植物生态学报 ›› 2025, Vol. 49 ›› Issue (11): 1919-1933.DOI: 10.17521/cjpe.2024.0352

• • 上一篇    

臭氧浓度升高和氮添加对杨树不同叶位和生长时期光合特性的影响

田彤彤, 尚博, 徐彦森, 袁相洋, 刘硕, 冯兆忠   

  1. 南京信息工程大学 生态与应用气象学院, 210044
  • 收稿日期:2024-10-10 修回日期:2025-02-24 出版日期:2025-11-20 发布日期:2025-11-20

Effects of elevated ozone concentration and nitrogen addition on the photosynthetic charac-teristics of poplar at different leaf positions and growth stages

TIAN Tongtong, SHANG Bo, Xu Yansen, YUAN Xiang-Yang, Liu Shuo, FENG Zhao-Zhong   

  1. , Nanjing University of Information Science and Technology, School of Ecology and Applied Meteorology 210044,
  • Received:2024-10-10 Revised:2025-02-24 Online:2025-11-20 Published:2025-11-20

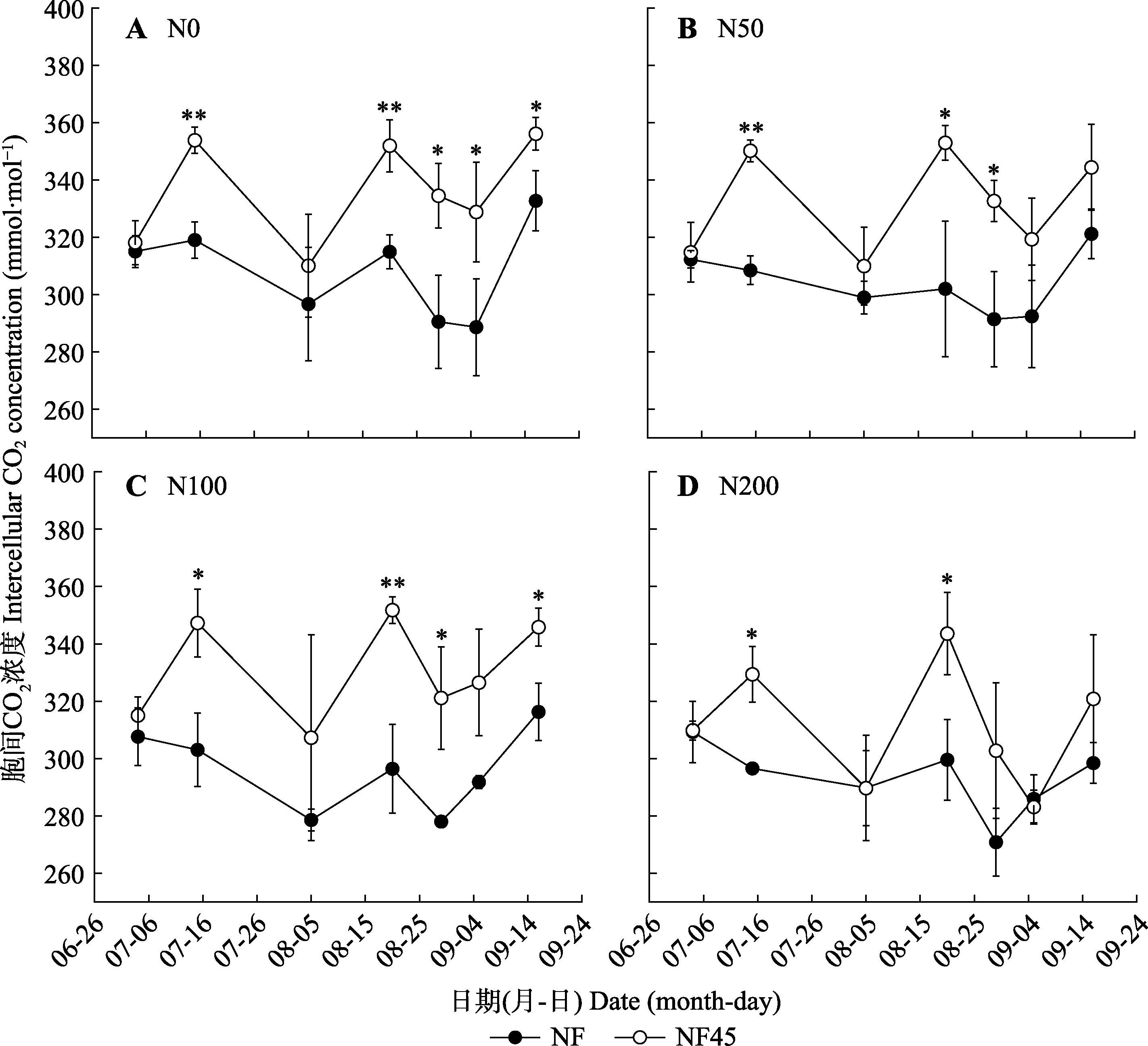
摘要: 臭氧(O?)污染和氮添加对植物光合作用的复合影响仍存在争议, 这可能与测定时期、时间及叶片位置等因素有关。该研究利用开顶式气室, 以杨树(Populus euramericana cv. ‘74/76’)扦插苗为研究对象, 设置了两个O3浓度处理(NF: 环境大气; NF45: 环境大气+45 nmol·mol-1 O3), 并在每个O3处理下嵌套设置4个氮添加处理, 旨在探究杨树整个生长季中不同的时期、一天内不同时间及不同的叶片位置下光合参数对O3和氮添加的响应差异。结果表明, 在4个氮处理下, 与NF处理相比, NF45处理显著的降低了整个生长季光合速率(Pn)、气孔导度(gs)和叶绿素含量(SPAD)分别为44.2%、18.2%和24.7%, 并且增加了胞间二氧化碳浓度(Ci) 9.0%, 表明O3对杨树叶片Pn的降低主要是由非气孔因素限制的。比较生长季不同时期的结果发现, O3处理对杨树生长中后期Pn和SPAD的抑制作用显著强于前期。同时, 不同叶位光合参数对O3的响应也存在差异, NF45处理显著降低了下部叶片的Pn和SPAD, 而对最上部叶位的Pn和SPAD则有所增加, 表明植物在应对O3胁迫时表现出一定的补偿效应。一天内不同时间的测定结果表明, O3导致杨树叶片Pn降低的幅度不同, 但O3和时间对杨树叶片光合参数不存在统计学上显著的交互影响。氮添加下整个生长季杨树叶片的Pn和SPAD显著升高, Ci显著降低, 但gs没有显著的变化。氮添加对光合的促进作用在杨树的不同生长时期和不同叶位上无显著差异。此外, O3和氮添加对所有光合参数都未观察到显著的交互效应, 表明氮添加并没有缓解O3对杨树光合的负面影响。综上所述, 评估O3污染对森林生态系统碳固定能力影响时, 考虑植物叶片生长阶段和位置的异质性是十分必要的, 该研究也为在空气污染背景下优化人工林氮肥管理措施提供科学依据。

关键词: 臭氧, 氮添加, 生长时期, 日变化, 叶片位置, 杨树

Abstract: Aims The combined effects of ozone (O3) pollution and nitrogen addition on plant photosynthesis are still controversial, which may be related to factors such as measurement period, time, and leaf position. This study mainly explored the differences in the response of photosynthetic parameters of poplar to O3 and nitrogen addition at different growth stages, diurnal variation, and leaf positions, in order to comprehensively understand the combined effects of O3 pollution and nitrogen addition on plant carbon sequestration. Methods The cuttings of hybrid poplar clone 107 (Populus euramericana cv. ‘74/76’) were exposed to six open top chambers. Two O3 concentration treatments were set up (NF, non-filtered ambient air; NF45, NF+45 nmol·mol-1 O3), with four nitrogen addition treatments nested under each O3 treatment (N0, no N added; N50, N0 + 50 kg N·hm-2·a-1; N100, N0 + 100 kg N·hm-2·a-1; N200, N0 + 200 kg N·hm-2·a-1). The photosynthetic parameters of poplar at different growth stages, daily times, and leaf positions were measured. Important Findings When averaged across four nitrogen treatments, NF45 treatment significantly reduced the entire growth season photosynthetic rate (Pn), stomatal conductance (gs), and chlorophyll content (SPAD) by 44.2%, 18.2%, and 24.7% compared with NF treatment, respectively. However, O3 increased the intercellular carbon dioxide concentration (Ci) by 9.0%, indicating that the reduction of Pn by O3 was mainly limited by non-stomatal factors. The results showed that NF45 treatment had a greater reduction in leaf Pn and SPAD at the middle and late stages of growth than at the early stages. The response of Pn and SPAD to O3 varied among different leaf positions. O3 significantly reduced Pn and SPAD at the lower leaf position, while O3 increased Pn and SPAD at the topmost leaf position, indicating a compensatory effect of plants in response to O3 stress. O3 caused varying degrees of decrease in Pn of poplar at different times within a day, but there was no statistically significant interaction between O3 and time on the photosynthetic parameters. The nitrogen addition signifi-cantly increased the leaf Pn and SPAD of poplar throughout the entire growing season, with no significant effect on gs, but significantly reduced Ci. There was no significant difference in the promotion of photosynthesis by nitrogen addition at different growth stages and leaf positions. In addition, no significant interaction effect was observed between O3 and nitrogen addition on all photosynthetic parameters, indicating that nitrogen addition did not alleviate the negative impact of O3 on poplar photosynthesis.

Key words: Ozone, Nitrogen addition, Growth period, Diurnal dynamics, Leaf position, Poplar