warming and increased frequency of extreme events will probably cause increased regional mortality episodes. Isohydric and anisohydric water potential regulation may partition species between survival and mortality, and, as such, incorporating this hydraulic framework may be effective for modeling plant survival and mortality under future climate conditions.
Mechanisms linking drought, hydraulics, carbon metabolism, and vegetation mortality
DOI:10.1104/pp.110.170704 PMID:21239620 [本文引用: 3]
Changes in leaf functional traits and soil environmental factors in response to slope gradient in karst hills of Guilin
桂林岩溶石山灌丛植物叶功能性状和土壤因子对坡向的响应
Response of plant leaf functional traits to soil aridity and salinity in temperate desert ecosystem
温带荒漠植物叶片功能性状对土壤水盐的响应
Unveiling African rainforest composition and vulnerability to global change
DOI:10.1038/s41586-021-03483-6 URL [本文引用: 1]
Specific leaf area and leaf dry matter content of Nitraria tangutorum in the artificially simulated precipitation
不同模拟增雨下白刺比叶面积和叶干物质含量的比较
Physiological mechanisms of drought-induced tree mortality are far from being resolved
DOI:10.1111/j.1469-8137.2009.03167.x PMID:20409184 [本文引用: 2]
How drought and deciduousness shape xylem plasticity in three Costa Rican woody plant species
DOI:10.1163/22941932-00000070 URL [本文引用: 2]
How do trees die? A test of the hydraulic failure and carbon starvation hypotheses
Height-related changes in forest composition explain increasing tree mortality with height during an extreme drought
DOI:10.1038/s41467-019-12380-6 [本文引用: 2]
Change of different shading on moisture conditions and the physiological response in Alhagi sparsifolia
DOI:10.3724/SP.J.1258.2013.00035 URL [本文引用: 5]
骆驼刺在不同遮阴下的水分状况变化及其生理响应
DOI:10.3724/SP.J.1258.2013.00035
[本文引用: 5]
为了研究骆驼刺(Alhagi sparsifolia)在不同遮阴环境下的生理适应性, 以塔克拉玛干沙漠南缘策勒绿洲外围骆驼刺为试验材料, 设置正常光照、中度遮阴(70%自然光)、重度遮阴(30%自然光) 3种光照环境, 观测了遮阴90天后土壤含水率, 骆驼刺水势、气孔导度(G<sub>s</sub>)、叶形态、叶绿素(Chl)含量、脯氨酸(Pro)含量、丙二醛(MDA)含量、可溶性糖含量等在不同遮阴条件下的变化特征。结果显示: 随着遮阴强度的增大, 土壤含水率, 骆驼刺水势、G<sub>s</sub>、比叶面积、Chl含量、类胡萝卜素含量有一定程度的增加; 骆驼刺叶片厚度、Pro含量、MDA含量、可溶性糖含量以及Chl a/Chl b有不同幅度的减少。结果表明: 一段时间内适度的遮阴在一定程度上降温增湿, 能够改善骆驼刺的生境, 从而避免高温强光和低水势对植物造成的伤害, 促进植物的生长, 但长期遮阴对植物的生长不利。因此建议通过短期的遮阴, 特别是在温度较高、光照较强的夏季正午前后对骆驼刺进行遮阴处理, 以达到对骆驼刺的逆境防护, 促进骆驼刺的生长。
Magnolia grandiflora L. shows better responses to drought than Magnolia × soulangeana in urban environment
DOI:10.3832/ifor3596-013 URL [本文引用: 1]
A unified framework of plant adaptive strategies to drought: crossing scales and disciplines
DOI:10.1111/gcb.14062
PMID:29350812
[本文引用: 2]
Plant adaptation to drought has been extensively studied at many scales from ecology to molecular biology across a large range of model species. However, the conceptual frameworks underpinning the definition of plant strategies, and the terminology used across the different disciplines and scales are not analogous. 'Drought resistance' for instance refers to plant responses as different as the maintenance of growth and productivity in crops, to the survival and recovery in perennial woody or grassland species. Therefore, this paper aims to propose a unified conceptual framework of plant adaptive strategies to drought based on a revised terminology in order to enhance comparative studies. Ecological strategies encapsulate plant adaptation to multidimensional variation in resource variability but cannot account for the dynamic and short-term responses to fluctuations in water availability. Conversely, several plant physiological strategies have been identified along the mono-dimensional gradient of water availability in a given environment. According to a revised terminology, dehydration escape, dehydration avoidance, dehydration tolerance, dormancy, and desiccation tolerance are clearly distinguishable. Their sequential expression is expressed as water deficit increases while cavitation tolerance is proposed here to be a major hydraulic strategy underpinning adaptive responses to drought of vascular plants. This continuum of physiological strategies can be interpreted in the context of the ecological trade-off between water-acquisition vs. water-conservation, since growth maintenance is associated with fast water use under moderate drought while plant survival after growth cessation is associated with slow water use under severe drought. Consequently, the distinction between 'drought resistance' and 'drought survival', is emphasized as crucial to ensure a correct interpretation of plant strategies since 'knowing when not to grow' does not confer 'drought resistance' but may well enhance 'drought survival'. This framework proposal should improve cross-fertilization between disciplines to help tackle the increasing worldwide challenges that drought poses to plant adaptation.© 2018 John Wiley & Sons Ltd.
Variation in leaf functional traits of different-aged Haloxylon ammodendron communities, and the relationship with soil factors
不同年代梭梭叶功能性状差异及其与土壤因子的关系
Global convergence but regional disparity in the hydrological resilience of ecosystems and watersheds to drought
DOI:10.1016/j.jhydrol.2020.125589 URL [本文引用: 2]
Relationships among Populous euphratica hydraulic redistribution, niche breadth and biodiversity of its companion species in Tugai forests
胡杨(Populus euphratica)水分再分配与其伴生种多样性和生态位的关系
Estimation of hydraulic redistribution of Populus euphratica in Ebinur Lake Wetland Nature Reserve in Xinjiang Uygur Autonomous Region, China
DOI:10.3724/SP.J.1258.2011.00816 URL [本文引用: 2]
新疆艾比湖湿地自然保护区胡杨根系水分再分配的估算
DOI:10.3724/SP.J.1258.2011.00816
[本文引用: 2]
根据对新疆艾比湖湿地自然保护区荒漠河岸林的主要建群种胡杨(Populus euphratica)的根系分布特征, 林冠下土壤的饱和容积含水量、最大导水率和根系最大导水率的试验观测数据, 以及对其林冠下5层不同深度土壤容积含水量、土壤水势的动态监测数据, 构建了胡杨根系水分再分配量估算的Ryel模型, 并对胡杨不同季节的水分再分配过程进行了短期模拟。结果表明: (1)胡杨根系水分再分配过程的水分再分配量的最大值出现在艾比湖地方时间凌晨2:30。(2)随着生长季节的变化, 胡杨根系水分再分配的作用逐渐减弱, 并表现出向土壤下层迁移的现象。6月份, 水分再分配过程主要发生在0–40 cm土层, 最大分配量为0.022 0 cm, 夜间总分配量为0.111 0 cm; 8月份水分再分配过程主要发生在10–70 cm土层, 最大分配量为0.006 5 cm, 夜间总分配量为0.018 4 cm; 10月份水分再分配过程主要发生在70–100 cm土层, 最大分配量为0.003 9 cm, 夜间总分配量为0.008 6 cm。
Effects of precipitation and short term extreme drought on leaf traits in Inner Mongolia typical steppe
降水量和短期极端干旱对典型草原植物群落及优势种羊草(Leymus chinensis)叶性状的影响
Effects of irrigation on root growth and distribution of the seedlings of Alhagi sparsifolia Shap. in the Taklimakan Desert
塔干沙漠南缘骆驼刺幼苗根系生长和分布对不同灌溉量的响应
Influence of edaphic factors on plant distribution and diversity in the arid area of Xinjiang, Northwest China
DOI:10.1080/15324982.2017.1376004 URL [本文引用: 2]
盐分胁迫对骆驼刺幼苗叶片性状的影响
Xylem hydraulic conductivity and embolism properties of desert riparian forest plants and its response to drought stress
DOI:10.3724/SP.J.1258.2012.00019 URL [本文引用: 1]
荒漠河岸林植物木质部导水与栓塞特征及其对干旱胁迫的响应
DOI:10.3724/SP.J.1258.2012.00019
[本文引用: 1]
以同处于干旱区的塔里木河下游(铁干里克)和黑河下游(乌兰图格)断面为研究区, 比较了荒漠河岸林主要建群种胡杨(Populus euphratica)、柽柳(Tamarix spp.)、疏叶骆驼刺(Alhagi sparsifolia)和花花柴(Karelinia caspia)在长期遭受不同干旱胁迫下的根、枝条木质部导水力和栓塞化程度的变化特征, 并分析了木质部导水对干旱胁迫的响应及适应策略。结果表明: 1) 黑河下游荒漠河岸林植物的导水能力显著高于塔里木河下游, 其中柽柳、胡杨、疏叶骆驼刺和花花柴根木质部的初始比导率(K<sub>s0</sub>)分别高11.97、6.74、7.10和3.73倍, 枝条的K<sub>s0</sub>分别高9.48、3.65、2.07和1.88倍, 地下水埋深导致的干旱胁迫程度不同是诱发荒漠植物导水能力差异的根本原因; 2)柽柳耐干旱能力最强, 适应范围较宽, 而花花柴、疏叶骆驼刺的耐旱性相对较弱, 适生范围较窄, 这可能与植物的根系分布有关; 3)干旱胁迫较轻时, 枝条木质部是荒漠河岸林植物水分传输的主要阻力部位, 干旱胁迫严重时, 根木质部是限制植株水流的最大阻碍部位; 4)荒漠河岸林植物主要通过调节枝条木质部的水流阻力来适应干旱胁迫, 且其适应策略与干旱胁迫程度有关, 干旱胁迫轻时, 植物通过限制枝条木质部水流来协调整株植物的均匀生长; 干旱胁迫严重时, 植物通过牺牲劣势枝条、增强优势枝条水流来提高植株整体生存的机会。
A review on the phytotomy research of xerophytes in China
我国旱生植物的形态解剖学研究
/
| 〈 |
|
〉 |

