植物生态学报 ›› 2026, Vol. 50 ›› Issue (1): 134-149.DOI: 10.17521/cjpe.2025.0035
李淑英1, 朱加保1, 马艳2,*(
), 徐道青1,*(
), 阚画春1, 陈敏1, 刘小玲1, 郑曙峰1, 马小艳2
收稿日期:2025-01-24
接受日期:2025-04-03
出版日期:2026-01-20
发布日期:2026-02-13
通讯作者:
*(马艳, yanma27@sina.com;基金资助:
LI Shu-Ying1, ZHU Jia-Bao1, MA Yan2,*(
), XU Dao-Qing1,*(
), KAN Hua-Chun1, CHEN Min1, LIU Xiao-Ling1, ZHENG Shu-Feng1, MA Xiao-Yan2
Received:2025-01-24
Accepted:2025-04-03
Online:2026-01-20
Published:2026-02-13
Contact:
*(Ma Y, yanma27@sina.com;Supported by:摘要:
牛筋草(Eleusine indica)是世界性恶性杂草, 为安徽省沿江棉区优势杂草, 而棉花(陆地棉, Gossypium hirsutum)对杂草竞争十分敏感。该研究旨在明确牛筋草对棉花的密度竞争作用及其防治临界期, 为棉田牛筋草的综合防治提供理论依据。2010-2012年在安徽省安庆市实验地, 密度竞争实验采用添加系列实验方法, 棉花密度保持不变, 设置8个牛筋草密度(0、0.125、0.25、0.5、1、2、3、4株·m-1)与棉花全生育期竞争; 防治临界期实验分别设置不同的牛筋草除草临界期和无杂草临界期(0、2、4、6、8、10、12、14、20周), 研究不同牛筋草密度以及2.5株·m-1密度下不同除草临界期和无杂草临界期对棉花生长、子棉产量及其构成因素的影响。随着牛筋草密度增加, 牛筋草株高逐渐降低, 分别在牛筋草密度为3株·m-1 (2011年)和0.25株·m-1 (2012年),较0.125株·m-1显著降低。3年数据平均后, 牛筋草生物量由715 kg·hm-2 (0.125株·m-1)逐渐增加到4 148 kg·hm-2 (4株·m-1); 在较高密度, 牛筋草种内竞争明显。2012年随着牛筋草与棉花共生时间延长, 牛筋草单株分蘖数和生物量逐渐增加; 在共同竞争前12周, 牛筋草株高均大于棉花。随着牛筋草密度增加, 棉花株高和茎直径呈降低趋势, 单株果枝数、铃数显著减少, 较高密度牛筋草降低棉花单铃重, 衣分没有明显变化。其中2012年2株·m-1及以上密度的牛筋草显著降低棉花株高; 2011年3株·m-1及以上密度和2012年4株·m-1牛筋草显著降低棉花茎直径。1株·m-1的牛筋草密度导致棉花单株果枝数减少8.7%-11.6%, 铃数减少18.6%-35.2%, 单铃重减少0.1%-4.6%。引起子棉显著减产的牛筋草密度分别是0.125株·m-1 (2010和2012年)和0.25株·m-1 (2011年), 导致子棉减产10%-18%; 单株铃数及子棉产量损失率与牛筋草密度符合双曲线模型, 由此预测导致单株铃数减少50%的牛筋草密度为2.3-3.7株·m-1, 致使子棉减产率达5%的牛筋草密度为0.05-0.09株·m-1。随着牛筋草与棉花竞争时间的延长, 棉花株高、茎直径逐渐减少, 单株果枝数、铃数显著降低, 子棉产量显著降低; 杂草竞争时间与子棉相对产量高度符合Logistic模型。无杂草时间延长则导致棉花株高、茎直径增加, 单株果枝数、铃数和子棉产量显著增加; 子棉相对产量随无杂草时间的变化趋势高度符合Gompertz模型。当设定子棉产量损失阈值为5%时, 2.5株·m-1密度下牛筋草防治临界期在棉花播种后35-83天。
李淑英, 朱加保, 马艳, 徐道青, 阚画春, 陈敏, 刘小玲, 郑曙峰, 马小艳. 牛筋草对棉花的密度竞争和防治临界期. 植物生态学报, 2026, 50(1): 134-149. DOI: 10.17521/cjpe.2025.0035
LI Shu-Ying, ZHU Jia-Bao, MA Yan, XU Dao-Qing, KAN Hua-Chun, CHEN Min, LIU Xiao-Ling, ZHENG Shu-Feng, MA Xiao-Yan. Influence of goosegrass density and critical period for its control on cotton. Chinese Journal of Plant Ecology, 2026, 50(1): 134-149. DOI: 10.17521/cjpe.2025.0035
| 月份 Month | 月平均气温 Monthly mean air temperature (℃) | 月降水量 Monthly precipitation (mm) | ||||
|---|---|---|---|---|---|---|
| 2010 | 2011 | 2012 | 2010 | 2011 | 2012 | |
| 4 | 14.3 | 17.9 | 18.8 | 178.4 | 53.6 | 85.8 |
| 5 | 21.9 | 22.4 | 22.3 | 105.6 | 89.3 | 200.6 |
| 6 | 25.0 | 24.8 | 26.5 | 170.2 | 377.1 | 121.5 |
| 7 | 28.4 | 28.9 | 30.7 | 727.9 | 245.3 | 326.3 |
| 8 | 29.8 | 27.9 | 28.2 | 208.4 | 128.5 | 144.5 |
| 9 | 24.6 | 23.5 | 23.2 | 137.5 | 28.5 | 129.0 |
| 10 | 17.7 | 18.3 | 19.0 | 75.7 | 27.1 | 60.7 |
| 总计 Total | - | - | - | 1 603.7 | 949.4 | 1 068.4 |
表1 安庆实验地2010-2012年4-10月份月平均气温和降水量(安庆气象局)
Table 1 Monthly mean air temperature and total precipitation from April to October in 2010-2012 at the experimental site (Anqing Meteorological Bureau)
| 月份 Month | 月平均气温 Monthly mean air temperature (℃) | 月降水量 Monthly precipitation (mm) | ||||
|---|---|---|---|---|---|---|
| 2010 | 2011 | 2012 | 2010 | 2011 | 2012 | |
| 4 | 14.3 | 17.9 | 18.8 | 178.4 | 53.6 | 85.8 |
| 5 | 21.9 | 22.4 | 22.3 | 105.6 | 89.3 | 200.6 |
| 6 | 25.0 | 24.8 | 26.5 | 170.2 | 377.1 | 121.5 |
| 7 | 28.4 | 28.9 | 30.7 | 727.9 | 245.3 | 326.3 |
| 8 | 29.8 | 27.9 | 28.2 | 208.4 | 128.5 | 144.5 |
| 9 | 24.6 | 23.5 | 23.2 | 137.5 | 28.5 | 129.0 |
| 10 | 17.7 | 18.3 | 19.0 | 75.7 | 27.1 | 60.7 |
| 总计 Total | - | - | - | 1 603.7 | 949.4 | 1 068.4 |
| 杂草密度 Weed density (plants·m-1) | 株高 Plant height (cm) | 茎直径 Stem diameter (mm) | ||||||||
|---|---|---|---|---|---|---|---|---|---|---|
| 牛筋草 Goosegrass | 棉花 Cotton | 棉花 Cotton | ||||||||
| 2010 | 2011 | 2012 | 2010 | 2011 | 2012 | 2010 | 2011 | 2012 | ||
| 0 | - | - | - | 105.9a | 109.5a | 118.2a | 18.4a | 18.8a | 20.7a | |
| 0.125 | 71.5ab | 72.3ab | 119.5a | 105.7a | 110.6a | 116.7a | 18.8a | 18.6ab | 20.4a | |
| 0.25 | 72.1ab | 72.4ab | 96.4b | 105.2a | 107.0a | 117.4a | 17.9a | 18.3ab | 20.7a | |
| 0.5 | 78.4a | 76.7a | 98.5b | 102.3a | 107.1a | 112.9a | 18.9a | 17.6ab | 20.1a | |
| 1 | 72.3ab | 74.1ab | 94.5b | 104.0a | 105.8a | 111.9a | 18.8a | 16.7b | 19.4a | |
| 2 | 77.6ab | 72.8ab | 89.5b | 102.1a | 106.1a | 95.8b | 17.7a | 17.4ab | 18.5a | |
| 3 | 66.1b | 65.1b | 86.3b | 102.5a | 108.4a | 98.0b | 18.3a | 16.5b | 18.1a | |
| 4 | 67.2ab | 65.7b | 86.3b | 99.2a | 103.1a | 88.1b | 18.3a | 16.4b | 15.0b | |
表2 2010-2012年牛筋草密度对牛筋草和棉花的株高和茎直径的影响
Table 2 Influence of goosegrass densities on plant height and stem diameter of cotton and goosegrass from 2010 to 2012
| 杂草密度 Weed density (plants·m-1) | 株高 Plant height (cm) | 茎直径 Stem diameter (mm) | ||||||||
|---|---|---|---|---|---|---|---|---|---|---|
| 牛筋草 Goosegrass | 棉花 Cotton | 棉花 Cotton | ||||||||
| 2010 | 2011 | 2012 | 2010 | 2011 | 2012 | 2010 | 2011 | 2012 | ||
| 0 | - | - | - | 105.9a | 109.5a | 118.2a | 18.4a | 18.8a | 20.7a | |
| 0.125 | 71.5ab | 72.3ab | 119.5a | 105.7a | 110.6a | 116.7a | 18.8a | 18.6ab | 20.4a | |
| 0.25 | 72.1ab | 72.4ab | 96.4b | 105.2a | 107.0a | 117.4a | 17.9a | 18.3ab | 20.7a | |
| 0.5 | 78.4a | 76.7a | 98.5b | 102.3a | 107.1a | 112.9a | 18.9a | 17.6ab | 20.1a | |
| 1 | 72.3ab | 74.1ab | 94.5b | 104.0a | 105.8a | 111.9a | 18.8a | 16.7b | 19.4a | |
| 2 | 77.6ab | 72.8ab | 89.5b | 102.1a | 106.1a | 95.8b | 17.7a | 17.4ab | 18.5a | |
| 3 | 66.1b | 65.1b | 86.3b | 102.5a | 108.4a | 98.0b | 18.3a | 16.5b | 18.1a | |
| 4 | 67.2ab | 65.7b | 86.3b | 99.2a | 103.1a | 88.1b | 18.3a | 16.4b | 15.0b | |
图1 2010-2012年牛筋草生物量与密度的关系(平均值±标准差)。A, 2010-2012年牛筋草单株生物量随密度变化趋势, 符合方程y = a - blnx。B, 2010-2012年单位面积上牛筋草总生物量随杂草密度的变化趋势, 符合方程y = a + blnx。
Fig. 1 Relationship between goosegrass density and its dry biomass from 2010 to 2012 (mean ± SD). A, Trend of biomass per plant with density from 2010 to 2012, fitted to the equation of y = a - blnx. B, Variation trend of total biomass per unit area with weed density from 2010 to 2012, fitted to the equation of y = a + blnx.
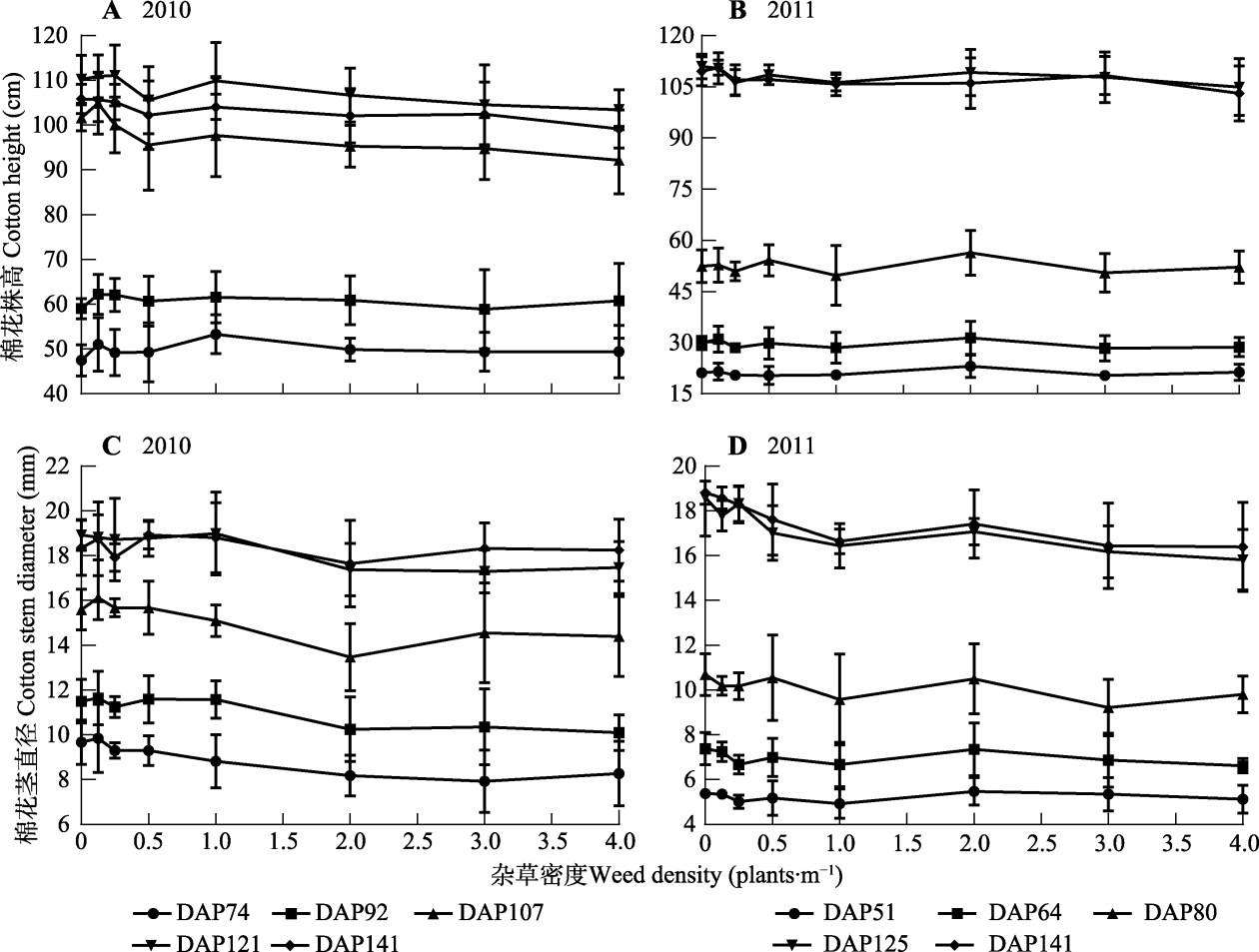
图2 2010-2011年不同杂草密度竞争下棉花株高(A、B)和茎直径(C、D)的时间动态(平均值±标准差)。DAP, 棉花播后天数。
Fig. 2 Time dynamics of cotton plant height (A, B) and stem diameter (C, D) under different weed densities competition during 2010 to 2011 (mean ± SD). DAP, days after planting.
| 处理时间 Treatment time (week) | 除草临界期 Weeding critical period | 无杂草临界期 Weed free critical period | ||||||||||
|---|---|---|---|---|---|---|---|---|---|---|---|---|
| 株高 Plant height (cm) | 茎直径 Stem diameter (mm) | 株高 Plant height (cm) | 茎直径 Stem diameter (mm) | |||||||||
| 2010 | 2011 | 2012 | 2010 | 2011 | 2012 | 2010 | 2011 | 2012 | 2010 | 2011 | 2012 | |
| 0 | 120.6a | 111.0a | 117.7a | 20.3ab | 20.8a | 22.6a | 105.7b | 96.2c | 99.9b | 17.6b | 18.2b | 18.8b |
| 2 | 118.6ab | 107.0ab | 115.8ab | 19.2abc | 19.5ab | 21.7ab | 113.3ab | 99.9bc | 114.1a | 17.6b | 18.4b | 21.0a |
| 4 | 115.6abc | 102.7ab | 111.8abc | 21.0a | 19.5ab | 20.6abc | 114.2a | 102.4abc | 115.4a | 19.5ab | 18.5b | 21.3a |
| 6 | 114.9abc | 105.6ab | 108.4abc | 20.1ab | 19.2b | 20.7abc | 115.5a | 103.9abc | 114.4a | 18.9ab | 18.9b | 20.8a |
| 8 | 111.4abc | 99.8ab | 103.8bc | 19.5abc | 18.4b | 20.0bc | 115.7a | 107.5ab | 115.2a | 19.4ab | 18.7b | 21.4a |
| 10 | 110.2bc | 96.2b | 104.5bc | 18.9abc | 18.7b | 19.9bc | 116.7a | 105.1abc | 116.3a | 19.6ab | 18.7b | 21.6a |
| 12 | 108.2c | 97.3b | 103.1bc | 19.3abc | 18.6b | 19.7bc | 117.7a | 107.6ab | 115.4a | 20.0a | 19.7ab | 21.8a |
| 14 | 109.8bc | 96.6b | 103.2bc | 18.4bc | 18.5b | 19.7bc | 118.5a | 110.2ab | 117.3a | 20.4a | 19.7ab | 22.4a |
| 20 | 105.7c | 96.2b | 99.9c | 17.6c | 18.2b | 18.8c | 120.6a | 111.0a | 117.7a | 20.3a | 20.8a | 22.6a |
表3 2010-2012年杂草防治临界期对棉花株高和茎直径的影响
Table 3 Effects of critical period of weed competition on plant height and stem diameter of cotton from 2010 to 2012
| 处理时间 Treatment time (week) | 除草临界期 Weeding critical period | 无杂草临界期 Weed free critical period | ||||||||||
|---|---|---|---|---|---|---|---|---|---|---|---|---|
| 株高 Plant height (cm) | 茎直径 Stem diameter (mm) | 株高 Plant height (cm) | 茎直径 Stem diameter (mm) | |||||||||
| 2010 | 2011 | 2012 | 2010 | 2011 | 2012 | 2010 | 2011 | 2012 | 2010 | 2011 | 2012 | |
| 0 | 120.6a | 111.0a | 117.7a | 20.3ab | 20.8a | 22.6a | 105.7b | 96.2c | 99.9b | 17.6b | 18.2b | 18.8b |
| 2 | 118.6ab | 107.0ab | 115.8ab | 19.2abc | 19.5ab | 21.7ab | 113.3ab | 99.9bc | 114.1a | 17.6b | 18.4b | 21.0a |
| 4 | 115.6abc | 102.7ab | 111.8abc | 21.0a | 19.5ab | 20.6abc | 114.2a | 102.4abc | 115.4a | 19.5ab | 18.5b | 21.3a |
| 6 | 114.9abc | 105.6ab | 108.4abc | 20.1ab | 19.2b | 20.7abc | 115.5a | 103.9abc | 114.4a | 18.9ab | 18.9b | 20.8a |
| 8 | 111.4abc | 99.8ab | 103.8bc | 19.5abc | 18.4b | 20.0bc | 115.7a | 107.5ab | 115.2a | 19.4ab | 18.7b | 21.4a |
| 10 | 110.2bc | 96.2b | 104.5bc | 18.9abc | 18.7b | 19.9bc | 116.7a | 105.1abc | 116.3a | 19.6ab | 18.7b | 21.6a |
| 12 | 108.2c | 97.3b | 103.1bc | 19.3abc | 18.6b | 19.7bc | 117.7a | 107.6ab | 115.4a | 20.0a | 19.7ab | 21.8a |
| 14 | 109.8bc | 96.6b | 103.2bc | 18.4bc | 18.5b | 19.7bc | 118.5a | 110.2ab | 117.3a | 20.4a | 19.7ab | 22.4a |
| 20 | 105.7c | 96.2b | 99.9c | 17.6c | 18.2b | 18.8c | 120.6a | 111.0a | 117.7a | 20.3a | 20.8a | 22.6a |
图3 2012年不同除草临界期对牛筋草生长和棉花株高的影响(平均值±标准差)。A, Logistic模型拟合杂草竞争时间对棉花和牛筋草株高的作用。B, Schumacher模型拟合杂草竞争时间对牛筋草生物量的作用。C, Gompertz模型拟合杂草竞争时间对牛筋草单株分蘖数的作用。模型参数如图中公式所示, 其中y分别代表不同除草临界期的牛筋草和棉花株高、牛筋草生物量和牛筋草单株分蘖数, x为杂草干扰时间(用生长度日表示)。
Fig. 3 Effects of different weed removal critical periods on the growth of goosegrass and cotton plant height in 2012 (mean ± SD). A, Logistic model fitted the effect of weed competition time on the plant height of cotton and goosegrass. B, Schumacher model fitted the effect of weed competition time on the biomass of goosegrass. C, Gompertz model was used to fit the effect of weed interference duration on tillers per plant of goosegrass. The model parameters are shown in the formula in the figure, where y represents the plant height of goosegrass and cotton, biomass and tiller number per plant of goosegrass in different weed removal critical periods, and x is the weed interference time (expressed by growing degree days).
图4 2010-2011年不同杂草密度下棉花单株果枝数(A、B)和铃数(C、D)的时序动态(平均值±标准差)。DAP, 棉花播后天数。
Fig. 4 Temporal dynamics of fruit branch number (A, B) and boll number (C, D) per plant of cotton under different weed densities during 2010 to 2011 (mean ± SD). DAP, days after planting.
| 杂草密度 Weed density (plants·m-1) | 果枝数 Fruit branches (No.·plant-1) | 单铃重 Single boll mass (g) | 子棉产量 Seed cotton yield (kg·hm-2) | ||||||
|---|---|---|---|---|---|---|---|---|---|
| 2010 | 2011 | 2012 | 2010 | 2011 | 2012 | 2010 | 2011 | 2012 | |
| 0 | 14.1a | 18.8a | 18.8ab | 5.8a | 5.4ab | 5.8a | 3 330a | 3 202a | 3 513a |
| 0.125 | 14.1a | 17.4ab | 18.9a | 5.7ab | 5.5a | 5.8a | 2 995b | 2 931ab | 3 055b |
| 0.25 | 12.9ab | 17.5ab | 18.7ab | 5.6ab | 5.4ab | 5.7a | 2 786b | 2 640bc | 2 893b |
| 0.5 | 13.1ab | 16.8bc | 18.3ab | 5.6ab | 5.4ab | 5.7a | 2 768b | 2 578bcd | 2 277c |
| 1 | 12.7b | 16.6bc | 17.2bc | 5.7ab | 5.4ab | 5.5ab | 2 495c | 2 378cde | 2 021c |
| 2 | 12.2b | 16.8bc | 15.9cd | 5.6ab | 5.4ab | 5.3ab | 2 210d | 2 215def | 1 567d |
| 3 | 12.8ab | 16.4bc | 15.4d | 5.6ab | 5.2ab | 5.2ab | 2 119d | 2 031ef | 1 318de |
| 4 | 12.0b | 15.3c | 13.3e | 5.5b | 5.1b | 4.9b | 1 760e | 1 979f | 1 086e |
表4 2010-2012年不同牛筋草密度对棉花产量及其主要构成因素的影响
Table 4 Influence of goosegrass densities on cotton yield and its main components from 2010 to 2012
| 杂草密度 Weed density (plants·m-1) | 果枝数 Fruit branches (No.·plant-1) | 单铃重 Single boll mass (g) | 子棉产量 Seed cotton yield (kg·hm-2) | ||||||
|---|---|---|---|---|---|---|---|---|---|
| 2010 | 2011 | 2012 | 2010 | 2011 | 2012 | 2010 | 2011 | 2012 | |
| 0 | 14.1a | 18.8a | 18.8ab | 5.8a | 5.4ab | 5.8a | 3 330a | 3 202a | 3 513a |
| 0.125 | 14.1a | 17.4ab | 18.9a | 5.7ab | 5.5a | 5.8a | 2 995b | 2 931ab | 3 055b |
| 0.25 | 12.9ab | 17.5ab | 18.7ab | 5.6ab | 5.4ab | 5.7a | 2 786b | 2 640bc | 2 893b |
| 0.5 | 13.1ab | 16.8bc | 18.3ab | 5.6ab | 5.4ab | 5.7a | 2 768b | 2 578bcd | 2 277c |
| 1 | 12.7b | 16.6bc | 17.2bc | 5.7ab | 5.4ab | 5.5ab | 2 495c | 2 378cde | 2 021c |
| 2 | 12.2b | 16.8bc | 15.9cd | 5.6ab | 5.4ab | 5.3ab | 2 210d | 2 215def | 1 567d |
| 3 | 12.8ab | 16.4bc | 15.4d | 5.6ab | 5.2ab | 5.2ab | 2 119d | 2 031ef | 1 318de |
| 4 | 12.0b | 15.3c | 13.3e | 5.5b | 5.1b | 4.9b | 1 760e | 1 979f | 1 086e |
图5 2010-2012年牛筋草密度对棉花单株铃数(A)和子棉减产率(B)的影响(平均值±标准差)。A, 棉花单株铃数随牛筋草密度的变化趋势, 拟合方程为y$=a\times \frac{b}{b+x}$; 其中y是指棉花单株铃数, x是牛筋草密度(株·m-1)。B, 子棉减产率随牛筋草密度的变化趋势, 拟合方程为yL$=\frac{d}{a+b\times x}$; 其中yL是子棉减产率, x是牛筋草密度(株·m-1)。
Fig. 5 Effects of goosegrass densities on boll number per plant (A) and yield loss rate of seed cotton (B) from 2010 to 2012 (mean ± SD). A, Fitting equation of boll number per plant of cotton with the density of goosegrass was y$=a\times \frac{b}{b+x}$; y refers to cotton boll number per plant, x are densities of goosegrass. B, Variation trend of seed cotton yield loss rate with the density of goosegrass was fitted by yL$=\frac{d}{a+b\times x}$; yL is the seed cotton yield loss rate, x is the density of goosegrass.
| 有杂草时间 Weedy period (week) | 果枝数 Fruit branches (No.·plant-1) | 铃数 Boll number (No.·plant-1) | 单铃重 Single boll mass (g) | 子棉产量 Seed cotton yield (kg·hm-2) | ||||||||
|---|---|---|---|---|---|---|---|---|---|---|---|---|
| 2010 | 2011 | 2012 | 2010 | 2011 | 2012 | 2010 | 2011 | 2012 | 2010 | 2011 | 2012 | |
| 0 | 17.3a | 17.9a | 19.8a | 42.1a | 36.6a | 39.8a | 5.6a | 6.4a | 4.8a | 3 213a | 4 126a | 2 656a |
| 2 | 16.4ab | 17.8a | 18.9ab | 39.2a | 33.9ab | 36.0ab | 5.5ab | 5.9ab | 4.7a | 3 213a | 4 254a | 2 681a |
| 4 | 17.0a | 17.4ab | 18.6abc | 37.8ab | 31.7abc | 34.2abc | 5.4ab | 6.0ab | 4.5a | 3 134ab | 4 040a | 2 482a |
| 6 | 15.8ab | 17.6ab | 18.3abcd | 34.9abc | 31.2abc | 29.9bcd | 5.1ab | 6.0ab | 4.6a | 3 028ab | 3 867ab | 2 483a |
| 8 | 14.4bc | 16.1bc | 18.5abcd | 35.2abc | 29.3bc | 30.7bcd | 5.2ab | 6.0ab | 4.7a | 2 895bc | 3 496bc | 2 205b |
| 10 | 15.8ab | 15.4c | 16.9cd | 31.3bcd | 28.7bc | 29.9bcd | 5.0b | 5.9ab | 4.6a | 2 950abc | 3 266cd | 2 186b |
| 12 | 15.2abc | 16.2bc | 17.5bcd | 30.7bcd | 28.0bc | 27.8cd | 5.2ab | 5.8b | 4.7a | 2 730c | 3 259cd | 2 096b |
| 14 | 15.1abc | 15.8c | 16.7cd | 28.1cd | 26.7c | 27.2d | 5.2ab | 6.0ab | 4.7a | 2 756c | 3 024d | 1 935b |
| 20 | 13.4c | 15.4c | 16.5d | 25.5d | 26.4c | 26.6d | 5.2ab | 5.7b | 4.6a | 2 475d | 2 963d | 1 916b |
表5 2010-2012年除草临界期对棉花产量及其主要构成因素的影响
Table 5 Effects of critical period of weed removal on cotton yield and its main components from 2010 to 2012
| 有杂草时间 Weedy period (week) | 果枝数 Fruit branches (No.·plant-1) | 铃数 Boll number (No.·plant-1) | 单铃重 Single boll mass (g) | 子棉产量 Seed cotton yield (kg·hm-2) | ||||||||
|---|---|---|---|---|---|---|---|---|---|---|---|---|
| 2010 | 2011 | 2012 | 2010 | 2011 | 2012 | 2010 | 2011 | 2012 | 2010 | 2011 | 2012 | |
| 0 | 17.3a | 17.9a | 19.8a | 42.1a | 36.6a | 39.8a | 5.6a | 6.4a | 4.8a | 3 213a | 4 126a | 2 656a |
| 2 | 16.4ab | 17.8a | 18.9ab | 39.2a | 33.9ab | 36.0ab | 5.5ab | 5.9ab | 4.7a | 3 213a | 4 254a | 2 681a |
| 4 | 17.0a | 17.4ab | 18.6abc | 37.8ab | 31.7abc | 34.2abc | 5.4ab | 6.0ab | 4.5a | 3 134ab | 4 040a | 2 482a |
| 6 | 15.8ab | 17.6ab | 18.3abcd | 34.9abc | 31.2abc | 29.9bcd | 5.1ab | 6.0ab | 4.6a | 3 028ab | 3 867ab | 2 483a |
| 8 | 14.4bc | 16.1bc | 18.5abcd | 35.2abc | 29.3bc | 30.7bcd | 5.2ab | 6.0ab | 4.7a | 2 895bc | 3 496bc | 2 205b |
| 10 | 15.8ab | 15.4c | 16.9cd | 31.3bcd | 28.7bc | 29.9bcd | 5.0b | 5.9ab | 4.6a | 2 950abc | 3 266cd | 2 186b |
| 12 | 15.2abc | 16.2bc | 17.5bcd | 30.7bcd | 28.0bc | 27.8cd | 5.2ab | 5.8b | 4.7a | 2 730c | 3 259cd | 2 096b |
| 14 | 15.1abc | 15.8c | 16.7cd | 28.1cd | 26.7c | 27.2d | 5.2ab | 6.0ab | 4.7a | 2 756c | 3 024d | 1 935b |
| 20 | 13.4c | 15.4c | 16.5d | 25.5d | 26.4c | 26.6d | 5.2ab | 5.7b | 4.6a | 2 475d | 2 963d | 1 916b |
| 无杂草时间 Weed free period (week) | 果枝数 Fruit branches (No.·plant-1) | 铃数 Boll number (No.·plant-1) | 单铃重 Single boll mass (g) | 子棉产量 Seed cotton yield (kg·hm-2) | ||||||||
|---|---|---|---|---|---|---|---|---|---|---|---|---|
| 2010 | 2011 | 2012 | 2010 | 2011 | 2012 | 2010 | 2011 | 2012 | 2010 | 2011 | 2012 | |
| 0 | 13.4d | 15.4c | 16.5b | 25.5d | 26.4c | 26.6d | 5.2a | 5.7b | 4.6ab | 2 475d | 2 963e | 1 916d |
| 2 | 14.1cd | 15.9bc | 18.6a | 28.4cd | 28.2bc | 30.0cd | 5.1a | 6.0ab | 4.5b | 2 718c | 3 431de | 2 126cd |
| 4 | 15.2abcd | 16.7abc | 18.8a | 31.7bcd | 28.3bc | 31.8bcd | 5.3a | 6.0ab | 5.0ab | 2 818bc | 3 411de | 2 299bc |
| 6 | 15.7abc | 16.5abc | 19.2a | 32.9abcd | 31.9abc | 32.7bcd | 5.2a | 6.2ab | 4.5b | 2 834bc | 3 610cd | 2 442ab |
| 8 | 15.0bcd | 17.2ab | 19.4a | 34.5abcd | 31.3abc | 32.4bcd | 5.3a | 6.0ab | 4.8ab | 3 040ab | 3 668bcd | 2 469ab |
| 10 | 15.9abc | 17.5ab | 19.4a | 35.5abc | 32.2abc | 37.1ab | 5.2a | 6.2ab | 4.9ab | 3 022ab | 3 949abc | 2 658a |
| 12 | 16.4ab | 17.2ab | 19.8a | 38.0ab | 32.3abc | 36.3abc | 5.2a | 6.2ab | 5.0a | 3 075ab | 3 924abcd | 2 673a |
| 14 | 16.4ab | 17.9a | 19.7a | 37.4abc | 33.6ab | 38.4ab | 5.3a | 6.2a | 4.6ab | 3 161a | 4 186a | 2 706a |
| 20 | 17.3a | 17.9a | 19.8a | 42.1a | 36.6a | 39.8a | 5.6a | 6.4a | 4.8ab | 3 213a | 4 126ab | 2 656a |
表6 2010-2012年无杂草临界期对棉花产量及其主要构成因素的影响
Table 6 Effects of weed free critical period on cotton yield and its main components from 2010 to 2012
| 无杂草时间 Weed free period (week) | 果枝数 Fruit branches (No.·plant-1) | 铃数 Boll number (No.·plant-1) | 单铃重 Single boll mass (g) | 子棉产量 Seed cotton yield (kg·hm-2) | ||||||||
|---|---|---|---|---|---|---|---|---|---|---|---|---|
| 2010 | 2011 | 2012 | 2010 | 2011 | 2012 | 2010 | 2011 | 2012 | 2010 | 2011 | 2012 | |
| 0 | 13.4d | 15.4c | 16.5b | 25.5d | 26.4c | 26.6d | 5.2a | 5.7b | 4.6ab | 2 475d | 2 963e | 1 916d |
| 2 | 14.1cd | 15.9bc | 18.6a | 28.4cd | 28.2bc | 30.0cd | 5.1a | 6.0ab | 4.5b | 2 718c | 3 431de | 2 126cd |
| 4 | 15.2abcd | 16.7abc | 18.8a | 31.7bcd | 28.3bc | 31.8bcd | 5.3a | 6.0ab | 5.0ab | 2 818bc | 3 411de | 2 299bc |
| 6 | 15.7abc | 16.5abc | 19.2a | 32.9abcd | 31.9abc | 32.7bcd | 5.2a | 6.2ab | 4.5b | 2 834bc | 3 610cd | 2 442ab |
| 8 | 15.0bcd | 17.2ab | 19.4a | 34.5abcd | 31.3abc | 32.4bcd | 5.3a | 6.0ab | 4.8ab | 3 040ab | 3 668bcd | 2 469ab |
| 10 | 15.9abc | 17.5ab | 19.4a | 35.5abc | 32.2abc | 37.1ab | 5.2a | 6.2ab | 4.9ab | 3 022ab | 3 949abc | 2 658a |
| 12 | 16.4ab | 17.2ab | 19.8a | 38.0ab | 32.3abc | 36.3abc | 5.2a | 6.2ab | 5.0a | 3 075ab | 3 924abcd | 2 673a |
| 14 | 16.4ab | 17.9a | 19.7a | 37.4abc | 33.6ab | 38.4ab | 5.3a | 6.2a | 4.6ab | 3 161a | 4 186a | 2 706a |
| 20 | 17.3a | 17.9a | 19.8a | 42.1a | 36.6a | 39.8a | 5.6a | 6.4a | 4.8ab | 3 213a | 4 126ab | 2 656a |
图6 2010-2012年棉花相对产量与除草临界期(圆点)和无草临界期(方点)的关系(平均值±标准差)。分别用Gompertz和Logistic模型对无杂草期和杂草移除期子棉相对产量进行曲线拟合, 模型参数如图中公式所示, 其中y为棉花相对产量(%全季无杂草), x为杂草移除期或无杂草期的生长度日(GDD)。水平虚线表示用于确定杂草防治临界期(CPWC)的5%的可接受棉花产量损失水平, 而带数值的垂直虚线表示CPWC的开始和结束。
Fig. 6 Relationship between the relative yield of seed cotton and the critical period of weed removal (dot) and weed free (square dot) from 2010 to 2012 (mean ± SD). The Gompertz and Logistic models were used to fit the curve of the relative yield of seed cotton in the weed free period and the weed removal period, respectively. The model parameters were shown in the formula, where y was the relative yield of seed cotton (% seasonally weed free), and x was the growing degree days (GDD) of weed interference duration or weed free period. The horizontal dashed line represented the 5% acceptable cotton yield loss level used to determine the critical period for weed control (CPWC), while the vertical dashed line with values represented the beginning and end of the CPWC.
| [1] | Bendixen LE (1986). Weed hosts of Meloidogyne, the root-knot nematodes//Noda K, Mercado BL. Weeds and the Environment in the Tropics. Asian-Pacific Weed Science Society, Chiang Mai, Thailand. |
| [2] | Bensch CN, Horak MJ, Peterson D (2003). Interference of redroot pigweed (Amaranthus retroflexus), Palmer amaranth (A. palmeri), and common waterhemp (A. rudis) in soybean. Weed Science, 51, 37-43. |
| [3] |
Bridges DC, Chandler JM (1987). Influence of johnsongrass (Sorghum halepense) density and period of competition on cotton yield. Weed Science, 35, 63-67.
DOI URL |
| [4] |
Brown SM, Whitwell T, Street JE (1985). Common bermudagrass (Cynodon dactylon) competition in cotton (Gossypium hirsutum). Weed Science, 33, 503-506.
DOI URL |
| [5] |
Buchanan GA, Burns ER (1970). Influence of weed competition on cotton. Weed Science, 18, 149-154.
DOI URL |
| [6] |
Buchanan GA, Burns ER (1971a). Weed competition in cotton. I. Sicklepod and tall morningglory. Weed Science, 19, 576-579.
DOI URL |
| [7] |
Buchanan GA, Burns ER (1971b). Weed competition in cotton. II. cocklebur and redroot pigweed. Weed Science, 19, 580-582.
DOI URL |
| [8] | Cai XH, Lin P, Shi YH, Han R, Zhang YD, Wang JG (2021). Effects of population density of Bolboschoenus planiculmis on the morphological index, yield and quality of cotton. Plant Protection, 47(4), 90-95. |
| [蔡晓虎, 林萍, 史亚辉, 韩睿, 张玉栋, 王俊刚 (2021). 扁秆荆三棱种群密度对棉花形态指标、产量和品质的影响. 植物保护, 47(4), 90-95.] | |
| [9] |
Charles GW, Sindel BM, Cowie AL, Knox OGG (2019). Determining the critical period for weed control in high-yielding cotton using common sunflower as a mimic weed. Weed Technology, 33, 800-807.
DOI |
| [10] |
Charles GW, Sindel BM, Cowie AL, Knox OGG (2020). Determining the critical period for grass control in high-yielding cotton using Japanese millet as a mimic weed. Weed Technology, 34, 292-300.
DOI |
| [11] |
Chauhan BS, Johnson DE (2008). Germination ecology of goosegrass (Eleusine indica): an important grass weed of rainfed rice. Weed Science, 56, 699-706.
DOI URL |
| [12] | Chen JC, Wei SH, Huang HJ, Cui HL, Zhang CX, Li XJ (2021). Characterization of glyphosate and quizalofop-p-ethyl multiple resistance in Eleusine indica. Pesticide Biochemistry and Physiology, 176, 104862. DOI: 10.1016/j.pestbp.2021.104862. |
| [13] | de Freitas Souza M, Henckes JR, Zobiole LHS, de Oliveira RS, Braz GBP, Constantin J, Machado FG, Almeida do Amarante A, Ferreira CJB (2024). Competitive response of maize against glyphosate-resistant Digitaria insularis and Eleusine indica. Crop Protection, 183, 106760. DOI: 10.1016/j.cropro.2024.106760. |
| [14] |
Evetts LL, Burnside OC (1973). Early root and shoot development of nine plant species. Weed Science, 21, 289-291.
DOI URL |
| [15] | Fang F, Li M, Gao XX, Li J, Zhang CX (2016). Species composition and characterization of weed communities in cotton fields in Yellow River delta. Plant Protection, 42(5), 148-153. |
| [房锋, 李美, 高兴祥, 李健, 张朝贤 (2016). 黄河三角洲地区棉田杂草组成及其群落特征. 植物保护, 42(5), 148-153.] | |
| [16] | Fast BJ, Murdock SW, Farris RL, Willis JB, Murray DS (2009). Critical timing of palmer amaranth (Amaranthus palmeri) removal in second-generation glyphosate-resistant cotton. Journal of Cotton Science, 13, 32-36. |
| [17] |
Hall MR, Swanton CJ, Anderson GW (1992). The critical period of weed control in grain corn (Zea mays). Weed Science, 40, 441-447.
DOI URL |
| [18] | Heap IM (2024). International survey of herbicide resistant weeds. [2024-09-12]. http://www.weedscience.org/Home.aspx. |
| [19] | Holm LG, Plucknett DL, Pancho JV, Herberger JP (1977). The World’s Worst Weeds—Distribution and Biology. The University Press of Hawaii, Honolulu, USA. 52-53. |
| [20] | Ismail BS, Chuah TS, Salmijah S, Teng YT (2003). Effects of shade and watering frequency on growth and development of glyphosate-resistant and susceptible biotypes of goosegrass (Eleusine indica [L.] Gaertn.). Plant Protection Quarterly, 18, 30-34. |
| [21] |
Ismail BS, Chuah TS, Salmijah S, Teng YT, Schumacher RW (2002). Germination and seedling emergence of glyphosate-resistant and susceptible biotypes of goosegrass (Eleusine indica [L.] Gaertn.). Weed Biology and Management, 2, 177-185.
DOI URL |
| [22] |
Jalaludin A, Yu Q, Powles SB (2015). Multiple resistance across glufosinate, glyphosate, paraquat and ACCase-inhibiting herbicides in an Eleusine indica population. Weed Research, 55, 82-89.
DOI URL |
| [23] |
Keeley PE, Thullen RJ (1983). Influence of yellow nutsedge (Cyperus esculentus)—Free periods on yield of cotton (Gossypium hirsutum). Weed Science, 31, 803-807.
DOI URL |
| [24] |
Keeley PE, Thullen RJ (1989). Growth and interaction of johnsongrass (Sorghum halepense) with cotton (Gossypium hirsutum). Weed Science, 37, 339-344.
DOI URL |
| [25] |
Keeley PE, Thullen RJ (1991a). Growth and interaction of barnyardgrass (Echinochloa crus-galli) with cotton (Gossypium hirsutum). Weed Science, 39, 369-375.
DOI URL |
| [26] |
Keeley PE, Thullen RJ (1991b). Growth and interaction of bermudagrass (Cynodon dactylon) by cotton (Gossypium hirsutum). Weed Science, 39, 570-574.
DOI URL |
| [27] |
Kerr RA, Zhebentyayeva T, Saski C, McCarty LB (2019). Comprehensive phenotypic characterization and genetic distinction of distinct goosegrass (Eleusine indica L. Gaertn.) ecotypes. Journal of Plant Science and Phytopathology, 3, 95-100.
DOI URL |
| [28] |
Knezevic SZ, Evans SP, Blankenship EE, van Acker RC, Lindquist JL (2002). Critical period for weed control: the concept and data analysis. Weed Science, 50, 773-786.
DOI URL |
| [29] |
Knezevic SZ, Evans SP, Mainz M (2003). Row spacing influences the critical timing for weed removal in soybean (Glycine max). Weed Technology, 17, 666-673.
DOI URL |
| [30] |
Knezevic SZ, Weise SF, Swanton CJ (1994). Interference of redroot pigweed (Amaranthus retroflexus) in corn (Zea mays). Weed Science, 42, 568-573.
DOI URL |
| [31] |
Korres NE, Norsworthy JK (2015). Influence of a rye cover crop on the critical period for weed control in cotton. Weed Science, 63, 346-352.
DOI URL |
| [32] |
Leach GE, Devine MD, Kirkwood RC, Marshall G (1995). Target enzyme-based resistance to acetyl-coenzyme a carboxylase inhibitors in Eleusine indica. Pesticide Biochemistry and Physiology, 51, 129-136.
DOI URL |
| [33] |
Lee LJ, Ngim J (2000). A first report of glyphosate-resistant goosegrass (Eleusine indica (L) Gaertn) in Malaysia. Pest Management Science, 56, 336-339.
DOI URL |
| [34] | Li JB, Zhang ZQ, Lei Q, Lu BG, Jin CZ, Liu X, Wang YH, Bai LY (2022). Multiple herbicide resistance in Eleusine indica from sugarcane fields in China. Pesticide Biochemistry and Physiology, 182, 105040. DOI: 10.1016/j.pestbp.2022.105040. |
| [35] | Li SY, Zhu JB, Lu XY, Ye SH, Ma Y, Ma XY, Cheng FR (2017). The influence of redroot pigweed (Amaranthus retroflexus) density on cotton (Gossypium hirsutum). Scientia Agricultura Sinica, 50, 286-298. |
|
[李淑英, 朱加保, 路献勇, 叶泗洪, 马艳, 马小艳, 程福如 (2017). 反枝苋对棉花的密度竞争作用. 中国农业科学, 50, 286-298.]
DOI |
|
| [36] | Li SY, Zhu JB, Ma Y, Ma XY, Cheng FR, Lu XY (2015). Emergence pattern of weed seedling community in direct-seeding cotton fields in the southwest of Anhui Province. Journal of Plant Protection, 42, 460-466. |
| [李淑英, 朱加保, 马艳, 马小艳, 程福如, 路献勇 (2015). 皖西南直播棉田杂草群落出苗模式. 植物保护学报, 42, 460-466.] | |
| [37] |
Little NG, DiTommaso A, Westbrook AS, Ketterings QM, Mohler CL (2021). Effects of fertility amendments on weed growth and weed-crop competition: a review. Weed Science, 69, 132-146.
DOI |
| [38] | Liu SL, Ma ZY, Zhang Y, Chen ZW, Du X, Mu YH (2022). Astragalus sinicus incorporated as green manure for weed control in corn. Frontiers in Plant Science, 13, 829421. DOI: 10.3389/fpls.2022.829421. |
| [39] | Ma XY, Ma Y, Peng J, Xi JP, Ma YJ, Li XF (2010). Current situation and developing tendency of the weed researches in cotton field of China. Cotton Science, 22, 372-380. |
|
[马小艳, 马艳, 彭军, 奚建平, 马亚杰, 李希风 (2010). 我国棉田杂草研究现状与发展趋势. 棉花学报, 22, 372-380.]
DOI |
|
| [40] | Ma XY, Ma Y, Xi JP, Jiang WL, Ma YJ, Li XF (2012). Mixed weeds and competition with directly seeded cotton, north Henan Province, China. Cotton Science, 24(1), 91-96. |
|
[马小艳, 马艳, 奚建平, 姜伟丽, 马亚杰, 李希风 (2012). 豫北露地直播棉田杂草的发生及其与棉花的竞争作用. 棉花学报, 24(1), 91-96.]
DOI |
|
| [41] |
Ma XY, Ma YJ, Wu HW, Ren XL, Jiang WL, Ma Y (2019). Emergence timing affects growth and reproduction of goosegrass (Eleusine indica). Weed Technology, 33, 833-839.
DOI URL |
| [42] |
Ma XY, Wu HW, Jiang WL, Ma YJ, Ma Y (2015a). Goosegrass (Eleusine indica) density effects on cotton (Gossypium hirsutum). Journal of Integrative Agriculture, 14, 1778-1785.
DOI URL |
| [43] | Ma XY, Wu HW, Jiang WL, Ma YJ, Ma Y (2015b). Interference between redroot pigweed (Amaranthus retroflexus L.) and cotton (Gossypium hirsutum L.): growth analysis. PLoS ONE, 10, e0130475. DOI: 10.1371/journal.pone.0130475. |
| [44] |
Ma XY, Yang JY, Wu HW, Jiang WL, Ma YJ, Ma Y (2016). Growth analysis of cotton in competition with velvetleaf (Abutilon theophrasti). Weed Technology, 30, 123-136.
DOI URL |
| [45] |
McCullough PE, Yu JL, Raymer PL, Chen ZB (2016). First report of ACCase-resistant goosegrass (Eleusine indica) in the United States. Weed Science, 64, 399-408.
DOI URL |
| [46] |
McElroy JS, Head WB, Wehtje GR, Spak D (2017). Identification of goosegrass (Eleusine indica) biotypes resistant to preemergence-applied oxadiazon. Weed Technology, 31, 675-681.
DOI URL |
| [47] |
Miyaura R, Ito M (1995). Life cycle of Eleusine indica (L.) Gaertn and its implications for upland farming in tropical and temperate Asia. Journal of Weed Science and Technology, 39, 267-274.
DOI URL |
| [48] |
Molin WT, Boykin D, Hugie JA, Ratnayaka HH, Sterling TM (2006). Spurred anoda (Anoda cristata) interference in wide row and ultra narrow row cotton. Weed Science, 54, 651-657.
DOI URL |
| [49] |
Mudge LC, Gossett BJ, Murphy TR (1984). Resistance of goosegrass (Eleusine indica) to dinitroaniline herbicides. Weed Science, 32, 591-594.
DOI URL |
| [50] |
Oliver LR (1988). Principles of weed threshold research. Weed Technology, 2, 398-403.
DOI URL |
| [51] |
Papamichail D, Eleftherohorinos I, Froud-Williams R, Gravanis F (2002). Critical periods of weed competition in cotton in Greece. Phytoparasitica, 30, 105-111.
DOI URL |
| [52] | Schumacher FX (1939). A new growth curve and its application to timber-yield studies. Journal of Forestry, 37, 819-820. |
| [53] |
Seng CT, van Lun L, San CT, Sahid IB (2010). Initial report of glufosinate and paraquat multiple resistance that evolved in a biotype of goosegrass (Eleusine indica) in Malaysia. Weed Biology and Management, 10, 229-233.
DOI URL |
| [54] |
Sharpe SM, Boyd NS (2019). Germination ecology for Florida populations of carpetweed (Mollugo verticillata), Carolina geranium (Geranium carolinianum), eclipta (Eclipta prostrata), and goosegrass (Eleusine indica). Weed Science, 67, 433-440.
DOI |
| [55] |
Sionit N, Patterson DT, Coffin RD, Mortenson DA (1987). Water relations and growth of the weed, goosegrass (Eleusine indica), under drought stress. Field Crops Research, 17, 163-173.
DOI URL |
| [56] | Song WW, Qi NW, Liang C, Duan FM, Zhao HH (2019). First report of the southern root-knot nematode Meloidogyne incognita on goosegrass (Eleusine indica) in China. Plant Disease, 103, 1045. DOI: 10.1094/PDIS-05-21-1005-PDN. |
| [57] |
Stagnari F, Pisante M (2011). The critical period for weed competition in French bean (Phaseolus vulgaris L.) in Mediterranean areas. Crop Protection, 30, 179-184.
DOI URL |
| [58] | Sun FL, Ma J, Shi WJ, Yang YL (2023). Genome-wide association analysis revealed genetic variation and candidate genes associated with the yield traits of upland cotton under drought conditions. Frontiers in Plant Science, 14, 1135302. DOI: 10.3389/fpls.2023.1135302. |
| [59] | Tachie-Menson JW, Buah JN, Adu MO, Afutu E (2021). Morphological diversity in purple nutsedge from four agro-ecological zones in Ghana. Heliyon, 7, e07661. DOI: 10.1016/j.heliyon.2021.e07661. |
| [60] |
Tingle CH, Steele GL, Chandler JM (2003). Competition and control of smellmelon (Cucumis melo var. dudaim Naud.) in cotton. Weed Science, 51, 586-591.
DOI URL |
| [61] |
Tursun N, Datta A, Budak S, Kantarci Z, Knezevic SZ (2016). Row spacing impacts the critical period for weed control in cotton (Gossypium hirsutum). Phytoparasitica, 44, 139-149.
DOI URL |
| [62] |
Vencill WK, Giraudo LJ, Langdale GW (1993). Soil moisture relations and critical period of Cynodon dactylon (L.) Pers. (coastal bermudagrass) competition in conservation-tillage cotton (Gossypium hirsutum L.). Weed Research, 33, 89-96.
DOI URL |
| [63] |
Viator RP, Nuti RC, Edmisten KL, Wells R (2005). Predicting cotton boll maturation period using degree days and other climatic factors. Agronomy Journal, 97, 494-499.
DOI URL |
| [64] |
Wallinga J, van Oijen M (1997). Level of threshold weed density does not affect the long-term frequency of weed control. Crop Protection, 16, 273-278.
DOI URL |
| [65] |
Wandscheer ACD, Rizzardi MA, Reichert M (2013). Competitive ability of corn in coexistence with goosegrass. Planta Daninha, 31, 281-289.
DOI URL |
| [66] |
Webster TM, Grey TL, Flanders JT, Culpepper AS (2009). Cotton planting date affects the critical period of benghal dayflower (Commelina benghalensis) control. Weed Science, 57, 81-86.
DOI URL |
| [67] |
Westoby M (1998). A leaf-height-seed (LHS) plant ecology strategy scheme. Plant and Soil, 199, 213-227.
DOI |
| [68] | Wood ML, Murray DS, Banks JC, Verhalen LM, Westerman RB, Anderson KB (2002). Johnsongrass (Sorghum halepense) density effects on cotton (Gossypium hirsutum) harvest and economic value. Weed Technology, 16, 495-501. |
| [69] | Wu JX, Jenkins JN, McCarty JC, Zhu J (2004). Genetic association of yield with its component traits in a recombinant inbred line population of cotton. Euphytica, 140, 171-179. |
| [70] | Yu SX, Zhang L, Feng WJ (2015). Easy and enjoyable cotton cultivation: developments in China’s cotton production. Cotton Science, 27, 283-290. |
|
[喻树迅, 张雷, 冯文娟 (2015). 快乐植棉——中国棉花生产的发展方向. 棉花学报, 27, 283-290.]
DOI |
|
| [71] | Zhang CX, Hu XE, Qian YX (1997). A practicable model for predicting crop yield loss duo to weed competition. Plant Protection, 23(2), 6-10. |
| [张朝贤, 胡祥恩, 钱益新 (1997). 杂草密度与作物产量损失的预测模型. 植物保护, 23(2), 6-10.] | |
| [72] | Zhang QC, Peng J, Wang JG (2022). Protective enzyme activity regulation in cotton (Gossypium hirsutum L.) in response to Scirpus planiculmis stress. Frontiers in Plant Science, 13, 1068419. DOI: 10.31111/vegrus/2014.25.71. |
| [73] |
Zhang ZP (2003). Development of chemical weed control and integrated weed management in China. Weed Biology and Management, 3, 197-203.
DOI URL |
| [74] | Zhu JB, Li SY, Ma Y, Cheng FR, Zheng SF, Zhang B (2011). Analysis of weed infestation and its harmfulness to cotton in two cultivation patterns of cotton-fields along Changjiang River, Anhui Province. Journal of Anhui Agricultural University, 38, 617-622. |
| [朱加保, 李淑英, 马艳, 程福如, 郑曙峰, 张兵 (2011). 安徽省沿江棉区两种栽培方式下棉田杂草发生与危害研究. 安徽农业大学学报, 38, 617-622.] | |
| [75] | Zhu WD, Zhang CX, Wei SH, Cui HL, Zhang HJ, Zhang J, Li L (2009). Influence of Avena fatua on growth of oilseed rape and its economic threshold. Chinese Journal of Oil Crop Sciences, 31, 233-238. |
| [朱文达, 张朝贤, 魏守辉, 崔海兰, 张宏军, 张佳, 李林 (2009). 野燕麦对油菜生长的影响及其经济阈值. 中国油料作物学报, 31, 233-238.] |
| [1] | 冯旭飞, 雷长英, 张玉洁, 向导, 杨明凤, 张旺锋, 张亚黎. 棉花花铃期叶片氮分配对光合氮利用效率的影响[J]. 植物生态学报, 2023, 47(11): 1600-1610. |
| [2] | 雒珺瑜, 刘传亮, 张帅, 王春义, 吕丽敏, 李春花, 李付广, 崔金杰. 转RRM2基因棉生长势和产量及对棉田节肢动物群落的影响[J]. 植物生态学报, 2014, 38(7): 785-794. |
| [3] | 张超, 占东霞, 张鹏鹏, 张亚黎, 罗宏海, 张旺锋. 棉花苞叶光呼吸和PSII热耗散对土壤水分的响应[J]. 植物生态学报, 2014, 38(4): 387-395. |
| [4] | 武辉, 戴海芳, 张巨松, 焦晓玲, 刘翠, 石俊毅, 范志超, 阿丽艳·肉孜. 棉花幼苗叶片光合特性对低温胁迫及恢复处理的响应[J]. 植物生态学报, 2014, 38(10): 1124-1134. |
| [5] | 陶先萍, 罗宏海, 杨海, 丁全盛, 张亚黎, 张旺锋. 根域限制下水氮供应对膜下滴灌棉花根系及叶片衰老特性的影响[J]. 植物生态学报, 2013, 37(3): 256-267. |
| [6] | 李维, 张亚黎, 胡渊渊, 杨美森, 吴洁, 张旺锋. 田间条件下棉花幼叶光合特性及光保护机制[J]. 植物生态学报, 2012, 36(7): 662-670. |
| [7] | 刘瑞显, 陈兵林, 王友华, 郭文琦, 周治国. 氮素对花铃期干旱再复水后棉花根系生长的影响[J]. 植物生态学报, 2009, 33(2): 405-413. |
| [8] | 张亚黎, 罗宏海, 张旺锋, 樊大勇, 何在菊, 白慧东. 土壤水分亏缺对陆地棉花铃期叶片光化学活性和激发能耗散的影响[J]. 植物生态学报, 2008, 32(3): 681-689. |
| [9] | 吴华兵, 朱艳, 田永超, 姚霞, 刘晓军, 周治国, 曹卫星. 棉花冠层高光谱参数与叶片氮含量的定量关系[J]. 植物生态学报, 2007, 31(5): 903-909. |
| [10] | 张立桢, 曹卫星, 张思平, 周治国. 棉花根系生长和空间分布特征[J]. 植物生态学报, 2005, 29(2): 266-273. |
| [11] | 杨兴洪, 邹琦, 赵世杰. 遮荫和全光下生长的棉花光合作用和叶绿素荧光特征[J]. 植物生态学报, 2005, 29(1): 8-15. |
| [12] | 张旺锋, 王振林, 余松烈, 李少昆, 房建, 童文崧. 种植密度对新疆高产棉花群体光合作用、冠层结构及产量形成的影响[J]. 植物生态学报, 2004, 28(2): 164-171. |
| 阅读次数 | ||||||
|
全文 |
|
|||||
|
摘要 |
|
|||||
Copyright © 2026 版权所有 《植物生态学报》编辑部
地址: 北京香山南辛村20号, 邮编: 100093
Tel.: 010-62836134, 62836138; Fax: 010-82599431; E-mail: apes@ibcas.ac.cn, cjpe@ibcas.ac.cn
备案号: 京ICP备16067583号-19