植物生态学报 ›› 2025, Vol. 49 ›› Issue (9): 1543-15555.DOI: 10.17521/cjpe.2025.0004 cstr: 32100.14.cjpe.2025.0004
沈会涛1,2,*(
), 俞筱押3, 秦彦杰1,2, 武爱彬1,2
收稿日期:2025-01-02
接受日期:2025-05-01
出版日期:2025-09-20
发布日期:2025-10-25
作者简介:沈会涛: E-mail: shenhuitao80@126.com
基金资助:
SHEN Hui-Tao1,2,*(
), YU Xiao-Ya3, QIN Yan-Jie1,2, WU Ai-Bin1,2
Received:2025-01-02
Accepted:2025-05-01
Online:2025-09-20
Published:2025-10-25
Supported by:摘要: 生态化学计量学是研究生态系统物质平衡与过程调控的关键理论基础。探究林龄对碳(C)、氮(N)、磷(P)化学计量特征和生态系统碳储量分配格局的影响, 能够为解析人工林生态系统生物地球化学循环机制及其生态功能提供科学依据。该研究以太行山东麓不同林龄(4、8、12和16年生)核桃(Juglans regia)林为研究对象, 分析其乔木层与土壤层C、N、P化学计量及碳储量变化特征。结果表明: 1)乔木层各器官(根、干、枝、叶) C平均含量分别为437.17、449.87、448.16和441.39 g·kg-1; 随林龄增长而增加, 但林龄间差异并不显著。各器官N、P含量范围分别为4.15-26.68 g·kg-1和0.59-1.95 g·kg-1, 随林龄增长呈显著降低趋势; C:N和C:P显著升高, 而N:P无显著变化。2)受人为经营措施影响, 土壤层C、N、P含量随林龄增长呈先降低后升高的趋势, 且林龄间差异显著; C:N、C:P与N:P变化趋势与养分含量相一致。3)土壤C和N含量呈极显著正相关关系; 叶片C与N含量呈显著负相关关系, 叶片N与P含量呈显著正相关关系; 土壤P与叶片N、枝条P、树干P和N含量之间均呈显著正相关关系。4) 4、8、12和16年生核桃林生态系统总碳储量分别为167.59、123.69、136.03和202.37 Mg·hm-2; 土壤层作为其生态系统主要碳库, 贡献率达88.2%-99.7%。该研究对系统理解山区经济林生态系统的养分变化及其碳汇功能提供了重要的参考依据。
沈会涛, 俞筱押, 秦彦杰, 武爱彬. 太行山东麓核桃林生态化学计量及碳储量随林龄变化特征. 植物生态学报, 2025, 49(9): 1543-15555. DOI: 10.17521/cjpe.2025.0004
SHEN Hui-Tao, YU Xiao-Ya, QIN Yan-Jie, WU Ai-Bin. Ecosystem ecological stoichiometry and carbon storage along a chronosequence of Juglans regia plantations on the Eastern of Taihang Mountain, China. Chinese Journal of Plant Ecology, 2025, 49(9): 1543-15555. DOI: 10.17521/cjpe.2025.0004
| 林龄 Age (a) | 土壤密度 Soil density (g·cm-3) | 碳含量 Carbon content (g·kg-1) | 氮含量 Nitrogen content (g·kg-1) | 磷含量 Phosphorous content (g·kg-1) | 海拔 Altitude (m) | 基径 Basal diameter (cm) | 株高 Height (m) | 密度 Density (trees·hm-2) | 生物量 Biomass (kg·m-2) | 管理措施 Management measures |
|---|---|---|---|---|---|---|---|---|---|---|
| 4 | 1.31 ± 0.02 | 14.57 ± 0.70 | 0.85 ± 0.01 | 0.53 ± 0.01 | 323 | 3.03 ± 0.21 | 1.47 ± 0.21 | 1 133 ± 38 | 0.10 ± 0.02 | 施肥、间作、翻耕 Fertilized, intercropped and plowed |
| 8 | 1.37 ± 0.05 | 9.04 ± 0.46 | 0.56 ± 0.05 | 0.48 ± 0.01 | 311 | 12.87 ± 0.78 | 5.27 ± 0.15 | 966 ± 37 | 2.01 ± 0.29 | 施肥、剪枝 Fertilized and pruned |
| 12 | 1.43 ± 0.02 | 9.13 ± 0.63 | 0.63 ± 0.02 | 0.45 ± 0.02 | 306 | 17.17 ± 1.10 | 7.53 ± 0.17 | 900 ± 25 | 3.59 ± 0.50 | 施肥、剪枝 Fertilized and pruned |
| 16 | 1.52 ± 0.02 | 13.35 ± 0.43 | 0.76 ± 0.06 | 0.47 ± 0.01 | 290 | 19.30 ± 1.15 | 8.03 ± 0.65 | 842 ± 38 | 4.37 ± 0.47 | 施肥、剪枝 Fertilized and pruned |
表1 核桃林不同林龄样地土壤理化性质及群落特征(平均值±标准误)
Table 1 Soil properties and community structures by stand age of Juglans regia plantation plots (mean ± SE)
| 林龄 Age (a) | 土壤密度 Soil density (g·cm-3) | 碳含量 Carbon content (g·kg-1) | 氮含量 Nitrogen content (g·kg-1) | 磷含量 Phosphorous content (g·kg-1) | 海拔 Altitude (m) | 基径 Basal diameter (cm) | 株高 Height (m) | 密度 Density (trees·hm-2) | 生物量 Biomass (kg·m-2) | 管理措施 Management measures |
|---|---|---|---|---|---|---|---|---|---|---|
| 4 | 1.31 ± 0.02 | 14.57 ± 0.70 | 0.85 ± 0.01 | 0.53 ± 0.01 | 323 | 3.03 ± 0.21 | 1.47 ± 0.21 | 1 133 ± 38 | 0.10 ± 0.02 | 施肥、间作、翻耕 Fertilized, intercropped and plowed |
| 8 | 1.37 ± 0.05 | 9.04 ± 0.46 | 0.56 ± 0.05 | 0.48 ± 0.01 | 311 | 12.87 ± 0.78 | 5.27 ± 0.15 | 966 ± 37 | 2.01 ± 0.29 | 施肥、剪枝 Fertilized and pruned |
| 12 | 1.43 ± 0.02 | 9.13 ± 0.63 | 0.63 ± 0.02 | 0.45 ± 0.02 | 306 | 17.17 ± 1.10 | 7.53 ± 0.17 | 900 ± 25 | 3.59 ± 0.50 | 施肥、剪枝 Fertilized and pruned |
| 16 | 1.52 ± 0.02 | 13.35 ± 0.43 | 0.76 ± 0.06 | 0.47 ± 0.01 | 290 | 19.30 ± 1.15 | 8.03 ± 0.65 | 842 ± 38 | 4.37 ± 0.47 | 施肥、剪枝 Fertilized and pruned |
| 树木器官 Tree component | 拟合方程 Fitting equation | 决定系数 R2 | p |
|---|---|---|---|
| 树根 Root | W = 0.013D2.468 | 0.955 | <0.01 |
| 树干 Stem | W = 0.037D1.951 | 0.986 | <0.01 |
| 枝条 Branch | W = 0.013D2.438 | 0.967 | <0.01 |
| 叶片 Leaf | W = 0.029D1.561 | 0.905 | <0.01 |
表2 核桃单株生物量方程
Table 2 Biomass estimation equations for Juglans regia
| 树木器官 Tree component | 拟合方程 Fitting equation | 决定系数 R2 | p |
|---|---|---|---|
| 树根 Root | W = 0.013D2.468 | 0.955 | <0.01 |
| 树干 Stem | W = 0.037D1.951 | 0.986 | <0.01 |
| 枝条 Branch | W = 0.013D2.438 | 0.967 | <0.01 |
| 叶片 Leaf | W = 0.029D1.561 | 0.905 | <0.01 |
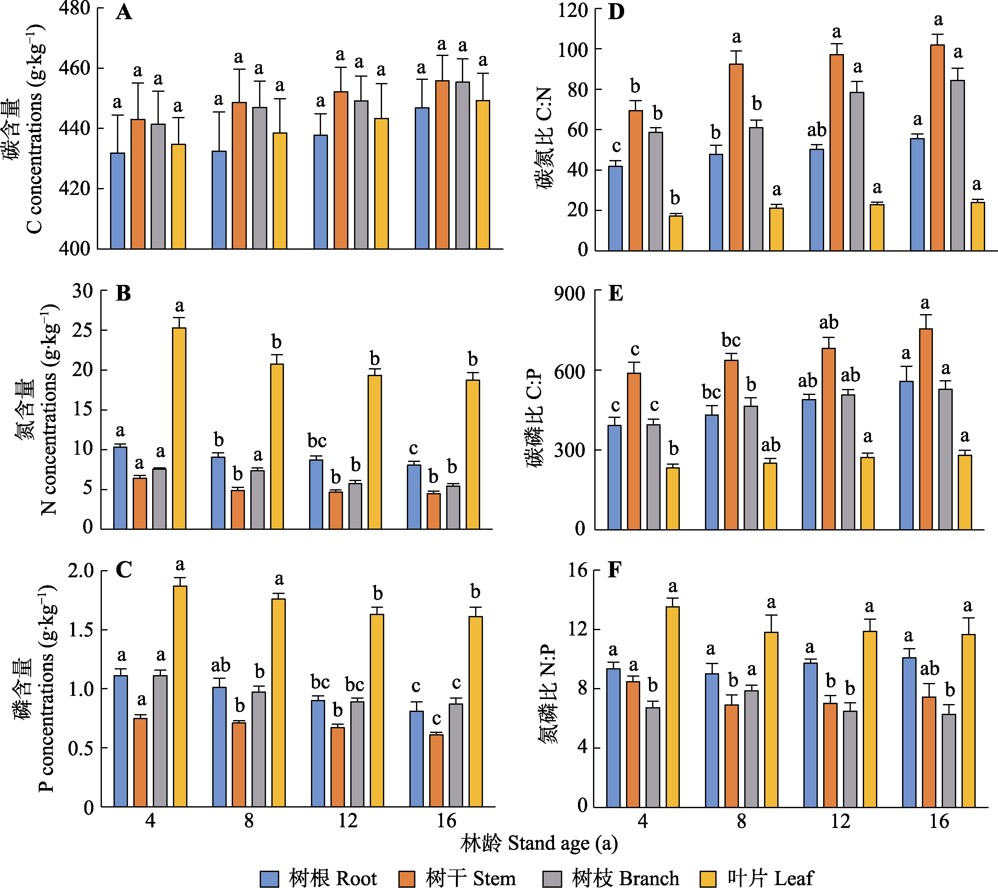
图1 不同林龄核桃林乔木层碳、氮、磷含量及化学计量特征(平均值±标准误)。不同小写字母表示林龄间差异显著(p < 0.05)。
Fig. 1 Tree carbon (C), nitrogen (N), phosphorus (P) contents and stoichiometric characteristics of Juglans regia plantations at different stand ages (mean ± SE). Different lowercase letters indicate significant differences among stand ages (p < 0.05).
| 林龄 Age (a) | 土壤层 Soil depth (cm) | C (g·kg-1) | N (g·kg-1) | P (g·kg-1) | C:N | C:P | N:P |
|---|---|---|---|---|---|---|---|
| 4 | 0-20 | 21.76 ± 1.80a | 1.10 ± 0.11a | 0.66 ± 0.04a | 19.9 ± 3.3a | 33.4 ± 4.6a | 1.68 ± 0.15b |
| 20-40 | 17.55 ± 1.27a | 0.92 ± 0.06a | 0.57 ± 0.03a | 19.2 ± 2.2ab | 31.0 ± 4.0a | 1.61 ± 0.09a | |
| 40-60 | 11.63 ± 0.83a | 0.76 ± 0.02a | 0.47 ± 0.02a | 15.3 ± 1.4a | 24.7 ± 2.5a | 1.61 ± 0.06a | |
| 60-100 | 7.33 ± 0.74ab | 0.63 ± 0.02a | 0.42 ± 0.01a | 11.7 ± 0.9b | 17.4 ± 2.3ab | 1.48 ± 0.08a | |
| 8 | 0-20 | 12.48 ± 1.01b | 0.69 ± 0.10b | 0.55 ± 0.04b | 18.1 ± 2.6 a | 22.7 ± 3.1b | 1.24 ± 0.02c |
| 20-40 | 9.36 ± 0.83c | 0.60 ± 0.08c | 0.54 ± 0.02a | 15.7 ± 1.6bc | 17.5 ± 2.2b | 1.12 ± 0.18b | |
| 40-60 | 7.61 ± 0.59c | 0.54 ± 0.03c | 0.46 ± 0.01ab | 14.1 ± 1.5a | 16.5 ± 1.7b | 1.17 ± 0.04c | |
| 60-100 | 6.72 ± 0.51b | 0.41 ± 0.01c | 0.39 ± 0.01b | 16.4 ± 1.8a | 17.5 ± 1.4ab | 1.07 ± 0.04b | |
| 12 | 0-20 | 13.04 ± 1.07b | 0.84 ± 0.08b | 0.53 ± 0.03b | 15.6 ± 2.1a | 24.9 ± 3.4b | 1.59 ± 0.02b |
| 20-40 | 9.39 ± 0.98c | 0.68 ± 0.06bc | 0.47 ± 0.02b | 13.9 ± 2.0c | 20.3 ± 3.1b | 1.45 ± 0.10a | |
| 40-60 | 7.65 ± 0.59c | 0.59 ± 0.05bc | 0.44 ± 0.02bc | 13.0 ± 1.7a | 17.6 ± 1.9b | 1.35 ± 0.08b | |
| 60-100 | 6.45 ± 0.52b | 0.43 ± 0.03c | 0.39 ± 0.02b | 15.2 ± 0.6a | 16.7 ± 2.0b | 1.10 ± 0.13b | |
| 16 | 0-20 | 19.93 ± 1.19a | 1.08 ± 0.09a | 0.51 ± 0.03b | 18.5 ± 1.8a | 39.3 ± 4.8a | 2.12 ± 0.18a |
| 20-40 | 15.09 ± 0.87b | 0.75 ± 0.05b | 0.49 ± 0.02b | 20.2 ± 1.9a | 31.2 ± 2.8a | 1.56 ± 0.20a | |
| 40-60 | 10.24 ± 0.84b | 0.67 ± 0.05b | 0.42 ± 0.01c | 15.3 ± 0.9a | 24.3 ± 2.4a | 1.59 ± 0.12a | |
| 60-100 | 8.15 ± 0.72a | 0.54 ± 0.04b | 0.39 ± 0.01b | 15.0 ± 0.8a | 21.2 ± 2.2a | 1.41 ± 0.14a |
表3 不同林龄核桃林土壤层碳(C)、氮(N)、磷(P)含量及其化学计量特征(平均值±标准误)
Table 3 Soil carbon (C), nitrogen (N), phosphorus (P) contents and stoichiometric characteristics of Juglans regia plantations at different stand ages (mean ± SE)
| 林龄 Age (a) | 土壤层 Soil depth (cm) | C (g·kg-1) | N (g·kg-1) | P (g·kg-1) | C:N | C:P | N:P |
|---|---|---|---|---|---|---|---|
| 4 | 0-20 | 21.76 ± 1.80a | 1.10 ± 0.11a | 0.66 ± 0.04a | 19.9 ± 3.3a | 33.4 ± 4.6a | 1.68 ± 0.15b |
| 20-40 | 17.55 ± 1.27a | 0.92 ± 0.06a | 0.57 ± 0.03a | 19.2 ± 2.2ab | 31.0 ± 4.0a | 1.61 ± 0.09a | |
| 40-60 | 11.63 ± 0.83a | 0.76 ± 0.02a | 0.47 ± 0.02a | 15.3 ± 1.4a | 24.7 ± 2.5a | 1.61 ± 0.06a | |
| 60-100 | 7.33 ± 0.74ab | 0.63 ± 0.02a | 0.42 ± 0.01a | 11.7 ± 0.9b | 17.4 ± 2.3ab | 1.48 ± 0.08a | |
| 8 | 0-20 | 12.48 ± 1.01b | 0.69 ± 0.10b | 0.55 ± 0.04b | 18.1 ± 2.6 a | 22.7 ± 3.1b | 1.24 ± 0.02c |
| 20-40 | 9.36 ± 0.83c | 0.60 ± 0.08c | 0.54 ± 0.02a | 15.7 ± 1.6bc | 17.5 ± 2.2b | 1.12 ± 0.18b | |
| 40-60 | 7.61 ± 0.59c | 0.54 ± 0.03c | 0.46 ± 0.01ab | 14.1 ± 1.5a | 16.5 ± 1.7b | 1.17 ± 0.04c | |
| 60-100 | 6.72 ± 0.51b | 0.41 ± 0.01c | 0.39 ± 0.01b | 16.4 ± 1.8a | 17.5 ± 1.4ab | 1.07 ± 0.04b | |
| 12 | 0-20 | 13.04 ± 1.07b | 0.84 ± 0.08b | 0.53 ± 0.03b | 15.6 ± 2.1a | 24.9 ± 3.4b | 1.59 ± 0.02b |
| 20-40 | 9.39 ± 0.98c | 0.68 ± 0.06bc | 0.47 ± 0.02b | 13.9 ± 2.0c | 20.3 ± 3.1b | 1.45 ± 0.10a | |
| 40-60 | 7.65 ± 0.59c | 0.59 ± 0.05bc | 0.44 ± 0.02bc | 13.0 ± 1.7a | 17.6 ± 1.9b | 1.35 ± 0.08b | |
| 60-100 | 6.45 ± 0.52b | 0.43 ± 0.03c | 0.39 ± 0.02b | 15.2 ± 0.6a | 16.7 ± 2.0b | 1.10 ± 0.13b | |
| 16 | 0-20 | 19.93 ± 1.19a | 1.08 ± 0.09a | 0.51 ± 0.03b | 18.5 ± 1.8a | 39.3 ± 4.8a | 2.12 ± 0.18a |
| 20-40 | 15.09 ± 0.87b | 0.75 ± 0.05b | 0.49 ± 0.02b | 20.2 ± 1.9a | 31.2 ± 2.8a | 1.56 ± 0.20a | |
| 40-60 | 10.24 ± 0.84b | 0.67 ± 0.05b | 0.42 ± 0.01c | 15.3 ± 0.9a | 24.3 ± 2.4a | 1.59 ± 0.12a | |
| 60-100 | 8.15 ± 0.72a | 0.54 ± 0.04b | 0.39 ± 0.01b | 15.0 ± 0.8a | 21.2 ± 2.2a | 1.41 ± 0.14a |
图2 核桃林乔木层和土壤层碳、氮、磷含量Pearson相关性分析。***、**和*分别表示p < 0.001、 p < 0.01和p < 0.05。
Fig. 2 Pearson’s correlation coefficients between tree and soil carbon (C), nitrogen (N), phosphorus (P) contents and stoichiometric ratio of Juglans regia plantations. ***, ** and * represent p < 0.001, p < 0.01 and p < 0.05, respectively.
| 林龄 Age (a) | 乔木层 Tree layer | 土壤层 Soil layer (cm) | 生态系统 Ecosystem | ||||||
|---|---|---|---|---|---|---|---|---|---|
| 树根 Root | 树干 Stem | 树枝 Branch | 叶片 Leaf | 0-20 | 20-40 | 40-60 | 60-100 | ||
| 4 | 0.09 ± 0.02d | 0.16 ± 0.03d | 0.10 ± 0.02d | 0.08 ± 0.01b | 53.58 ± 5.52a | 45.44 ± 4.33a | 29.57 ± 2.24a | 38.55 ± 3.87b | 167.59 ± 10.76b |
| 8 | 2.98 ± 0.43c | 2.35 ± 0.35c | 2.86 ± 0.45c | 0.66 ± 0.09b | 32.40 ± 3.48b | 25.53 ± 2.89b | 20.93 ± 2.82b | 35.97 ± 4.86b | 123.69 ± 9.08c |
| 12 | 5.74 ± 0.96b | 3.87 ± 0.51b | 5.39 ± 0.70b | 0.98 ± 0.10a | 35.29 ± 2.95b | 26.78 ± 2.46b | 21.57 ± 1.86b | 36.40 ± 2.36b | 136.02 ± 9.21c |
| 16 | 7.27 ± 0.71a | 4.57 ± 0.36a | 6.80 ± 0.86a | 1.11 ± 0.09a | 57.70 ± 4.40a | 45.45 ± 2.19a | 30.34 ± 2.80a | 49.12 ± 5.30a | 202.37 ± 9.28a |
表4 不同林龄核桃林生态系统各组分碳储量特征(平均值±标准误, Mg·hm-2)
Table 4 Carbon (C) storages in various ecosystem components of Juglans regia plantations at different stand ages (mean ± SE, Mg·hm-2)
| 林龄 Age (a) | 乔木层 Tree layer | 土壤层 Soil layer (cm) | 生态系统 Ecosystem | ||||||
|---|---|---|---|---|---|---|---|---|---|
| 树根 Root | 树干 Stem | 树枝 Branch | 叶片 Leaf | 0-20 | 20-40 | 40-60 | 60-100 | ||
| 4 | 0.09 ± 0.02d | 0.16 ± 0.03d | 0.10 ± 0.02d | 0.08 ± 0.01b | 53.58 ± 5.52a | 45.44 ± 4.33a | 29.57 ± 2.24a | 38.55 ± 3.87b | 167.59 ± 10.76b |
| 8 | 2.98 ± 0.43c | 2.35 ± 0.35c | 2.86 ± 0.45c | 0.66 ± 0.09b | 32.40 ± 3.48b | 25.53 ± 2.89b | 20.93 ± 2.82b | 35.97 ± 4.86b | 123.69 ± 9.08c |
| 12 | 5.74 ± 0.96b | 3.87 ± 0.51b | 5.39 ± 0.70b | 0.98 ± 0.10a | 35.29 ± 2.95b | 26.78 ± 2.46b | 21.57 ± 1.86b | 36.40 ± 2.36b | 136.02 ± 9.21c |
| 16 | 7.27 ± 0.71a | 4.57 ± 0.36a | 6.80 ± 0.86a | 1.11 ± 0.09a | 57.70 ± 4.40a | 45.45 ± 2.19a | 30.34 ± 2.80a | 49.12 ± 5.30a | 202.37 ± 9.28a |
| [1] |
Ågren GI (2008). Stoichiometry and nutrition of plant growth in natural communities. Annual Review of Ecology, Evolution, and Systematics, 39, 153-170.
DOI URL |
| [2] | Ai ZM, Chen YM, Cao Y (2014). Storage and allocation of carbon and nitrogen in Robinia pseudoacacia plantation at different ages in the Loess Hilly Region, China. Chinese Journal of Applied Ecology, 25, 333-341. |
| [艾泽民, 陈云明, 曹扬 (2014). 黄土丘陵区不同林龄刺槐人工林碳、氮储量及分配格局. 应用生态学报, 25, 333-341.] | |
| [3] |
Amazonas NT, Martinelli LA, de Cássia Piccolo M, Rodrigues RR (2011). Nitrogen dynamics during ecosystem development in tropical forest restoration. Forest Ecology and Management, 262, 1551-1557.
DOI URL |
| [4] | Bai XJ, Wang BR, An SS, Zeng QC, Zhang HX (2019). Response of forest species to C:N:P in the plant-litter-soil system and stoichiometric homeostasis of plant tissues during afforestation on the Loess Plateau, China. Catena, 183, 104186. DOI: 10.1016/j.catena.2019.104186. |
| [5] | Bai XJ, Zeng QC, An SS, Zhang HX, Wang BR (2016). Ecological stoichiometry characteristics of leaf-litter-soil in different plantations on the Loess Plateau, China. Chinese Journal of Applied Ecology, 27, 3823-3830. |
|
[白雪娟, 曾全超, 安韶山, 张海鑫, 王宝荣 (2016). 黄土高原不同人工林叶片-凋落叶-土壤生态化学计量特征. 应用生态学报, 27, 3823-3830.]
DOI |
|
| [6] | Bai YX, Ding GJ (2024). Estimation of changes in carbon sequestration and its economic value with various stand density and rotation age of Pinus massoniana plantations in China. Scientific Reports, 14, 16852. DOI: 10.1038/s41598-024-67307-z. |
| [7] |
Bukoski JJ, Cook-Patton SC, Melikov C, Ban HY, Chen J, Goldman ED, Harris NL, Potts MD (2022). Rates and drivers of aboveground carbon accumulation in global monoculture plantation forests. Nature Communications, 13, 4206. DOI: 10.1038/s41467-022-31380-7.
PMID |
| [8] |
Cao Y, Chen YM (2017a). Ecosystem C:N:P stoichiometry and carbon storage in plantations and a secondary forest on the Loess Plateau, China. Ecological Engineering, 105, 125-132.
DOI URL |
| [9] |
Cao Y, Chen YM (2017b). Coupling of plant and soil C:N:P stoichiometry in black locust (Robinia pseudoacacia) plantations on the Loess Plateau, China. Trees-Structure and Function, 31, 1559-1570.
DOI URL |
| [10] | Chen WY, Zhang X, Wang YX, Li JY, Bai XH, Wang L, Qu WJ (2025). Leaf C:N:P stoichiometry and influencing factors of different geographic populations of Caragana stenophylla in desert. Chinese Journal of Applied Ecology, 36, 31-38. |
|
[陈文燕, 张雪, 王奕璇, 李静尧, 白小红, 王磊, 曲文杰 (2025). 荒漠植物狭叶锦鸡儿不同地理居群叶片化学计量特征及其影响因子. 应用生态学报, 36, 31-38.]
DOI |
|
| [11] |
Chen XL, Reich PB, Taylor AR, An ZF, Chang SX (2024). Resource availability enhances positive tree functional diversity effects on carbon and nitrogen accrual in natural forests. Nature Communications, 15, 8615. DOI: 10.1038/s41467-024-53004-y.
PMID |
| [12] |
Cheng JZ, Lee XQ, Theng BKG, Zhang LK, Fang B, Li FS (2015). Biomass accumulation and carbon sequestration in an age-sequence of Zanthoxylum bungeanum plantations under the Grain for Green Program in karst regions, Guizhou Province. Agricultural and Forest Meteorology, 203, 88-95.
DOI URL |
| [13] | Cheng TR, Feng J, Ma QY, Wang YT, Kang FF, Feng ZK, Zhang YL, Deng XR (2008). Carbon pool and allocation of forest vegetations in Xiaolong Mountains, Gansu Province. Acta Ecologica Sinica, 28, 33-44. |
| [程堂仁, 冯菁, 马钦彦, 王玉涛, 康峰峰, 冯仲科, 张彦林, 邓向瑞 (2008). 甘肃小陇山森林植被碳库及其分配特征. 生态学报, 28, 33-44.] | |
| [14] | Deng CH, Wu LL, Zhang YT, Qiao H, Liu XY, Hu YJ, Chen XB, Su YR, He XY (2019). The stoichiometry characteristics of soil and plant carbon, nitrogen, and phosphorus in different stand ages in Camellia oleifera plantation. Acta Ecologica Sinica, 39, 9152-9161. |
| [邓成华, 吴龙龙, 张雨婷, 乔航, 刘兴元, 胡亚军, 陈香碧, 苏以荣, 何寻阳 (2019). 不同林龄油茶人工林土壤-叶片碳氮磷生态化学计量特征. 生态学报, 39, 9152-9161.] | |
| [15] | Deng XH, Yu YH, Xiong KN, Song YP, Zhang SH (2022). Photosynthetic characteristics and responses to soil nutrients of differently aged Zanthoxylum planispinum stands. Journal of Forest and Environment, 42, 149-157. |
| [邓雪花, 喻阳华, 熊康宁, 宋燕平, 张仕豪 (2022). 不同林龄花椒光合特性及对土壤养分的响应. 森林与环境学报, 42, 149-157.] | |
| [16] | Diao JJ, Liu JX, Zhu ZL, Wei XY, Li MS (2022). Active forest management accelerates carbon storage in plantation forests in Lishui, Southern China. Forest Ecosystems, 9, 100004. DOI: 10.1016/j.fecs.2022.100004. |
| [17] |
Elser JJ, Fagan WF, Denno RF, Dobberfuhl DR, Folarin A, Huberty A, Interlandi S, Kilham SS, McCauley E, Schulz KL, Siemann EH, Sterner RW (2000). Nutritional constraints in terrestrial and freshwater food webs. Nature, 408, 578-580.
DOI |
| [18] |
Fan HB, Wu JP, Liu WF, Yuan YH, Hu L, Cai QK (2015). Linkages of plant and soil C:N:P stoichiometry and their relationships to forest growth in subtropical plantations. Plant and Soil, 392, 127-138.
DOI URL |
| [19] |
Forzieri G, Dakos V, McDowell NG, Ramdane A, Cescatti A (2022). Emerging signals of declining forest resilience under climate change. Nature, 608, 534-539.
DOI |
| [20] |
Gao Y, Cheng JM, Ma ZR, Zhao Y, Su JS (2014). Carbon storage in biomass, litter, and soil of different plantations in a semiarid temperate region of northwest China. Annals of Forest Science, 71, 427-435.
DOI URL |
| [21] |
Gispert M, Emran M, Pardini G, Doni S, Ceccanti B (2013). The impact of land management and abandonment on soil enzymatic activity, glomalin content and aggregate stability. Geoderma, 202-203, 51-61.
DOI URL |
| [22] | Guo XY, Cai T, Duan XW, Han YJ, Huang D, Da LJ (2013). Carbon storage and distribution pattern in main economic fruit forest ecosystems in Shanghai, East China. Chinese Journal of Ecology, 32, 2881-2885. |
| [郭雪艳, 蔡婷, 段秀文, 韩玉洁, 黄丹, 达良俊 (2013). 上海主要经果林生态系统碳储量及其分布格局. 生态学杂志, 32, 2881-2885.] | |
| [23] |
Han WX, Fang JY, Guo DL, Zhang Y (2005). Leaf nitrogen and phosphorus stoichiometry across 753 terrestrial plant species in China. New Phytologist, 168, 377-385.
DOI PMID |
| [24] |
He YJ, Qin L, Li ZY, Liang XY, Shao MX, Tan L (2013). Carbon storage capacity of monoculture and mixed-species plantations in subtropical China. Forest Ecology and Management, 295, 193-198.
DOI URL |
| [25] | Hu QW, Nie LQ, Zheng YM, Wu Q, Yao B, Zheng L (2014). Effects of desertification intensity and stand age on leaf and soil carbon, nitrogen and phosphorus stoichiometry in Pinus elliottii plantation. Acta Ecologica Sinica, 34, 2246-2255. |
| [胡启武, 聂兰琴, 郑艳明, 吴琴, 尧波, 郑林 (2014). 沙化程度和林龄对湿地松叶片及林下土壤C、N、P化学计量特征影响. 生态学报, 34, 2246-2255.] | |
| [26] | Hui DF, Yang XT, Deng Q, Liu Q, Wang X, Yang H, Ren H (2021). Soil C:N:P stoichiometry in tropical forests on Hainan Island of China: spatial and vertical variations. Catena, 201, 105228. DOI: 10.1016/j.catena.2021.105228. |
| [27] | Jagodziński AM, Dyderski MK, Horodecki P (2020). Differences in biomass production and carbon sequestration between highland and lowland stands of Picea abies (L.) H. Karst. and Fagus sylvatica L. Forest Ecology and Management, 474, 118329. DOI: 10.1016/j.foreco.2020.118329. |
| [28] |
Justine MF, Yang WQ, Wu FZ, Khan MN (2017). Dynamics of biomass and carbon sequestration across a chronosequence of masson pine plantations. Journal of Geophysical Research: Biogeosciences, 122, 578-591.
DOI URL |
| [29] |
Kirkby CA, Richardson AE, Wade LJ, Batten GD, Blanchard C, Kirkegaard JA (2013). Carbon-nutrient stoichiometry to increase soil carbon sequestration. Soil Biology & Biochemistry, 60, 77-86.
DOI URL |
| [30] | Lan SA, Du H, Zeng FP, Song TQ, Peng WX, Han C, Chen L, Su L (2016). Carbon storage and allocation in Cunninghamia lanceolata plantations with different stand ages. Chinese Journal of Applied Ecology, 27, 1125-1134. |
|
[兰斯安, 杜虎, 曾馥平, 宋同清, 彭晚霞, 韩畅, 陈莉, 苏樑 (2016). 不同林龄杉木人工林碳储量及其分配格局. 应用生态学报, 27, 1125-1134.]
DOI |
|
| [31] | Levan C, Buimanh H, Oluwasanmi Tope BO, Xu XN, Nguyenminh T, Lak C, Nebiyou L, Wang JJ, Buivan T (2020). Biomass and carbon storage in an age-sequence of Acacia mangium plantation forests in Southeastern region, Vietnam. Forest Systems, 29, e009. DOI: 10.5424/fs/2020292-16685. |
| [32] |
Li H, Li J, He YL, Li SJ, Liang ZS, Peng CH, Polle A, Luo ZB (2013). Changes in carbon, nutrients and stoichiometric relations under different soil depths, plant tissues and ages in black locust plantations. Acta Physiologiae Plantarum, 35, 2951-2964.
DOI URL |
| [33] |
Li XD, Yi MJ, Son Y, Park PS, Lee KH, Son YM, Kim RH, Jeong MJ (2011). Biomass and carbon storage in an age-sequence of Korean pine (Pinus koraiensis) plantation forests in central Korea. Journal of Plant Biology, 54, 33-42.
DOI URL |
| [34] |
Liang XY, Liu SR, Wang H, Wang JX (2018). Variation of carbon and nitrogen stoichiometry along a chronosequence of natural temperate forest in northeastern China. Journal of Plant Ecology, 11, 339-350.
DOI |
| [35] | Liu BY, Chen YM, Cao Y, Wu X (2015). Storage and allocation of carbon and nitrogen in Pinus tabuliformis plantations on the south slope of the East Qinling Mountains, China. Chinese Journal of Applied Ecology, 26, 643-652. |
| [刘冰燕, 陈云明, 曹扬, 吴旭 (2015). 秦岭南坡东段油松人工林生态系统碳、氮储量及其分配格局. 应用生态学报, 26, 643-652.] | |
| [36] |
Liu C, Wang Y, Wang N, Wang GX (2012). Advances research in plant nitrogen, phosphorus and their stoichiometry in terrestrial ecosystems: a review. Chinese Journal of Plant Ecology, 36, 1205-1216.
DOI URL |
|
[刘超, 王洋, 王楠, 王根轩 (2012). 陆地生态系统植被氮磷化学计量研究进展. 植物生态学报, 36, 1205-1216.]
DOI |
|
| [37] |
Liu J, Gou QQ, Wang GH, Zhao FX (2023). Leaf and soil ecological stoichiometry of Caragana korshinskii in windy and sandy hilly region of northwest Shanxi, China. Chinese Journal of Plant Ecology, 47, 546-558.
DOI URL |
|
[刘婧, 缑倩倩, 王国华, 赵峰侠 (2023). 晋西北丘陵风沙区柠条锦鸡儿叶片与土壤生态化学计量特征. 植物生态学报, 47, 546-558.]
DOI |
|
| [38] | Liu JT, Gu ZJ, Shao HB, Zhou F, Peng SY (2016). N-P stoichiometry in soil and leaves of Pinus massoniana forest at different stand ages in the subtropical soil erosion area of China. Environmental Earth Sciences, 75, 1091. DOI: 10.1007/s12665-016-5888-7. |
| [39] | Liu WD, Su JR, Li SF, Zhang ZJ, Li ZW (2010). Stoichiometry study of C, N and P in plant and soil at different successional stages of monsoon evergreen broad-leaved forest in Pu’er, Yunnan Province. Acta Ecologica Sinica, 30, 6581-6590. |
| [刘万德, 苏建荣, 李帅锋, 张志钧, 李忠文 (2010). 云南普洱季风常绿阔叶林演替系列植物和土壤C、N、P化学计量特征. 生态学报, 30, 6581-6590.] | |
| [40] | Luo XZ, Hou EQ, Chen JQ, Li J, Zhang LL, Zang XW, Wen DZ (2020). Dynamics of carbon, nitrogen and phosphorus stocks and stoichiometry resulting from conversion of primary broadleaf forest to plantation and secondary forest in subtropical China. Catena, 193, 104606. DOI: 10.1016/j.catena.2020.104606. |
| [41] | Luo Y, Peng QW, Li KH, Gong YM, Liu YY, Han WX (2021). Patterns of nitrogen and phosphorus stoichiometry among leaf, stem and root of desert plants and responses to climate and soil factors in Xinjiang, China. Catena, 199, 105100. DOI: 10.1016/j.catena.2020.105100. |
| [42] |
Mao R, Zeng DH, Hu YL, Li LJ, Yang D (2010). Soil organic carbon and nitrogen stocks in an age-sequence of poplar stands planted on marginal agricultural land in Northeast China. Plant and Soil, 332, 277-287.
DOI URL |
| [43] |
McMahon DE, Vergütz L, Valadares SV, da Silva IR, Jackson RB (2019). Soil nutrient stocks are maintained over multiple rotations in Brazilian Eucalyptus plantations. Forest Ecology and Management, 448, 364-375.
DOI |
| [44] | Miao J, Zhou CY, Li SJ, Yan JH (2014). Accumulation of soil organic carbon and total nitrogen in Pinus yunnanensis forests at different age stages. Chinese Journal of Applied Ecology, 25, 625-631. |
| [苗娟, 周传艳, 李世杰, 闫俊华 (2014). 不同林龄云南松林土壤有机碳和全氮积累特征. 应用生态学报, 25, 625-631.] | |
| [45] | Niu RL, Gao X, Xu FL, Wang WL, Wang LL, Sun PY, Bai XF (2016). Carbon, nitrogen, and phosphorus stoichiometric characteristics of soil and leaves from young and middle aged Larix principis-rupprechtii growing in a Qinling Mountain plantation. Acta Ecologica Sinica, 36, 7384-7392. |
| [牛瑞龙, 高星, 徐福利, 王渭玲, 王玲玲, 孙鹏跃, 白小芳 (2016). 秦岭中幼林龄华北落叶松针叶与土壤的碳氮磷生态化学计量特征. 生态学报, 36, 7384-7392.] | |
| [46] | Niu XY, Sun XM, Chen DS, Zhang SG (2015). Soil microorganisms, nutrients and enzyme activity of Larix kaempferi plantation under different ages in mountainous region of eastern Liaoning Province, China. Chinese Journal of Applied Ecology, 26, 2663-2672. |
| [牛小云, 孙晓梅, 陈东升, 张守攻 (2015). 辽东山区不同林龄日本落叶松人工林土壤微生物、养分及酶活性. 应用生态学报, 26, 2663-2672.] | |
| [47] |
Norby RJ, Loader NJ, Mayoral C, Ullah S, Curioni G, Smith AR, Reay MK, van Wijngaarden K, Amjad MS, Brettle D, Crockatt ME, Denny G, Grzesik RT, Hamilton RL, Hart KM, et al. (2024). Enhanced woody biomass production in a mature temperate forest under elevated CO2. Nature Climate Change, 14, 983-988.
DOI |
| [48] | Peng FR, Zhu KK, Tan PP (2022). A review of non-wood forest research in China and the potential development of key technologies. Journal of Nanjing Forestry University (Natural Sciences Edition), 46(6), 127-134. |
|
[彭方仁, 朱凯凯, 谭鹏鹏 (2022). 我国经济林研究主要进展及有待突破的关键技术. 南京林业大学学报(自然科学版), 46(6), 127-134.]
DOI |
|
| [49] | Powae GM, Rajashekhar Rao BK (2024). Quantification of soil nutrient stocks and stoichiometric ratios in Eucalyptus pellita biomass plantation chronosequence in Papua New Guinea. Catena, 247, 108564. DOI: 10.1016/j.catena.2024.108564. |
| [50] | Qiu XC, Wang HB, Peng DL, Liu X, Yang F, Li Z, Cheng S (2020). Thinning drives C:N:P stoichiometry and nutrient resorption in Larix principis-rupprechtii plantations in North China. Forest Ecology and Management, 462, 117984. DOI: 10.1016/j.foreco.2020.117984. |
| [51] |
Ren H, Chen H, Li ZA, Han WD (2010). Biomass accumulation and carbon storage of four different aged Sonneratia apetala plantations in Southern China. Plant and Soil, 327, 279-291.
DOI URL |
| [52] | Ren Y, Gao GL, Ding GD, Zhang Y, Guo MS, Cao HY, Su M (2019). Stoichiometric characteristics of nitrogen and phosphorus in leaf-litter-soil system of Pinus sylvestris var. mongolica plantations. Chinese Journal of Applied Ecology, 30, 743-750. |
|
[任悦, 高广磊, 丁国栋, 张英, 郭米山, 曹红雨, 苏敏 (2019). 沙地樟子松人工林叶片-枯落物-土壤氮磷化学计量特征. 应用生态学报, 30, 743-750.]
DOI |
|
| [53] |
Sardans J, Janssens IA, Alonso R, Veresoglou SD, Rillig MC, Sanders TG, Carnicer J, Filella I, Farré-Armengol G, Peñuelas J (2015). Foliar elemental composition of European forest tree species associated with evolutionary traits and present environmental and competitive conditions. Global Ecology and Biogeography, 24, 240-255.
DOI URL |
| [54] |
Sims L, Pastor J, Lee T, Dewey B (2012). Nitrogen, phosphorus and light effects on growth and allocation of biomass and nutrients in wild rice. Oecologia, 170, 65-76.
DOI PMID |
| [55] |
Smal H, Olszewska M (2008). The effect of afforestation with Scots pine (Pinus silvestris L.) of sandy post-arable soils on their selected properties. II. Reaction, carbon, nitrogen and phosphorus. Plant and Soil, 305, 171-187.
DOI URL |
| [56] | Springer K, Manning P, Boesing AL, Ammer C, Fiore-Donno AM, Fischer M, Goldmann K, Le Provost G, Overmann J, Ruess L, Schöning I, Seibold S, Sikorski J, Neyret M (2024). Identifying the stand properties that support both high biodiversity and carbon storage in German forests. Forest Ecology and Management, 572, 122328. DOI: 10.1016/j.foreco.2024.122328. |
| [57] |
Stenzel F, Greve P, Lucht W, Tramberend S, Wada Y, Gerten D (2021). Irrigation of biomass plantations may globally increase water stress more than climate change. Nature Communications, 12, 1512. DOI: 10.1038/s41467-021-21640-3.
PMID |
| [58] | Sterner RW, Elser JJ (2002). Ecological Stoichiometry: the Biology of Elements from Molecules to the Biosphere. Princeton University Press, Princeton. |
| [59] | Su BQ, Shangguan ZP (2021). Response of water use efficiency and plant-soil C:N:P stoichiometry to stand quality in Robinia pseudoacacia on the Loess Plateau of China. Catena, 206, 105571. DOI: 10.1016/j.catena.2021.105571. |
| [60] | Sun LN (2024). Effect of Long-term Fertilization of Soil Aggregate and Walnut Fruit Quality in Walnut Garden. Master degree dissertation, Northwest A&F University, Yangling, Shaanxi. 6. |
| [孙琳娜 (2024). 长期施肥对核桃园土壤团聚体及核桃果实品质的影响. 硕士学位论文, 西北农林科技大学, 陕西杨凌. 6.] | |
| [61] | Tang ZY, Xu WT, Zhou GY, Bai YF, Li JX, Tang XL, Chen DM, Liu Q, Ma WH, Xiong GM, He HL, He NP, Guo YP, Guo Q, Zhu JL, et al. (2018). Patterns of plant carbon, nitrogen, and phosphorus concentration in relation to productivity in China’s terrestrial ecosystems. Proceedings of the National Academy of Sciences of the United States of America, 115, 4033-4038. |
| [62] |
Tian D, Yan ZB, Fang JY (2021). Review on characteristics and main hypotheses of plant ecological stoichiometry. Chinese Journal of Plant Ecology, 45, 682-713.
DOI |
|
[田地, 严正兵, 方精云 (2021). 植物生态化学计量特征及其主要假说. 植物生态学报, 45, 682-713.]
DOI |
|
| [63] |
Uri V, Varik M, Aosaar J, Kanal A, Kukumägi M, Lõhmus K (2012). Biomass production and carbon sequestration in a fertile silver birch (Betula pendula Roth) forest chronosequence. Forest Ecology and Management, 267, 117-126.
DOI URL |
| [64] | Wang GH, Wang JQ, Liu J (2024). Characteristics of vegetation and soil in Caragana korshinskii plantations in the hilly and sandy areas of northwestern Shanxi Province, China. Chinese Journal of Applied Ecology, 35, 62-72. |
|
[王国华, 王佳琪, 刘婧 (2024). 晋西北丘陵风沙区柠条锦鸡儿人工林植被和土壤随林龄变化特征. 应用生态学报, 35, 62-72.]
DOI |
|
| [65] |
Wang ZQ, Gong HY, Sardans J, Zhou QP, Deng JM, Niklas KJ, Hu HF, Li YL, Ma ZQ, Mipam TD, Peñuelas J (2022). Divergent nitrogen and phosphorus allocation strategies in terrestrial plant leaves and fine roots: a global meta-analysis. Journal of Ecology, 110, 2745-2758.
DOI URL |
| [66] | Wang ZY, Wang T, Zou BZ, Wang SR, Huang ZQ, Wan XH (2020). Soil C:N:P stoichiometry and nutrient dynamics in Cunninghamia lanceolata plantations during different growth stages. Chinese Journal of Applied Ecology, 31, 3597-3604. |
|
[王振宇, 王涛, 邹秉章, 王思荣, 黄志群, 万晓华 (2020). 不同生长阶段杉木人工林土壤C:N:P化学计量特征与养分动态. 应用生态学报, 31, 3597-3604.]
DOI |
|
| [67] |
Wei H, Man XL (2019). Carbon storage and its allocation in Betula platyphylla forests of different ages in cold temperate zone of China. Chinese Journal of Plant Ecology, 43, 843-852.
DOI URL |
|
[魏红, 满秀玲 (2019). 中国寒温带不同林龄白桦林碳储量及分配特征. 植物生态学报, 43, 843-852.]
DOI |
|
| [68] | Wei TY, Simko V (2024). R package ‘corrplot’: visualization of a Correlation Matrix (Version 0.95). [2025-02-15]. https://github.com/taiyun/corrplot. |
| [69] | Wu HL, Xiang WH, Ouyang S, Xiao WF, Li SG, Chen L, Lei PF, Deng XW, Zeng YL, Zeng LX, Peng CH (2020). Tree growth rate and soil nutrient status determine the shift in nutrient-use strategy of Chinese fir plantations along a chronosequence. Forest Ecology and Management, 460, 117896. DOI: 10.1016/j.foreco.2020.117896. |
| [70] |
Wu JP, Liu ZF, Sun YX, Zhou LX, Lin YB, Fu SL (2013). Introduced Eucalyptus urophylla plantations change the composition of the soil microbial community in subtropical China. Land Degradation & Development, 24, 400-406.
DOI URL |
| [71] |
Xiao ZY, Huang RM, Wang QZ, Li AH, Chang CF, Xu YJ (2019). Walnut in different ecological climate zones: nut quality comparison. Chinese Agricultural Science Bulletin, 35(28), 70-74.
DOI |
|
[肖之炎, 黄瑞敏, 王其竹, 李爱华, 常昌富, 徐永杰 (2019). 不同生态气候区核桃坚果品质比较. 中国农学通报, 35(28), 70-74.]
DOI |
|
| [72] |
Xu H, Xiao JF, Zhang ZQ, Ollinger SV, Hollinger DY, Pan YD, Wan JM (2020). Canopy photosynthetic capacity drives contrasting age dynamics of resource use efficiencies between mature temperate evergreen and deciduous forests. Global Change Biology, 26, 6156-6167.
DOI PMID |
| [73] | Xu H, Zhang YR, Hu TH, Ji B, He JL, Cai JJ, Wang JF (2013). The carbon storage and distribution property of the forestry of Pinus tabulaeformis in natural reserve area of Helan Mountain of Ningxia. Ecology and Environmental Sciences, 22, 1785-1789. |
| [许浩, 张源润, 胡天华, 季波, 何建龙, 蔡进军, 王继飞 (2013). 宁夏贺兰山自然保护区油松林碳储量及分布格局. 生态环境学报, 22, 1785-1789.] | |
| [74] | Yan ER, Wang XH, Guo M, Zhong Q, Zhou W (2010). C:N:P stoichiometry across evergreen broad-leaved forests, evergreen coniferous forests and deciduous broad-leaved forests in the Tiantong region, Zhejiang Province, Eastern China. Chinese Journal of Plant Ecology, 34, 48-57. |
|
[阎恩荣, 王希华, 郭明, 仲强, 周武 (2010). 浙江天童常绿阔叶林、常绿针叶林与落叶阔叶林的C:N:P化学计量特征. 植物生态学报, 34, 48-57.]
DOI |
|
| [75] |
Yan T, Lü XT, Zhu JJ, Yang K, Yu LZ, Gao T (2018). Changes in nitrogen and phosphorus cycling suggest a transition to phosphorus limitation with the stand development of larch plantations. Plant and Soil, 422, 385-396.
DOI URL |
| [76] |
Yan XJ, Yang WH, Muneer MA, Zhang SW, Wang MK, Wu LQ (2021). Land-use change affects stoichiometric patterns of soil organic carbon, nitrogen, and phosphorus in the red soil of Southeast China. Journal of Soils and Sediments, 21, 2639-2649.
DOI |
| [77] | Yang LL, Wang YH, Wen SZ, Liu YH, Du M, Hao J, Li ZH (2015). Carbon and nitrogen storage and distribution in four forest ecosystems in Liupan Mountains, northwestern China. Acta Ecologica Sinica, 35, 5215-5227. |
| [杨丽丽, 王彦辉, 文仕知, 刘延惠, 杜敏, 郝佳, 李振华 (2015). 六盘山四种森林生态系统的碳氮储量、组成及分布特征. 生态学报, 35, 5215-5227.] | |
| [78] |
Yang YH, Luo YQ (2011). Carbon:nitrogen stoichiometry in forest ecosystems during stand development. Global Ecology and Biogeography, 20, 354-361.
DOI URL |
| [79] |
Yao L, Liu T, Qin J, Jiang H, Yang L, Smith P, Chen X, Zhou CH, Piao SL (2024). Carbon sequestration potential of tree planting in China. Nature Communications, 15, 8398. DOI: 10.1038/s41467-024-52785-6.
PMID |
| [80] |
Yu YH, Zheng W, Zhong XP, Ying B (2021). Stoichiometric characteristics in Zanthoxylum planispinum var. dintanensis plantation of different ages. Agronomy Journal, 113, 685-695.
DOI URL |
| [81] |
Zeng ZX, Wang KL, Liu XL, Zeng FP, Song TQ, Peng WX, Zhang H, Du H (2015). Stoichiometric characteristics of plants, litter and soils in karst plant communities of Northwest Guangxi. Chinese Journal of Plant Ecology, 39, 682-693.
DOI URL |
|
[曾昭霞, 王克林, 刘孝利, 曾馥平, 宋同清, 彭晚霞, 张浩, 杜虎 (2015). 桂西北喀斯特森林植物-凋落物-土壤生态化学计量特征. 植物生态学报, 39, 682-693.]
DOI |
|
| [82] | Zhang FR, Liu Y, Shi CM, Zhao YF, Xiao JJ, Wang X (2021). Soil carbon, nitrogen, phosphorus content and their ecological stoichiometric characteristics in different plantation ages. Ecology and Environmental Sciences, 30, 485-491. |
|
[张富荣, 柳洋, 史常明, 赵云飞, 肖锦锦, 汪霞 (2021). 不同恢复年限刺槐林土壤碳、氮、磷含量及其生态化学计量特征. 生态环境学报, 30, 485-491.]
DOI |
|
| [83] | Zhang H, Sun M, Wen YX, Tong R, Wang G, Wu QQ, Li Y, Wu TG (2022). The effects of stand age on leaf N:P cannot be neglected: a global synthesis. Forest Ecology and Management, 518, 120294. DOI: 10.1016/j.foreco.2022.120294. |
| [84] |
Zhang H, Wang JN, Wang JY, Guo ZW, Wang GG, Zeng DH, Wu TG (2018a). Tree stoichiometry and nutrient resorption along a chronosequence of Metasequoia glyptostroboides forests in coastal China. Forest Ecology and Management, 430, 445-450.
DOI URL |
| [85] |
Zhang JJ, Li XY, Chen M, Huang LJ, Li M, Zhang X, Cao Y (2023). Response of plant, litter, and soil C:N:P stoichiometry to growth stages in Quercus secondary forests on the Loess Plateau, China. Journal of Forestry Research, 34, 595-607.
DOI |
| [86] | Zhang K, He MZ, Li XR, Tan HJ, Gao YH, Li G, Han GJ, Wu YY (2014). Foliar carbon, nitrogen and phosphorus stoichiometry of typical desert plants across the Alashan Desert. Acta Ecologica Sinica, 34, 6538-6547. |
| [张珂, 何明珠, 李新荣, 谭会娟, 高艳红, 李刚, 韩国君, 吴杨杨 (2014). 阿拉善荒漠典型植物叶片碳、氮、磷化学计量特征. 生态学报, 34, 6538-6547.] | |
| [87] |
Zhang W, Liu WC, Xu MP, Deng J, Han XH, Yang GH, Feng YZ, Ren GX (2019). Response of forest growth to C:N:P stoichiometry in plants and soils during Robinia pseudoacacia afforestation on the Loess Plateau, China. Geoderma, 337, 280-289.
DOI |
| [88] |
Zhang W, Qiao WJ, Gao DX, Dai YY, Deng J, Yang GH, Han XH, Ren GX (2018b). Relationship between soil nutrient properties and biological activities along a restoration chronosequence of Pinus tabulaeformis plantation forests in the Ziwuling Mountains, China. Catena, 161, 85-95.
DOI URL |
| [89] | Zhang ZY, Wang YH, Tian A, Liu ZB, Guo JB, Yu PT, Wang X, Yu YP (2023). Spatiotemporal characteristics and environmental response of vegetation carbon densities of Larix principis-rupprechtii plantations in the Liupan Mountains of Ningxia, China. Scientia Silvae Sinicae, 59(4), 32-45. |
| [张紫优, 王彦辉, 田奥, 刘泽彬, 郭建斌, 于澎涛, 王晓, 于艺鹏 (2023). 宁夏六盘山华北落叶松人工林植被碳密度时空特征及其环境响应. 林业科学, 59(4), 32-45.] | |
| [90] |
Zhao N, Yu GR, He NP, Xia FC, Wang QF, Wang RL, Xu ZW, Jia YL (2016). Invariant allometric scaling of nitrogen and phosphorus in leaves, stems, and fine roots of woody plants along an altitudinal gradient. Journal of Plant Research, 129, 647-657.
DOI PMID |
| [91] |
Zhou L, Addo-Danso SD, Wu P, Li S, Zou X, Zhang Y, Ma X (2016). Leaf resorption efficiency in relation to foliar and soil nutrient concentrations and stoichiometry of Cunninghamia lanceolata with stand development in Southern China. Journal of Soils and Sediments, 16, 1448-1459.
DOI URL |
| [92] | Zhou YR, Yu ZL, Zhao SD (2000). Carbon storage and budget of major Chinese forest types. Acta Phytoecologica Sinica, 24, 518-522. |
| [周玉荣, 于振良, 赵士洞 (2000). 我国主要森林生态系统碳贮量和碳平衡. 植物生态学报, 24, 518-522.] |
| [1] | 张竟文, 李晶, 王汝苗, 王贺年, 崔丽娟. 不同纬度滨海湿地植物根与土壤生态化学计量特征及其内稳态分析[J]. 植物生态学报, 2026, 50(化学计量与功能性状): 0-. |
| [2] | 陈雅轩, 韩雨音, 刘倩愿, 陈艳梅. 不同林龄人工林植物功能性状与碳氮化学计量研究[J]. 植物生态学报, 2026, 50(化学计量与功能性状): 1-. |
| [3] | 赵珮杉, 高广磊, 丁国栋, 张英. 林龄和生态位对樟子松人工林地下真菌群落构建的影响[J]. 植物生态学报, 2025, 49(9): 1472-1484. |
| [4] | 陈刚刚, 朱思洁, 郭亮娜, 付芳伟, 刘昱灼, 李江荣. 藏东南色季拉山高山树线乔灌地上-地下养分分配策略[J]. 植物生态学报, 2025, 49(9): 1515-1526. |
| [5] | 常鹏飞, 李平, 纳尔斯格, 王静, 王振华, 杨森, 贾舟, 杨璐, 刘玲莉, 邓美凤. 内蒙古温带草原不同草地类型土壤有机碳和无机碳储量对总碳储量的贡献及其驱动因素[J]. 植物生态学报, 2025, 49(9): 1374-1387. |
| [6] | 滕安萍, 刘明慧, 高广磊, 丁国栋, 张英, 李启研. 科尔沁沙地不同林龄樟子松人工林土壤真菌-细菌共现模式[J]. 植物生态学报, 2025, 49(9): 1556-1568. |
| [7] | 周志琼, 丁建林, 李晓明, 何其华. 2005-2010年西南山地人工林长期监测样地植物物种组成与群落特征数据集[J]. 植物生态学报, 2025, 49(8): 1255-1262. |
| [8] | 饶兴权, 蔡锡安, 林永标, 刘素萍. 2005-2015年鹤山马占相思林长期监测样地植物物种组成和群落特征数据集[J]. 植物生态学报, 2025, 49(8): 1246-1254. |
| [9] | 刘新月, 王立平, 刘春和, 孙艳丽, 刘鹏, 田赟, 贾昕, 查天山, 钱多. 北京不同林龄人工林生物量空间格局及其影响因素[J]. 植物生态学报, 2025, 49(6): 939-951. |
| [10] | 王堃莹, 邱贵福, 刘子赫, 孟君, 刘宇轩, 贾国栋. 气候变化对不同退化程度小叶杨林分生长和内在水分利用效率的调节[J]. 植物生态学报, 2025, 49(2): 343-355. |
| [11] | 吴闫宁, 郝珉辉, 何怀江, 张春雨, 赵秀海. 长白山森林功能多样性与地上碳汇功能的关系及其随演替的变化[J]. 植物生态学报, 2025, 49(2): 232-243. |
| [12] | 姚博, 陈云, 曹雯婕, 龚相文, 罗永清, 郑成卓, 王旭洋, 王正文, 李玉强. 呼伦贝尔退化沙地植被-土壤碳氮磷互馈关系及微生物驱动机制[J]. 植物生态学报, 2025, 49(1): 59-73. |
| [13] | 童郁强, 吴梦鸽, 王玲, 赵实, 韩叙, 张彤, 刘静, 秦胜金, 董英豪, 魏亚伟, 周永斌. 基于液流径向变化的樟子松蒸腾耗水量估算及影响因素[J]. 植物生态学报, 2024, 48(9): 1118-1127. |
| [14] | 王燕, 张全智, 王传宽, 郭万桂, 蔺佳玮. 恢复方式对东北东部森林土壤碳氮磷计量特征的影响[J]. 植物生态学报, 2024, 48(7): 943-954. |
| [15] | 张文瑾, 佘维维, 秦树高, 乔艳桂, 张宇清. 氮和水分添加对黑沙蒿群落优势植物叶片氮磷化学计量特征的影响[J]. 植物生态学报, 2024, 48(5): 590-600. |
| 阅读次数 | ||||||
|
全文 |
|
|||||
|
摘要 |
|
|||||
Copyright © 2026 版权所有 《植物生态学报》编辑部
地址: 北京香山南辛村20号, 邮编: 100093
Tel.: 010-62836134, 62836138; Fax: 010-82599431; E-mail: apes@ibcas.ac.cn, cjpe@ibcas.ac.cn
备案号: 京ICP备16067583号-19