植物生态学报 ›› 2025, Vol. 49 ›› Issue (12): 2092-2104.DOI: 10.17521/cjpe.2024.0456 cstr: 32100.14.cjpe.2024.0456
黄美红1,2,*, 牛梦秋2,3,*, 杨鹏飞2,4, 林洁2,5, 廖周瑜3, 陈建国2,**(
)(
), 向建英1,**(
)
收稿日期:2024-12-16
接受日期:2025-05-28
出版日期:2025-12-20
发布日期:2025-12-25
通讯作者:
**陈建国(chenjianguo@mail.kib.ac.cn),ORCID:0000-0003-3062-9881;作者简介:*同等贡献
基金资助:
HUANG Mei-Hong1,2,*, NIU Meng-Qiu2,3,*, YANG Peng-Fei2,4, LIN Jie2,5, LIAO Zhou-Yu3, CHEN Jian-Guo2,**(
)(
), XIANG Jian-Ying1,**(
)
Received:2024-12-16
Accepted:2025-05-28
Online:2025-12-20
Published:2025-12-25
About author:* Contributed equally to this work
Supported by:摘要:
作为高山冰缘带生态系统中代表性的生态系统工程师, 垫状植物对冰缘带植物群落结构和多样性维持起着关键性作用, 因此, 垫状植物自身种群的动态变化(如种群退缩)将直接影响到高山冰缘带生态系统功能的长期维持。但是, 目前对于垫状植物种群动态过程中的关键阶段——种子出苗率和幼苗生长——对环境因子响应的认识极不充分。该研究以高山垫状植物山生福禄草(Arenaria oreophila)不同种群来源的种子为材料, 通过室内恒温箱培养的方法探索不同温度和种子埋藏深度对其种子出苗率以及幼苗生长表现的影响。结果表明, 温度高于10 ℃时能够加速山生福禄草种子萌发和出苗速率并提升最终出苗率。与低温条件相比, 高温条件下培养的幼苗更高, 且具有更高的生物量累积效率。但种子埋藏深度会限制其出苗率, 当埋藏深度超过2 cm时, 无论温度条件是否适宜, 种子出苗率均显著降低, 甚至无法出苗。较适宜的1 cm埋藏深度能够促进幼苗的生物量累积。温度低于5 ℃时种子出苗率和幼苗生长均受到严重抑制。具体地, 过高的温度(高于20 ℃)和较深的种子埋藏深度(大于2 cm)均不利于山生福禄草种子出苗和幼苗生长; 适宜的温度(10-15 ℃)和较浅的土壤埋藏深度(小于1 cm)最有利于其种子出苗和幼苗生长。此外, 过高的温度可能使幼苗面临较高的死亡风险。海拔对种子出苗率和死亡率无显著影响, 但可显著影响幼苗生长表现。最后, 研究结果暗示, 来自不同种群的种子在环境适应性方面可能存在种群水平上的差异。该研究认为全球气候变暖背景下, 山生福禄草种群面临诸多不确定性风险: 冰缘带颗粒大而松散的土壤基质条件使种子易陷入较深土壤层, 增加了种子出苗困难; 气温升高虽然可能促进幼苗生长, 但同时又极大地增加了幼苗的死亡风险。种子深埋和气候变暖对山生福禄草未来潜在的种群更新过程均可能产生抑制作用。
黄美红, 牛梦秋, 杨鹏飞, 林洁, 廖周瑜, 陈建国, 向建英. 不同温度和埋藏深度对高山垫状植物山生福禄草种子出苗及幼苗生长的影响. 植物生态学报, 2025, 49(12): 2092-2104. DOI: 10.17521/cjpe.2024.0456
HUANG Mei-Hong, NIU Meng-Qiu, YANG Peng-Fei, LIN Jie, LIAO Zhou-Yu, CHEN Jian-Guo, XIANG Jian-Ying. Effects of temperature and burial depth on seedling emergence and growth of the alpine cushion plant Arenaria oreophila. Chinese Journal of Plant Ecology, 2025, 49(12): 2092-2104. DOI: 10.17521/cjpe.2024.0456
| 因子 Factor | 时间 Time (d) | 自由度 numDF | 分母自由度 denDF | F | p |
|---|---|---|---|---|---|
| 出苗率 Seedling emergency | |||||
| 截距 Intercept | 28 | 1 | 85 | 1264.85 | <0.001 |
| 41 | 90 | 1434.59 | <0.001 | ||
| 温度 Temperature | 28 | 2 | 85 | 109.54 | <0.001 |
| 41 | 90 | 11.24 | <0.001 | ||
| 海拔 Altitude | 28 | 1 | 85 | 0.99 | 0.32 |
| 41 | 90 | 2.29 | 0.13 | ||
| 埋深 Burried depth | 28 | 2 | 85 | 209.95 | <0.001 |
| 41 | 90 | 217.55 | <0.001 | ||
| 温度×海拔 Temperature × Altitude | 28 | 2 | 85 | 1.34 | 0.27 |
| 41 | 90 | 8.92 | <0.001 | ||
| 温度×埋深 Temperature × Burried depth | 28 | 4 | 85 | 13.35 | <0.001 |
| 41 | 90 | 0.93 | 0.45 | ||
| 海拔×埋深 Altitude × Burried depth | 28 | 2 | 85 | 0.27 | 0.77 |
| 41 | 90 | 6.07 | <0.01 | ||
| 温度×海拔×埋深 Temperature × Altitude × Burried depth | 28 | 4 | 85 | 1.56 | 0.19 |
| 41 | 90 | 6.25 | <0.001 | ||
| 幼苗株高 Seedling height | |||||
| 截距 Intercept | 1 | 74 | 4 864.89 | <0.001 | |
| 温度 Temperature | 2 | 74 | 91.98 | <0.001 | |
| 海拔 Altitude | 1 | 74 | 26.04 | <0.001 | |
| 埋深 Burried depth | 2 | 74 | 14.16 | <0.001 | |
| 幼苗鲜质量 Seedling fresh mass | |||||
| 截距 Intercept | 1 | 74 | 4 864.89 | <0.001 | |
| 温度 Temperature | 2 | 74 | 91.98 | <0.001 | |
| 海拔 Altitude | 1 | 74 | 26.04 | <0.001 | |
| 埋深 Burried depth | 2 | 74 | 14.16 | <0.001 | |
| 幼苗干质量 Seedling dry mass | |||||
| 截距 Intercept | 1 | 74 | 4 864.89 | <0.001 | |
| 温度 Temperature | 2 | 74 | 91.98 | <0.001 | |
| 海拔 Altitude | 1 | 74 | 26.04 | <0.001 | |
| 埋深 Burried depth | 2 | 74 | 14.16 | <0.001 | |
| 幼苗死亡率 Seedling mortality | |||||
| 截距 Intercept | 1 | 78 | 140.66 | <0.001 | |
| 温度 Temperature | 2 | 78 | 13.61 | <0.001 | |
| 海拔 Altitude | 1 | 78 | 0.73 | 0.39 | |
| 埋深 Burried depth | 2 | 78 | 2.39 | 0.10 | |
表1 温度、海拔及埋藏深度对山生福禄草种子出苗率(第28天和第41天)和幼苗生存表现的影响混合效应模型结果
Table 1 Results of linear mixed-effect models of testing the effects of temperature, altitude and burial depth on seedling emergency (28th and 41st day, respectively) and performances of Arenaria oreophila
| 因子 Factor | 时间 Time (d) | 自由度 numDF | 分母自由度 denDF | F | p |
|---|---|---|---|---|---|
| 出苗率 Seedling emergency | |||||
| 截距 Intercept | 28 | 1 | 85 | 1264.85 | <0.001 |
| 41 | 90 | 1434.59 | <0.001 | ||
| 温度 Temperature | 28 | 2 | 85 | 109.54 | <0.001 |
| 41 | 90 | 11.24 | <0.001 | ||
| 海拔 Altitude | 28 | 1 | 85 | 0.99 | 0.32 |
| 41 | 90 | 2.29 | 0.13 | ||
| 埋深 Burried depth | 28 | 2 | 85 | 209.95 | <0.001 |
| 41 | 90 | 217.55 | <0.001 | ||
| 温度×海拔 Temperature × Altitude | 28 | 2 | 85 | 1.34 | 0.27 |
| 41 | 90 | 8.92 | <0.001 | ||
| 温度×埋深 Temperature × Burried depth | 28 | 4 | 85 | 13.35 | <0.001 |
| 41 | 90 | 0.93 | 0.45 | ||
| 海拔×埋深 Altitude × Burried depth | 28 | 2 | 85 | 0.27 | 0.77 |
| 41 | 90 | 6.07 | <0.01 | ||
| 温度×海拔×埋深 Temperature × Altitude × Burried depth | 28 | 4 | 85 | 1.56 | 0.19 |
| 41 | 90 | 6.25 | <0.001 | ||
| 幼苗株高 Seedling height | |||||
| 截距 Intercept | 1 | 74 | 4 864.89 | <0.001 | |
| 温度 Temperature | 2 | 74 | 91.98 | <0.001 | |
| 海拔 Altitude | 1 | 74 | 26.04 | <0.001 | |
| 埋深 Burried depth | 2 | 74 | 14.16 | <0.001 | |
| 幼苗鲜质量 Seedling fresh mass | |||||
| 截距 Intercept | 1 | 74 | 4 864.89 | <0.001 | |
| 温度 Temperature | 2 | 74 | 91.98 | <0.001 | |
| 海拔 Altitude | 1 | 74 | 26.04 | <0.001 | |
| 埋深 Burried depth | 2 | 74 | 14.16 | <0.001 | |
| 幼苗干质量 Seedling dry mass | |||||
| 截距 Intercept | 1 | 74 | 4 864.89 | <0.001 | |
| 温度 Temperature | 2 | 74 | 91.98 | <0.001 | |
| 海拔 Altitude | 1 | 74 | 26.04 | <0.001 | |
| 埋深 Burried depth | 2 | 74 | 14.16 | <0.001 | |
| 幼苗死亡率 Seedling mortality | |||||
| 截距 Intercept | 1 | 78 | 140.66 | <0.001 | |
| 温度 Temperature | 2 | 78 | 13.61 | <0.001 | |
| 海拔 Altitude | 1 | 78 | 0.73 | 0.39 | |
| 埋深 Burried depth | 2 | 78 | 2.39 | 0.10 | |
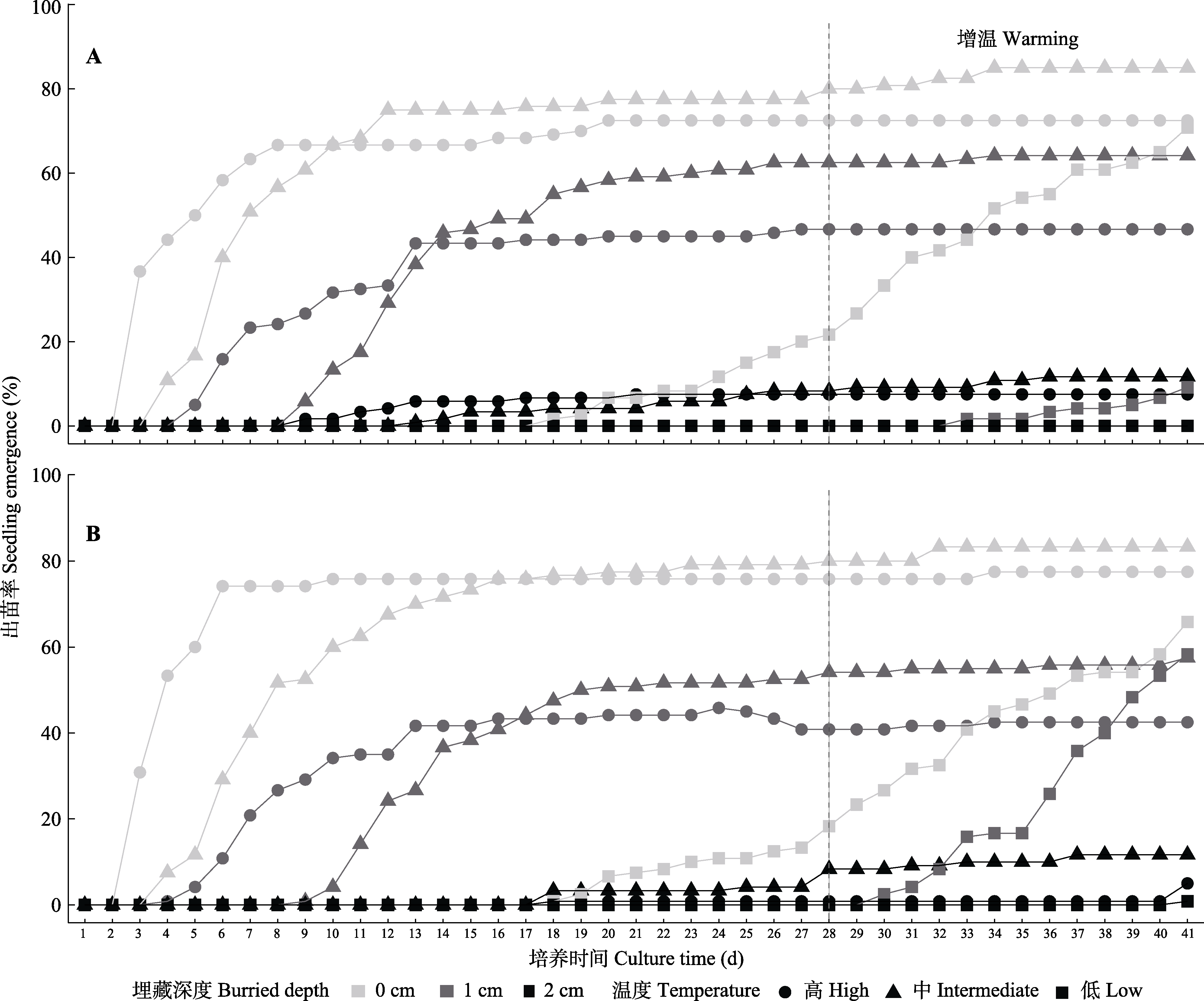
图1 高海拔(A)和低海拔(B)山生福禄草种子在不同温度和土壤埋藏深度条件下随培养时间的出苗率。
Fig. 1 Seedling emergence of Arenaria oreophila seeds from high (A) and low (B) altitude populations, respectively, along with culture time and with different temperature and burial depth.
图2 增温处理前不同海拔种群来源的山生福禄草种子在不同温度及埋藏深度(∎, 0 cm ; ▲, 1 cm; ●, 2 cm)条件下培养后的出苗率(平均值±标准误)。不同小写字母表示相同温度条件下不同埋藏深度间差异显著(p < 0.05)。
Fig. 2 Seedling emergence (mean ± SE) of Arenaria oreophila seeds from different altitude populations cultivated at different temperatures and burial depths (∎, 0 cm ; ▲, 1 cm; ●, 2 cm) before initiation of warming treatment. Different lowercase letters indicate significant difference between groups at different burial depths under the same temperature condition (p < 0.05).
图3 不同海拔种群来源的山生福禄草种子在不同温度及埋藏深度(∎, 0 cm ; ▲, 1 cm; ●, 2 cm)条件下培养后的最终出苗率(A、B)和幼苗死亡率(C、D) (平均值±标准误)。不同小写字母表示相同温度条件下不同埋藏深度的组间差异显著(p < 0.05)。
Fig. 3 Final seedling emergence (A, B) and seedling mortality (C, D) of seeds from different altitude populations cultivated at different temperatures and burial depths (∎, 0 cm ; ▲, 1 cm; ●, 2 cm) (mean ± SE). Different lowercase letters indicate significant difference between groups at different burial depths under the same temperature condition (p < 0.05).
图4 不同种群来源种子的山生福禄草幼苗在不同温度和埋藏深度(∎, 0 cm ; ▲, 1 cm; ●, 2 cm)条件下培养至实验结束时的幼苗株高(平均值±标准误)。不同小写字母表示相同温度条件下不同埋藏深度的组间差异显著(p < 0.05)。
Fig. 4 Final height of Arenaria oreophila seedlings (mean ± SE) from seeds of different populations cultured at different temperatures and burial depths (∎, 0 cm ; ▲, 1 cm; ●, 2 cm) at the end of the experiment. Different lowercase letters indicate significant difference between groups at different burial depths under the same temperature condition (p < 0.05).
图5 不同种群来源种子的山生福禄草幼苗在不同温度和埋藏深度(∎, 0 cm ; ▲, 1 cm; ●, 2 cm)条件下培养至实验结束时的鲜质量(A、B)和干质量(C、D) (平均值±标准误)。不同小写字母表示相同温度条件下不同埋藏深度的组间差异显著(p < 0.05)。
Fig. 5 Fresh (A, B) and dry (C, D) mass (mean ± SE) of Arenaria oreophila seedlings from seeds of different populations cultured at different temperatures and burial depths (∎, 0 cm ; ▲, 1 cm; ●, 2 cm) at the end of the experiment. Different lowercase letters indicate significant difference between groups at different burial depths under the same temperature condition (p < 0.05).
| [1] |
Arroyo MTK, Cavieres LA, Peñaloza A, Arroyo-Kalin MA (2003). Positive associations between the cushion plant Azorella monantha (Apiaceae) and alpine plant species in the Chilean Patagonian Andes. Plant Ecology, 169, 121-129.
DOI |
| [2] |
Badano EI, Cavieres LA (2006). Ecosystem engineering across ecosystems: Do engineer species sharing common features have generalized or idiosyncratic effects on species diversity? Journal of Biogeography, 33, 304-313.
DOI URL |
| [3] |
Badano EI, Jones CG, Cavieres LA, Wright JP (2006). Assessing impacts of ecosystem engineers on community organization: a general approach illustrated by effects of a high-Andean cushion plant. Oikos, 115, 369-385.
DOI URL |
| [4] |
Badano EI, Marquet PA (2008). Ecosystem engineering affects ecosystem functioning in high-Andean landscapes. Oecologia, 155, 821-829.
DOI PMID |
| [5] |
Bascompte J, Jordano P (2007). Plant-animal mutualistic networks: the architecture of biodiversity. Annual Review of Ecology, Evolution, and Systematics, 38, 567-593.
DOI URL |
| [6] | Bascompte J, Jordano P (2013). Mutualistic Networks. Princeton University Press, Princeton. |
| [7] | Baskin CC, Baskin JM (2014). Seeds: Ecology, Biogeography, and Evolution of Dormancy, and Germination. 2nd ed. Academic Press, San Diego, USA. |
| [8] |
Borchert MI, Davis FW, Michaelsen J, Oyler LD (1989). Interactions of factors affecting seedling recruitment of blue oak (Quercus douglasii) in California. Ecology, 70, 389-404.
DOI URL |
| [9] |
Brighenti S, Hotaling S, Finn DS, Fountain AG, Hayashi M, Herbst D, Saros JE, Tronstad LM, Millar CI (2021). Rock glaciers and related cold rocky landforms: overlooked climate refugia for mountain biodiversity. Global Change Biology, 27, 1504-1517.
DOI PMID |
| [10] |
Burkart M, Alsleben K, Lachmuth S, Schumacher J, Hofmann R, Jeltsch F, Schurr FM (2010). Recruitment requirements of the rare and threatened Juncus atratus. Flora, 205, 583-589.
DOI URL |
| [11] | Callaway RM (2007). Positive Interactions and Inter-dependence in Plant Communities. Springer, Dordrecht, the Netherlands. |
| [12] |
Carrillo-Garcia Á, León De La Luz JL, Bashan Y, Bethlenfalvay GJ(1999). Nurse plants, mycorrhizae, and plant establishment in a disturbed area of the Sonoran Desert. Restoration Ecology, 7, 321-335.
DOI URL |
| [13] |
Casanova-Katny MA, Torres-Mellado GA, Palfner G, Cavieres LA (2011). The best for the guest: high Andean nurse cushions of Azorella madreporica enhance arbuscular mycorrhizal status in associated plant species. Mycorrhiza, 21, 613-622.
DOI PMID |
| [14] |
Cavieres LA, Badano EI (2009). Do facilitative interactions increase species richness at the entire community level? Journal of Ecology, 97, 1181-1191.
DOI URL |
| [15] |
Cavieres LA, Brooker RW, Butterfield BJ, Cook BJ, Kikvidze Z, Lortie CJ, Michalet R, Pugnaire FI, Schöb C, Xiao S, Anthelme F, Björk RG, Dickinson KJM, Cranston BH, Gavilán R, et al. (2014). Facilitative plant interactions and climate simultaneously drive alpine plant diversity. Ecology Letters, 17, 193-202.
DOI PMID |
| [16] |
Cavieres LA, Hernández-Fuentes C, Sierra-Almeida A, Kikvidze Z (2016). Facilitation among plants as an insurance policy for diversity in Alpine communities. Functional Ecology, 30, 52-59.
DOI URL |
| [17] |
Chang S, Chen JG, Su JQ, Yang Y, Sun H (2018). Seasonal comparison of bacterial communities in rhizosphere of alpine cushion plants in the Himalayan Hengduan Mountains. Plant Diversity, 40, 209-216.
DOI PMID |
| [18] | Chen JG, Chen XF, Qian LS, Zhang YZ, Li B, Shi HH, Sun L, Schöb C, Sun H (2024a). Degeneration of foundation cushion species induced by ecological constraints can cause massive changes in alpine plant communities. Science China: Life Sciences, 67, 789-802. |
| [19] |
Chen JG, He XF, Wang SW, Yang Y, Sun H (2019). Cushion and shrub ecosystem engineers contribute differently to diversity and functions in alpine ecosystems. Journal of Vegetation Science, 30, 362-374.
DOI URL |
| [20] |
Chen JG, Schöb C, Zhou Z, Gong QB, Li XH, Yang Y, Li ZM, Sun H (2015a). Cushion plants can have a positive effect on diversity at high elevations in the Himalayan Hengduan Mountains. Journal of Vegetation Science, 26, 768-777.
DOI URL |
| [21] | Chen JG, Yang Y, Stöcklin J, Cavieres LA, Peng DL, Li ZM, Sun H (2015b). Soil nutrient availability determines the facilitative effects of cushion plants on other plant species at high elevations in the south-eastern Himalayas. Plant Ecology & Diversity, 8, 199-210. |
| [22] |
Chen JG, Yang Y, Wang SW, Stöcklin J, Peng DL, Sun H (2020). Recruitment of the high elevation cushion plant Arenaria polytrichoides is limited by competition, thus threatened by currently established vegetation. Journal of Systematics and Evolution, 58, 59-68.
DOI URL |
| [23] | Chen JG, Zhang YZ, Zhang HR, Schöb C, Wang SW, Chang S, Sun H (2021). The positive effects of the alpine cushion plant Arenaria polytrichoides on insect dynamics are determined by both physical and biotic factors. Science of the Total Environment, 762,14309. DOI: 10.1016/j.scitotenv.2020.143091. |
| [24] | Chen XF, Qian LS, Shi HH, Zhang YZ, Song MS, Sun H, Chen JG (2024b). Allelopathic potentials of surrounding vegetation on seedling establishment of alpine cushion Arenaria polytrichoides. Journal of Plant Ecology, 17, rtae026. DOI: 10.1093/jpe/rtae045. |
| [25] |
Donath TW, Hölzel N, Otte A (2006). Influence of competition by sown grass, disturbance and litter on recruitment of rare flood-meadow species. Biological Conservation, 130, 315-323.
DOI URL |
| [26] |
Dullinger S, Gattringer A, Thuiller W, Moser D, Zimmermann NE, Guisan A, Willner W, Plutzar C, Leitner M, Ekrtová E, Košnar J (2012). Habitat-related variation in seedling recruitment of Gentiana pannonica. Acta Oecologica, 45, 88-97.
DOI URL |
| [27] |
Ekrtova E, Kosnar J (2012). Habitat-related variation in seedling recruitment of Gentiana pannonica. Acta Oecologica-International Journal of Ecology, 45, 88-97.
DOI URL |
| [28] |
Elsen PR, Tingley MW (2015). Global mountain topography and the fate of montane species under climate change. Nature Climate Change, 5, 772-776.
DOI |
| [29] | Fenner M, Thompson K (2005). The Ecology of Seeds. Cambridge University Press, Cambridge, UK. |
| [30] |
Fernández-Pascual E, Carta A, Mondoni A, Cavieres LA, Rosbakh S, Venn S, Satyanti A, Guja L, Briceño VF, Vandelook F, Mattana E, Saatkamp A, Bu HY, Sommerville K, Poschlod P, et al. (2021). The seed germination spectrum of alpine plants: a global meta-analysis. New Phytologist, 229, 3573-3586.
DOI PMID |
| [31] |
Finch-Savage WE, Leubner-Metzger G (2006). Seed dormancy and the control of germination. New Phytologist, 171, 501-523.
DOI PMID |
| [32] |
Frei ES, Scheepens JF, Stöcklin J (2012). Dispersal and microsite limitation of a rare alpine plant. Plant Ecology, 213, 395-406.
DOI URL |
| [33] |
Gavini SS, Ezcurra C, Aizen MA (2020). Patch-level facilitation fosters high-Andean plant diversity at regional scales. Journal of Vegetation Science, 31, 1133-1143.
DOI URL |
| [34] |
Gottfried M, Pauli H, Futschik A, Akhalkatsi M, Barančok P, Benito Alonso JL, Coldea G, Dick J, Erschbamer B, Fernández Calzado MR, Kazakis G, Krajči J, Larsson P, Mallaun M, Michelsen O, et al. (2012). Continent-wide response of mountain vegetation to climate change. Nature Climate Change, 2, 111-115.
DOI |
| [35] |
Graae BJ, Ejrnæs R, Lang SI, Meineri E, Ibarra PT, Bruun HH (2011). Strong microsite control of seedling recruitment in tundra. Oecologia, 166, 565-576.
DOI PMID |
| [36] |
Guo CR, Lu JQ, Yang DZ, Zhao LP (2009). Impacts of burial and insect infection on germination and seedling growth of acorns of Quercus variabilis. Forest Ecology and Management, 258, 1497-1502.
DOI URL |
| [37] |
Guo CR, Wang ZL, Lu JQ (2010). Seed germination and seedling development of Prunus armeniaca under different burial depths in soil. Journal of Forestry Research, 21, 492-496.
DOI URL |
| [38] | Guo Ke, Li Rui, Werger MJA (2001). Effect of acorn burying depth on germination, seedling emergence and development of Quercus aliena var. acuteserrata. Acta Botanica Sinica, 43, 974-978. |
| [郭柯, 李睿, Werger MJA (2001). 锐齿槲栎橡子埋藏深度对发芽、幼苗出土和发育的影响. 植物学报, 43, 974-978.] | |
| [39] |
Jones CG, Lawton JH, Shachak M (1994). Organisms as ecosystem engineers. Oikos, 69, 373.
DOI URL |
| [40] |
Kikvidze Z, Brooker RW, Butterfield BJ, Callaway RM, Cavieres LA, Cook BJ, Lortie CJ, Michalet R, Pugnaire FI, Xiao S, Anthelme F, Björk RG, Cranston BH, Gavilán RG, Kanka R, et al. (2015). The effects of foundation species on community assembly: a global study on alpine cushion plant communities. Ecology, 96, 2064-2069.
PMID |
| [41] |
Klanderud K (2010). Species recruitment in alpine plant communities: the role of species interactions and productivity. Journal of Ecology, 98, 1128-1133.
DOI URL |
| [42] | Körner C (2003). Alpine Plant Life: Functional Plant Ecology of High Mountain Ecosystems. 2nd ed. Springer, New York. |
| [43] |
Koutsovoulou K, Daws MI, Thanos CA (2014). Campanulaceae: a family with small seeds that require light for germination. Annals of Botany, 113, 135-143.
DOI PMID |
| [44] | Losapio G, Fortuna MA, Bascompte J, Schmid B, Michalet R, Neumeyer R, Castro L, Cerretti P, Germann C, Haenni JP, Klopfstein S, Ortiz-Sanchez FJ, Pont AC, Rousse P, Schmid J, Sommaggio D, Schöb C (2019). Plant interactions shape pollination networks via nonadditive effects. Ecology, 100, e02619. DOI: 10.1002/ecy.2619. |
| [45] |
Losapio G, Schöb C (2017). Resistance of plant-plant networks to biodiversity loss and secondary extinctions following simulated environmental changes. Functional Ecology, 31, 1145-1152.
DOI URL |
| [46] | Lüscher A, Stäheli B, Braun R, Nösberger J (2001). Leaf area, competition with grass, and clover cultivar: key factors to successful overwintering and fast regrowth of white clover (Trifolium repens L.) in spring. Annals of Botany, 88, 725-735. |
| [47] | Ma HY, Liang ZW, Yan C, Chen Y, Huang LH (2007). Effects of sand-burial depth on Leymus chinensis seedlings emergence and growth. Chinese Journal of Ecology, 26, 2003-2007. |
| [马红媛, 梁正伟, 闫超, 陈渊, 黄立华 (2007). 四种沙埋深度对羊草种子出苗和幼苗生长的影响. 生态学杂志, 26, 2003-2007.] | |
| [48] |
Mennan H, Zandstra BH (2006). The effects of depth and duration of seed burial on viability, dormancy, germination, and emergence of ivyleaf speedwell (Veronica hederifolia). Weed Technology, 20, 438-444.
DOI URL |
| [49] | Molenda O, Reid A, Lortie CJ (2012). The alpine cushion plant Silene acaulis as foundation species: a bug’s-eye view to facilitation and microclimate. PLoS ONE, 7, e37223. DOI: 10.1371/journal.pone.0037223. |
| [50] |
Molina-Montenegro MA, Badano EI, Cavieres LA (2006). Cushion plants as microclimatic shelters for two ladybird beetles species in alpine zone of central Chile. Arctic, Antarctic, and Alpine Research, 38, 224-227.
DOI URL |
| [51] |
Peng DL, Hu XJ, Yang J, Sun H (2018). Seed dormancy, germination and soil seed bank of Lamiophlomis rotata and Marmoritis complanatum (Labiatae), two endemic species from Himalaya-Hengduan Mountains. Plant Biosystems, 152, 642-648.
DOI URL |
| [52] |
Peng DL, Ou XK, Xu B, Zhang ZQ, Niu Y, Li ZM, Sun H (2014). Plant sexual systems correlated with morphological traits: reflecting reproductive strategies of alpine plants. Journal of Systematics and Evolution, 52, 368-377.
DOI URL |
| [53] | Reid AM, Lortie CJ (2012). Cushion plants are foundation species with positive effects extending to higher trophic levels. Ecosphere, 3, 1-18. |
| [54] |
Roy J, Albert CH, Ibanez S, Saccone P, Zinger L, Choler P, Clément JC, Lavergne S, Geremia RA (2013). Microbes on the cliff: alpine cushion plants structure bacterial and fungal communities. Frontiers in Microbiology, 4, 64. DOI: 10.3389/fmicb.2013.00064.
PMID |
| [55] |
Schielzeth H, Dingemanse NJ, Nakagawa S, Westneat DF, Allegue H, Teplitsky C, Réale D, Dochtermann NA, Garamszegi LZ, Araya-Ajoy YG (2020). Robustness of linear mixed-effects models to violations of distributional assumptions. Methods in Ecology and Evolution, 11, 1141-1152.
DOI |
| [56] |
Schöb C, Armas C, Pugnaire FI (2013). Direct and indirect interactions co-determine species composition in nurse plant systems. Oikos, 122, 1371-1379.
DOI URL |
| [57] | Song B, Stöcklin J, Zhang ZQ, Yang Y, Sun H (2013). Seed and microsite limitation in Rheum nobile, a rare and endemic plant from the subnival zone of Sino-Himalaya. Plant Ecology & Diversity, 6, 503-509. |
| [58] | Wang XJ, Zhou XH, Zhang MT, Ge WJ, Yang GC, Zhou HK, Ma L, Liu K, Qi W, Bu HY (2024). Influence of seed mass and shape on light plasticity of germination of alpine plants on the Tibetan Plateau: the role of photoblastic taxa, dispersal ability, and life history. Global Ecology and Conservation, 51, e02896. DOI: 10.1016/j.gecco.2024.e02896. |
| [59] |
Yang Y, Niu Y, Cavieres LA, Sun H (2010). Positive associations between the cushion plant Arenaria polytrichoides (Caryophyllaceae) and other alpine plant species increase with altitude in the Sino-Himalayas. Journal of Vegetation Science, 21, 1048-1057.
DOI URL |
| [60] |
Zhao DS, Wu SH, Yin YH, Yin ZY (2011). Vegetation distribution on Tibetan Plateau under climate change scenario. Regional Environmental Change, 11, 905-915.
DOI URL |
| [61] |
Zhou RY, Yang PF, Chen XF, Song MS, Sun H, Chen JG (2025). Simulated climate warming strongly constrains the seedling establishment of alpine cushion Arenaria oreophila. Plant Diversity, 47, 889-898.
DOI URL |
| [1] | 韦鑫, 江蓝, 郑晨成, 朱静, 陈博, 李文周, 赖淑瑜, 刘金福, 何中声. 戴云山海拔梯度木本植物性系统分布特征及其影响因素[J]. 植物生态学报, 2026, 50(预发表): 1-. |
| [2] | 田地, 迟小龙, 石亮, 刘宵含, 赵常提, 吴梅, 张玉忠, 高永亮. 塞罕坝地区优势造林树种叶片化学计量特征及其环境驱动[J]. , 2026, 50(化学计量与功能性状): 0-. |
| [3] | 张琳, 袁伟影, 宋创业, 吴冬秀. 1998-2010年中国典型生态系统长期监测样地环境要素、物种丰富度和生物量动态数据集[J]. 植物生态学报, 2025, 49(8): 1182-1190. |
| [4] | 范亚冉, 夏少攀, 于冰冰, 朱紫琪, 杨威, 范豫川, 刘晓雨, 张旭辉, 郑聚锋. 大气CO2浓度升高和增温对土壤有机碳库积累、分子组成和结构稳定性的影响[J]. 植物生态学报, 2025, 49(7): 1053-1069. |
| [5] | 王堃莹, 邱贵福, 刘子赫, 孟君, 刘宇轩, 贾国栋. 气候变化对不同退化程度小叶杨林分生长和内在水分利用效率的调节[J]. 植物生态学报, 2025, 49(2): 343-355. |
| [6] | 竹万宽, 许宇星, 黄润霞, 杜阿朋, 王志超. 雷州半岛桉树人工林生态系统水分利用效率旱雨季差异及其控制因素[J]. 植物生态学报, 2025, 49(12): 2015-2029. |
| [7] | 贺艺, 周静, 陈宸, 房庭舟, 苏剑, 高浩杰, 曹嘉浩, 杨飞宇, 范淇博, 朱乐瑶, 陈薏名, 杨飞, 王毅腾, 冯雷, 刘飞, 梁爽, 蒋明凯, 陈军, 赵云鹏, 陈伟乐, 赵颖, 黄建国. 浙江海岛濒危树种的保护与恢复[J]. 植物生态学报, 2025, 49(10): 1583-1599. |
| [8] | 付照琦, 胡旭, 田沁瑞, 葛艳灵, 周红娟, 吴小云, 陈立欣. 晋西黄土区2种典型森林树种夜间液流特征及对环境因子的响应[J]. 植物生态学报, 2024, 48(9): 1128-1142. |
| [9] | 史倩, 同小娟, 许玲玲, 孟平, 于裴洋, 李俊, 杨铭鑫. 油松早晚材径向生长对气候因子的响应[J]. 植物生态学报, 2024, 48(8): 988-1000. |
| [10] | 张鹏, 焦亮, 薛儒鸿, 魏梦圆, 杜达石, 吴璇, 王旭鸽, 李倩. 干旱强度影响祁连山西段不同海拔青海云杉的生长恢复[J]. 植物生态学报, 2024, 48(8): 977-987. |
| [11] | 陈以恒, 玉素甫江•如素力, 阿卜杜热合曼•吾斯曼. 2001-2020年天山新疆段草地植被覆盖度时空变化及驱动因素分析[J]. 植物生态学报, 2024, 48(5): 561-576. |
| [12] | 梁逸娴, 王传宽, 臧妙涵, 上官虹玉, 刘逸潇, 全先奎. 落叶松径向生长和生物量分配对气候变暖的响应[J]. 植物生态学报, 2024, 48(4): 459-468. |
| [13] | 臧妙涵, 王传宽, 梁逸娴, 刘逸潇, 上官虹玉, 全先奎. 基于纬度移栽的落叶松叶、枝、根生态化学计量特征对气候变暖的响应[J]. 植物生态学报, 2024, 48(4): 469-482. |
| [14] | 张计深, 史新杰, 刘宇诺, 吴阳, 彭守璋. 气候变化下中国潜在自然植被生态系统碳储量动态[J]. 植物生态学报, 2024, 48(4): 428-444. |
| [15] | 盘远方, 潘良浩, 邱思婷, 邱广龙, 苏治南, 史小芳, 范航清. 中国沿海红树林树高变异与环境适应机制[J]. 植物生态学报, 2024, 48(4): 483-495. |
| 阅读次数 | ||||||
|
全文 |
|
|||||
|
摘要 |
|
|||||
Copyright © 2026 版权所有 《植物生态学报》编辑部
地址: 北京香山南辛村20号, 邮编: 100093
Tel.: 010-62836134, 62836138; Fax: 010-82599431; E-mail: apes@ibcas.ac.cn, cjpe@ibcas.ac.cn
备案号: 京ICP备16067583号-19