植物生态学报 ›› 2025, Vol. 49 ›› Issue (12): 2069-2079.DOI: 10.17521/cjpe.2025.0014 cstr: 32100.14.cjpe.2025.0014
张旭东1,2, 刘波1,*(
), 张丹2, 武海涛1, 潘媛1, 郑皓文1, 李蕊1, 严硕1, 申敏琰1, 赖明子1
收稿日期:2025-01-09
接受日期:2025-04-08
出版日期:2025-12-20
发布日期:2025-04-09
通讯作者:
*刘波(liubo@iga.ac.cn)基金资助:
ZHANG Xu-Dong1,2, LIU Bo1,*(
), ZHANG Dan2, WU Hai-Tao1, PAN Yuan1, ZHENG Hao-Wen1, LI Rui1, YAN Shuo1, SHEN Min-Yan1, LAI Ming-Zi1
Received:2025-01-09
Accepted:2025-04-08
Online:2025-12-20
Published:2025-04-09
Supported by:摘要:
水深是湿地生态系统的关键环境因素, 影响植物的生长更新和分布格局。作为自然生态系统的重要组成部分, 凋落物通过消光效应、机械阻碍和化感作用等多种途径影响植物幼苗的更新。湿地生态系统由于淹水和厌氧等环境条件的影响, 凋落物积累量更大。但目前关于凋落物覆盖和水深变化交互作用对植物幼苗更新的研究鲜有报道。该研究在移动遮雨棚模拟野外环境条件, 分析了不同水深变化(湿润、水分饱和及淹水)及凋落物覆盖量(0、500、1 000、1 500 g·m-2)对稗(Echinochloa crus-galli)、无芒稗(E. crus-galli var. mitis)、鬼针草(Bidens pilosa)和泽泻(Alisma plantago-aquatica)种子萌发及出苗的影响。结果表明: 稗、无芒稗和泽泻种子萌发与出苗均受凋落物覆盖、水深变化及其交互作用的显著影响, 而鬼针草仅受凋落物覆盖的显著影响。凋落物覆盖使鬼针草萌发率和出苗率分别下降了59.4%-96.9%和94.4%-100.0%; 处于凋落物下方的鬼针草种子萌发率比处于凋落物上方的萌发率大幅降低了94%, 说明凋落物覆盖产生的消光效应是限制鬼针草种子萌发的主要原因。泽泻种子在土壤湿润条件下萌发率几乎为0, 而在水分饱和或淹水环境, 萌发率增加至30%以上, 说明充足的水分对于泽泻种子萌发至关重要; 在水分饱和或淹水处理, 泽泻种子在凋落物覆盖下有29%-60%的种子可以萌发, 但能够穿过凋落物层的种苗仅为1.5%-17%, 凋落物覆盖产生的机械阻碍作用应该是影响其种苗更新的关键因素。该研究为理解环境变化下湿地植被分布格局和演替动态提供了科学依据, 对湿地植被生态恢复和科学管理具有重要意义。
张旭东, 刘波, 张丹, 武海涛, 潘媛, 郑皓文, 李蕊, 严硕, 申敏琰, 赖明子. 湿地植物对土壤水分变化与凋落物覆盖的差异化响应. 植物生态学报, 2025, 49(12): 2069-2079. DOI: 10.17521/cjpe.2025.0014
ZHANG Xu-Dong, LIU Bo, ZHANG Dan, WU Hai-Tao, PAN Yuan, ZHENG Hao-Wen, LI Rui, YAN Shuo, SHEN Min-Yan, LAI Ming-Zi. Differential responses of wetland plant species to water depth changes and litter cover. Chinese Journal of Plant Ecology, 2025, 49(12): 2069-2079. DOI: 10.17521/cjpe.2025.0014
| 物种 Species | 因素 Factor | 自由度 df | F | p |
|---|---|---|---|---|
| 稗 Echinochloa crus-galli | 凋落物量 Litter amount | 3 | 44.342 | <0.001 |
| 水深 Water depth | 2 | 101.853 | <0.001 | |
| 凋落物量×水深 Litter amount × water depth | 6 | 12.195 | <0.001 | |
| 无芒稗 Echinochloa crus-galli var. mitis | 凋落物量 Litter amount | 3 | 34.152 | <0.001 |
| 水深变化 Water depth | 2 | 19.946 | <0.001 | |
| 凋落物量×水深 Litter amount × water depth | 6 | 4.268 | 0.002 | |
| 鬼针草 Bidens pilosa | 凋落物量 Litter amount | 3 | 287.734 | <0.001 |
| 水深变化 Water depth | 2 | 2.549 | 0.092 | |
| 凋落物量×水深 Litter amount × water depth | 6 | 2.266 | 0.059 | |
| 泽泻 Alisma plantago-aquatica | 凋落物量 Litter amount | 3 | 9.995 | <0.001 |
| 水深变化 Water depth | 2 | 198.117 | <0.001 | |
| 凋落物量×水深 Litter amount × water depth | 6 | 3.312 | 0.011 |
表1 凋落物覆盖与水深变化及其交互作用对4种植物种子萌发率影响的方差分析
Table 1 Analysis of variance (ANOVA) on the effects of litter cover, water depth, and their interaction on the germination rate of four plant species
| 物种 Species | 因素 Factor | 自由度 df | F | p |
|---|---|---|---|---|
| 稗 Echinochloa crus-galli | 凋落物量 Litter amount | 3 | 44.342 | <0.001 |
| 水深 Water depth | 2 | 101.853 | <0.001 | |
| 凋落物量×水深 Litter amount × water depth | 6 | 12.195 | <0.001 | |
| 无芒稗 Echinochloa crus-galli var. mitis | 凋落物量 Litter amount | 3 | 34.152 | <0.001 |
| 水深变化 Water depth | 2 | 19.946 | <0.001 | |
| 凋落物量×水深 Litter amount × water depth | 6 | 4.268 | 0.002 | |
| 鬼针草 Bidens pilosa | 凋落物量 Litter amount | 3 | 287.734 | <0.001 |
| 水深变化 Water depth | 2 | 2.549 | 0.092 | |
| 凋落物量×水深 Litter amount × water depth | 6 | 2.266 | 0.059 | |
| 泽泻 Alisma plantago-aquatica | 凋落物量 Litter amount | 3 | 9.995 | <0.001 |
| 水深变化 Water depth | 2 | 198.117 | <0.001 | |
| 凋落物量×水深 Litter amount × water depth | 6 | 3.312 | 0.011 |
| 物种 Species | 因素 Factor | 自由度 df | F | p |
|---|---|---|---|---|
| 稗 Echinochloa crus-galli | 凋落物量 Litter amount | 3 | 143.965 | <0.001 |
| 水深 Water depth | 2 | 84.980 | <0.001 | |
| 凋落物量×水深 Litter amount × water depth | 6 | 11.317 | <0.001 | |
| 无芒稗 Echinochloa crus-galli var. mitis | 凋落物量 Litter amount | 3 | 159.128 | <0.001 |
| 水深 Water depth | 2 | 8.464 | <0.001 | |
| 凋落物量×水深 Litter amount × water depth | 6 | 2.654 | 0.031 | |
| 鬼针草 Bidens pilosa | 凋落物量 Litter amount | 3 | 652.393 | <0.001 |
| 水深 Water depth | 2 | 2.447 | 0.101 | |
| 凋落物量×水深 Litter amount × water depth | 6 | 2.169 | 0.069 | |
| 泽泻 Alisma plantago-aquatica | 凋落物量 Litter amount | 3 | 68.739 | <0.001 |
| 水深 Water depth | 2 | 35.085 | <0.001 | |
| 凋落物量×水深 Litter amount × water depth | 6 | 13.205 | <0.001 |
表2 凋落物覆盖与水深变化及其交互作用对4种植物种子出苗率影响的方差分析
Table 2 Analysis of variance (ANOVA) on the effects of litter cover, water depth, and their interaction on the emergence rate of four plant species
| 物种 Species | 因素 Factor | 自由度 df | F | p |
|---|---|---|---|---|
| 稗 Echinochloa crus-galli | 凋落物量 Litter amount | 3 | 143.965 | <0.001 |
| 水深 Water depth | 2 | 84.980 | <0.001 | |
| 凋落物量×水深 Litter amount × water depth | 6 | 11.317 | <0.001 | |
| 无芒稗 Echinochloa crus-galli var. mitis | 凋落物量 Litter amount | 3 | 159.128 | <0.001 |
| 水深 Water depth | 2 | 8.464 | <0.001 | |
| 凋落物量×水深 Litter amount × water depth | 6 | 2.654 | 0.031 | |
| 鬼针草 Bidens pilosa | 凋落物量 Litter amount | 3 | 652.393 | <0.001 |
| 水深 Water depth | 2 | 2.447 | 0.101 | |
| 凋落物量×水深 Litter amount × water depth | 6 | 2.169 | 0.069 | |
| 泽泻 Alisma plantago-aquatica | 凋落物量 Litter amount | 3 | 68.739 | <0.001 |
| 水深 Water depth | 2 | 35.085 | <0.001 | |
| 凋落物量×水深 Litter amount × water depth | 6 | 13.205 | <0.001 |
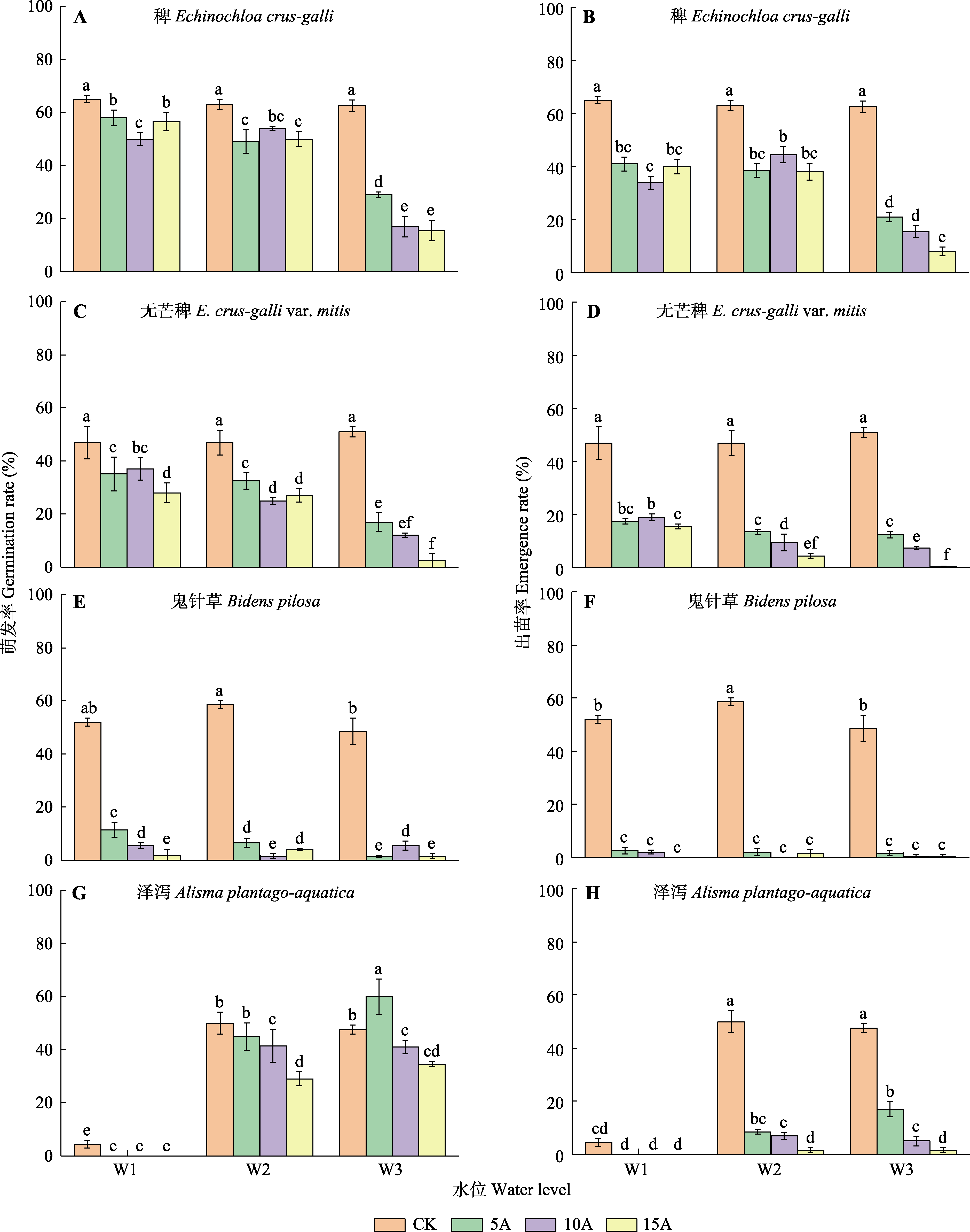
图1 不同水位下凋落物覆盖量对4种植物种子萌发率和出苗率的影响(平均值±标准误)。CK, 无凋落物覆盖; 5A, 500 g·m-2凋落物覆盖; 10A, 1 000 g·m-2凋落物覆盖; 15A, 1 500 g·m-2凋落物覆盖。W1, 土壤湿润; W2, 土壤水分饱和; W3, 淹水。不同小写字母表示不同凋落物覆盖量下的萌发率或出苗率存在显著差异(p < 0.05)。
Fig. 1 Effects of litter cover under different water depths on the germination and seedling emergence rates of four plant species (mean ± SE). CK, no litter cover; 5A, 500 g·m-2 litter cover; 10A, 1 000 g·m-2 litter cover; 15A, 1 500 g·m-2 litter cover. W1, moist soil conditions; W2, saturated soil conditions; W3, flooded conditions. Different lowercase letters indicate significant differences in germination or emergence rates among different levels of litter cover (p < 0.05).
图2 种子位置对4种植物种子萌发率和出苗率的影响(平均值±标准误)。CK, 无凋落物覆盖; 5A, 上层覆盖播种; 5B, 底层覆盖播种。不同小写字母表示种子处于不同凋落物覆盖位置时的萌发率或出苗率存在显著差异(p < 0.05)。
Fig. 2 Effects of seed position on the germination and seedling emergence rates of four plant species (mean ± SE). CK, no litter cover; 5A indicates seeding under litter cover; 5B indicates seeding above litter cover. Different lowercase letters indicate significant differences in germination or emergence rates among different seeding positions relative to litter cover (p < 0.05).
图3 凋落物类型对4种植物种子萌发率和出苗率的影响(平均值±标准误)。CK, 无凋落物覆盖; 5A, 自然凋落物; 5C, 塑料凋落物。不同小写字母表示不同类型凋落物覆盖下的种子萌发率或出苗率存在显著差异(p < 0.05)。
Fig. 3 Effects of litter type on the germination and seedling emergence rates of four plant species (mean ± SE). CK, no litter cover; 5A, natural litter; 5C, plastic litter. Different lowercase letters indicate significant differences in germination or emergence rates among different types of litter cover (p < 0.05).
| [1] | Berg B, Staaf H (1981). Leaching, accumulation and release of nitrogen in decomposing forest litter. Ecological Bulletins, 163-178. |
| [2] |
Bonanomi G, Incerti G, Abd El-Gawad AM, Cesarano G, Sarker TC, Saulino L, Lanzotti V, Saracino A, Rego FC, Mazzoleni S (2018). Comparing chemistry and bioactivity of burned vs. decomposed plant litter: different pathways but same result? Ecology, 99, 158-171.
DOI PMID |
| [3] |
Bosy JL, Reader RJ (1995). Mechanisms underlying the suppression of forb seedling emergence by grass (Poa pratensis) litter. Functional Ecology, 9, 635-639.
DOI URL |
| [4] | Cai RR, Liu YG, Shen LD, Zheng XB, Dai GH (2024). A dataset of litter recovery amount and stock dynamics in broad-leaved Korean pine forests in Changbai Mountain (2011-2020). China Scientific Data, 9(4), 222-230. |
| [蔡榕榕, 刘雅各, 沈历都, 郑兴波, 戴冠华 (2024). 2011-2020年长白山阔叶红松林凋落物回收量和现存量动态数据集. 中国科学数据, 9(4), 222-230.] | |
| [5] |
Campbell G, Lambert JDH, Arnason T, Neil Towers GH (1982). Allelopathic properties of α-terthienyl and phenylheptatriyne, naturally occurring compounds from species of Asteraceae. Journal of Chemical Ecology, 8, 961-972.
DOI PMID |
| [6] |
Carson WP, Peterson CJ (1990). The role of litter in an old-field community: impact of litter quantity in different seasons on plant species richness and abundance. Oecologia, 85, 8-13.
DOI PMID |
| [7] |
Castle S, Rejmánková E, Foley J, Parmenter S (2019). Hydrologic alterations impact plant litter decay rate and ecosystem resilience in Mojave wetlands. Restoration Ecology, 27, 1094-1104.
DOI URL |
| [8] |
Cerdà A, Doerr SH (2008). The effect of ash and needle cover on surface runoff and erosion in the immediate post-fire period. Catena, 74, 256-263.
DOI URL |
| [9] |
Deba F, Xuan TD, Yasuda M, Tawata S (2007). Herbicidal and fungicidal activities and identification of potential phytotoxins from Bidens pilosa L. var. radiata Scherff. Weed Biology and Management, 7, 77-83.
DOI URL |
| [10] | Ding JP, Luo YQ (2022). Effect of litter water extraction of Artemisia halodendron on seed germination of four forage species. Environmental Ecology, 4(8), 40-46. |
| [丁杰萍, 罗永清 (2022). 差巴嘎蒿凋落物水浸提液对4种牧草种子萌发的影响研究. 环境生态学, 4(8), 40-46.] | |
| [11] |
Facelli JM, Pickett STA (1991). Plant litter: Light interception and effects on an old-field plant community. Ecology, 72, 1024-1031.
DOI URL |
| [12] |
Facelli JM, Williams R, Fricker S, Ladd B (1999). Establishment and growth of seedlings of Eucalyptus obliqua: interactive effects of litter, water, and pathogens. Australian Journal of Ecology, 24, 484-494.
DOI URL |
| [13] |
Fahey C, Angelini C, Flory SL (2018). Grass invasion and drought interact to alter the diversity and structure of native plant communities. Ecology, 99, 2692-2702.
DOI PMID |
| [14] | Fay PA, Guntenspergen GR, Olker JH, Johnson WC (2016). Climate change impacts on freshwater wetland hydrology and vegetation cover cycling along a regional aridity gradient. Ecosphere, 7, e01504. DOI: 10.1002/ecs2.1504. |
| [15] |
Geißler C, Kühn P, Böhnke M, Bruelheide H, Shi X, Scholten T (2012). Splash erosion potential under tree canopies in subtropical SE China. Catena, 91, 85-93.
DOI URL |
| [16] | Gong YW, Wang L, Tan Y, Chen G, Zhang ZX, Yang HJ (2021). Distribution characteristics and seasonal dynamics of litter in a headwater stream bed of the Changbai Mountain. Ecological Science, 40(2), 74-81. |
| [宫雨薇, 王璐, 谭颖, 陈鸽, 张振兴, 杨海军 (2021). 长白山源头溪流河床凋落物的分布特征及季节动态. 生态科学, 40(2), 74-81.] | |
| [17] | Grice AC, Vanderduys EP, Perry JJ, Cook GD (2013). Patterns and processes of invasive grass impacts on wildlife in Australia. Wildlife Society Bulletin, 37, 478-485. |
| [18] |
Hodkinson DJ, Askew AP, Thompson K, Hodgson JG, Bakker JP, Bekker RM (1998). Ecological correlates of seed size in the British flora. Functional Ecology, 12, 762-766.
DOI URL |
| [19] |
Ibáñez I, Schupp EW (2002). Effects of litter, soil surface conditions, and microhabitat on Cercocarpus ledifolius Nutt.: seedling emergence and establishment. Journal of Arid Environments, 52, 209-221.
DOI URL |
| [20] | Jiang YX (1981). Phytocenological role of forest floor in subalpine fir forests in western Sichuan Province. Acta Phytoecologia et Geobotanica Sinica, 5(2), 89-98. |
| [蒋有绪 (1981). 川西亚高山冷杉林枯枝落叶层的群落学作用. 植物生态学与地植物学丛刊, 5(2), 89-98.] | |
| [21] |
Junk WJ, Piedade MTF, Schöngart J, Cohn-Haft M, Adeney JM, Wittmann F (2011). A classification of major naturally-occurring Amazonian lowland wetlands. Wetlands, 31, 623-640.
DOI URL |
| [22] | Kettenring KM, Tarsa EE (2020). Need to seed? Ecological, genetic, and evolutionary keys to seed-based wetland restoration. Frontiers in Environmental Science, 8, 109. DOI: 10.3389/fenvs.2020.00109. |
| [23] |
Kuiters AT (1990). Role of phenolic substances from decomposing forest litter in plant-soil interactions. Acta Botanica Neerlandica, 39, 329-348.
DOI URL |
| [24] | Li AG, Lin CF, Hu MY, Liu XF, Song HW, Zhang L, Yang YS (2022). Effects of warming on physicochemical property of Cunninghamia lanceolata branch and leaf litter in subtropical plantation. Chinese Journal of Applied Ecology, 33, 2711-2717. |
|
[李澳归, 林成芳, 胡明艳, 刘小飞, 宋豪威, 张磊, 杨玉盛 (2022). 增温对亚热带杉木枝和叶凋落物理化性质的影响. 应用生态学报, 33, 2711-2717.]
DOI |
|
| [25] | Li SF, Xu QY, Zhang JE, Ye YQ (2020). Effect of continuous overlay mulching of rice straw-plastic film on control of invasive plant Bidens pilosa L. Chinese Journal of Eco-Agriculture, 28, 1682-1691. |
| [李赛飞, 许秋园, 章家恩, 叶延琼 (2020). 水稻秸秆-薄膜连续叠加覆盖对三叶鬼针草的控制效果. 中国生态农业学报(中英文), 28, 1682-1691.] | |
| [26] |
Li W, Tan R, Yang YM, Wang J (2014). Plant diversity as a good indicator of vegetation stability in a typical plateau wetland. Journal of Mountain Science, 11, 464-474.
DOI URL |
| [27] |
Li XF, Xu X, Wang BX, Huang YY, Wang ZF, Li JY (2012). Effects of forest litter layer on regeneration of Populus cathayana natural population in Xiaowutai Mountains in China. Chinese Journal of Plant Ecology, 36, 109-116.
DOI |
|
[李霄峰, 胥晓, 王碧霞, 黄尤优, 王志峰, 李俊钰 (2012). 小五台山森林落叶层对天然青杨种群更新方式的影响. 植物生态学报, 36, 109-116.]
DOI |
|
| [28] | Liu JY, Ding CJ, Zhang WX, Wei YW, Zhou YB, Zhu WX (2022). Litter mixing promoted decomposition rate through increasing diversities of phyllosphere microbial communities. Frontiers in Microbiology, 13, 1009091. DOI: 10.3389/fmicb.2022.1009091. |
| [29] | Liu Q, Liu JL, Liu HF, Liang LQ, Cai YP, Wang X, Li CH (2020). Vegetation dynamics under water-level fluctuations: implications for wetland restoration. Journal of Hydrology, 581, 124418. DOI: 10.1016/j.cropro.2021.105743. |
| [30] |
Monroy S, Larrañaga A, Martínez A, Pérez J, Molinero J, Basaguren A, Pozo J (2023). Temperature sensitivity of microbial litter decomposition in freshwaters: role of leaf litter quality and environmental characteristics. Microbial Ecology, 85, 839-852.
DOI |
| [31] |
Moravcová L, Zákravský P, Hroudová Z (2001). Germination and seedling establishment in Alisma gramineum, A. plantago-aquatica and A. lanceolatum under different environmental conditions. Folia Geobotanica, 36, 131-146.
DOI URL |
| [32] |
Mulhouse JM, de Steven D, Lide RF, Sharitz RR (2005). Effects of dominant species on vegetation change in Carolina bay wetlands following a multi-year drought. Journal of the Torrey Botanical Society, 132, 411-420.
DOI URL |
| [33] |
Petraglia A, Cacciatori C, Chelli S, Fenu G, Calderisi G, Gargano D, Abeli T, Orsenigo S, Carbognani M (2019). Litter decomposition: effects of temperature driven by soil moisture and vegetation type. Plant and Soil, 435, 187-200.
DOI |
| [34] |
Raulings EJ, Morris K, Roache MC, Boon PI (2010). The importance of water regimes operating at small spatial scales for the diversity and structure of wetland vegetation. Freshwater Biology, 55, 701-715.
DOI URL |
| [35] | Ren YL, Lu M, Fan FX, Peng SX (2019). The relationship between soil fungi and physico-chemical properties in swamp meadow of plateau wetlands. Ecological Science, 38(1), 42-49. |
| [任玉连, 陆梅, 范方喜, 彭淑娴 (2019). 高原湿地沼泽化草甸土壤真菌与理化性质的关系. 生态科学, 38(1), 42-49.] | |
| [36] | Rezvani M, Nadimi S, Zaefarian F, Chauhan BS (2021). Environmental factors affecting seed germination and seedling emergence of three Phalaris species. Crop Protection, 148, 105743. DOI: 10.1016/j.cropro.2021.105743. |
| [37] |
Rosbakh S, Phartyal SS, Poschlod P (2020). Seed germination traits shape community assembly along a hydroperiod gradient. Annals of Botany, 125, 67-78.
DOI PMID |
| [38] |
Ruprecht E, Szabó A (2012). Grass litter is a natural seed trap in long-term undisturbed grassland. Journal of Vegetation Science, 23, 495-504.
DOI URL |
| [39] |
Seabloom EW, van der Valk AG, Moloney KA (1998). The role of water depth and soil temperature in determining initial composition of prairie wetland coenoclines. Plant Ecology, 138, 203-216.
DOI |
| [40] | Song HL, Sun ZG, Sun JK, Mou XJ, Jiang HH, Sun WG (2012). Effects of nitrogen and phosphorus on seed germination and seedling growth of Suaeda salsa under different growth conditions of the Yellow River Estuary. Acta Prataculturae Sinica, 21(6), 30-41. |
| [宋红丽, 孙志高, 孙景宽, 牟晓杰, 姜欢欢, 孙文广 (2012). 氮、磷输入对黄河口潮滩湿地不同生境下碱蓬种子萌发与幼苗生长的影响. 草业学报, 21(6), 30-41.] | |
| [41] | Unsworth RKF, Rees SC, Bertelli CM, Esteban NE, Furness EJ, Walter B (2022). Nutrient additions to seagrass seed planting improve seedling emergence and growth. Frontiers in Plant Science, 13, 1013222. DOI: 10.3389/fpls.2022.1013222. |
| [42] |
Vazquez-Yanes C, Orozco-Segovia A, Rincon E, Sanchez-Coronado ME, Huante P, Toledo JR, Barradas VL (1990). Light beneath the litter in a tropical forest: effect on seed germination. Ecology, 71, 1952-1958.
DOI URL |
| [43] | Wang P, Li XY, Re FK, Lin LS, Zeng FJ (2024). A dataset of monthly litter recovery from the desert grassland in Southern Tarim Basin during 2010-2020. China Scientific Data, 9(2), 232-242. |
| [王鹏, 李向义, 热甫开提, 林丽莎, 曾凡江 (2024). 2010-2020年塔里木盆地南部荒漠草地凋落物回收量月动态数据集. 中国科学数据, 9(2), 232-242.] | |
| [44] | Wu HT, Jiang M, Lü XG, Mao DH, Shen XJ, Wang GD (2022). Basic theories and key technical problems of wetlands protection and restoration——The 289th Shuangqing Forum. Wetland Science, 20, 128-132. |
| [武海涛, 姜明, 吕宪国, 毛德华, 神祥金, 王国栋 (2022). 湿地保护和修复的基础理论及关键技术问题——第289期双清论坛. 湿地科学, 20, 128-132.] | |
| [45] |
Xiao C, Wang XF, Xia J, Liu GH (2010). The effect of temperature, water level and burial depth on seed germination of Myriophyllum spicatum and Potamogeton malaianus. Aquatic Botany, 92, 28-32.
DOI URL |
| [46] | Xie XG, Chen Y, Bu YQ, Dai CC (2014). A review of allelopathic researches on phenolic acids. Acta Ecologica Sinica, 34, 6417-6428. |
| [谢星光, 陈晏, 卜元卿, 戴传超 (2014). 酚酸类物质的化感作用研究进展. 生态学报, 34, 6417-6428.] | |
| [47] |
Xiong SJ, Johansson ME, Hughes FMR, Hayes A, Richards KS, Nilsson C (2003). Interactive effects of soil moisture, vegetation canopy, plant litter and seed addition on plant diversity in a wetland community. Journal of Ecology, 91, 976-986.
DOI URL |
| [48] |
Yan PF, Zhan PF, Xiao DR, Wang Y, Yu R, Liu ZY, Wang H (2019). Effects of simulated warming and decomposition interface on the litter decomposition rate of Zizania latifolia and its phyllospheric microbial community structure and function. Chinese Journal of Plant Ecology, 43, 107-118.
DOI URL |
|
[闫鹏飞, 展鹏飞, 肖德荣, 王燚, 余瑞, 刘振亚, 王行 (2019). 模拟增温及分解界面对茭草凋落物分解速率及叶际微生物结构和功能的影响. 植物生态学报, 43, 107-118.]
DOI |
|
| [49] |
Yasin M, Andreasen C (2016). Effect of reduced oxygen concentration on the germination behavior of vegetable seeds. Horticulture Environment, and Biotechnology, 57, 453-461.
DOI URL |
| [50] |
Yu J, Sharpe SM, Boyd NS (2020). Germination and emergence of common beggar’s-tick (Bidens alba) seeds at two different stages of afterripening as affected by environmental factors. Weed Science, 68, 503-509.
DOI URL |
| [51] |
Yue K, Ni X, Fornara DA, Peng Y, Liao S, Tan S, Wang D, Wu F, Yang Y (2021). Dynamics of calcium, magnesium, and manganese during litter decomposition in alpine forest aquatic and terrestrial ecosystems. Ecosystems, 24, 516-529.
DOI |
| [52] | Zhang JJ, Li XZ, Wang YN, Deng JJ, Zhou L, Zhou WM, Yu DP, Wang QW (2024). Research advance in effects of solar radiation on litter decomposition in terrestrial ecosystems. Chinese Journal of Applied Ecology, 35, 2463-2472. |
|
[张娟娟, 李星志, 王亚楠, 邓娇娇, 周莉, 周旺明, 于大炮, 王庆伟 (2024). 太阳辐射对陆地生态系统凋落物分解影响的研究进展. 应用生态学报, 35, 2463-2472.]
DOI |
|
| [53] |
Zhang X, Ni X, Heděnec P, Yue K, Wei X, Yang J, Wu FZ (2022). Litter facilitates plant development but restricts seedling establishment during vegetation regeneration. Functional Ecology, 36, 3134-3147.
DOI URL |
| [54] |
Zhang Z, Wang H, Cao J, Li G, Chauhan BS (2023). Seed biology of alkali barnyardgrass (Echinochloa crus-galli var. zelayensis) and junglerice (Echinochloa colona) for improved management in direct-seeded rice. Weed Science, 71, 112-123.
DOI URL |
| [55] |
Zhao C, Cai YB, Huang X, Liu QQ, Zhu CX, Yu JD, Wang ZN, Liu B (2019). Effects of Chinese fir litter cover on its seedling emergence and early growth. Chinese Journal of Applied Ecology, 30, 481-488.
DOI |
| [赵冲, 蔡一冰, 黄晓, 刘青青, 朱晨曦, 于姣妲, 王正宁, 刘博 (2019). 杉木凋落物覆盖对自身幼苗出土和早期生长的影响. 应用生态学报, 30, 481-488.] | |
| [56] |
Zhu J, Sun G, Li W, Zhang Y, Miao G, Noormets A, Mcnulty SG, King JS, Kumar M, Wang X (2017). Modeling the potential impacts of climate change on the water table level of selected forested wetlands in the southeastern United States. Hydrology and Earth System Sciences, 21, 6289-6305.
DOI URL |
| [1] | 任曦彤, 李颖, 张雨, 熊胡安赫, 张蕊科, 祁珊珊, 戴志聪, 杜道林. 丛枝菌根真菌与凋落物互作有助于加拿大一枝黄花应对营养胁迫[J]. , 2026, 50(菌根生态学): 0-. |
| [2] | 侯霄帆, 马辰涵, 孙语倩, 高钰涵, 李品. 臭氧胁迫下叶片与细根凋落物分解的生态化学计量特征差异[J]. , 2026, 50(化学计量与功能性状): 0-. |
| [3] | 周思琪, 艾灵, 倪祥银, 吴福忠, 吴秋霞, 朱晶晶, 张欣影. 全球植物凋落物纤维素分解速率的变化特征及其影响因子[J]. 植物生态学报, 2025, 49(3): 393-403. |
| [4] | 陈诚智, 高钰森, 罗力嘉, 王东. 川西高寒窄叶鲜卑花灌丛凋落枝和凋落叶生产与分解[J]. 植物生态学报, 2025, 49(10): 1733-1743. |
| [5] | 周鑫宇, 刘会良, 高贝, 卢妤婷, 陶玲庆, 文晓虎, 张岚, 张元明. 新疆特有濒危植物雪白睡莲繁殖生物学研究[J]. 植物生态学报, 2025, 49(10): 1643-1655. |
| [6] | 黄智军, 甘子莹, 祝嘉新, 丘清燕, 胡亚林. 杉木不同器官不同碳氮比对土壤激发效应的影响及其机理[J]. 植物生态学报, 2025, 49(10): 1710-1720. |
| [7] | 冉佳鑫, 张宇辉, 王云, 杨智杰, 毛超. 增温和氮磷添加对亚热带森林凋落物溶解有机碳生物可降解性的影响[J]. 植物生态学报, 2024, 48(9): 1232-1242. |
| [8] | 孙龙, 李文博, 娄虎, 于澄, 韩宇, 胡同欣. 火干扰对兴安落叶松种子萌发的影响[J]. 植物生态学报, 2024, 48(6): 770-779. |
| [9] | 袁涵, 钟爱文, 刘送平, 彭焱松, 徐磊. 水毛花种子萌发特性的差异及休眠解除方法[J]. 植物生态学报, 2024, 48(5): 638-650. |
| [10] | 兰光飞, 张强, 陈相标, 陈仕东, 熊德成, 刘小飞, 杨智杰, 杨玉盛. 中亚热带格氏栲林凋落物季节动态特征及其影响因素[J]. 植物生态学报, 2024, 48(12): 1589-1601. |
| [11] | 张玉, 杜婷, 陈玉莲, 朱和萌, 谭波, 游成铭, 张丽, 徐振锋, 李晗. 冻融作用对亚高山森林土壤有机碳组分中不同凋落物源碳贡献的影响[J]. 植物生态学报, 2024, 48(11): 1422-1433. |
| [12] | 王梁, 赵学超, 杨少博, 王清奎. 杉木叶和细根诱导的土壤有机碳分解激发效应及其对氮添加的响应[J]. 植物生态学报, 2024, 48(11): 1434-1444. |
| [13] | 赵小祥, 朱彬彬, 田秋香, 林巧玲, 陈龙, 刘峰. 叶片凋落物分解的主场优势研究进展[J]. 植物生态学报, 2023, 47(5): 597-607. |
| [14] | 李慧璇, 马红亮, 尹云锋, 高人. 亚热带天然阔叶林凋落物分解过程中活性、惰性碳氮的动态特征[J]. 植物生态学报, 2023, 47(5): 618-628. |
| [15] | 余继梅, 吴福忠, 袁吉, 金遐, 魏舒沅, 袁朝祥, 彭艳, 倪祥银, 岳楷. 全球尺度上凋落物初始酚类含量特征及影响因素[J]. 植物生态学报, 2023, 47(5): 608-617. |
| 阅读次数 | ||||||
|
全文 |
|
|||||
|
摘要 |
|
|||||
Copyright © 2026 版权所有 《植物生态学报》编辑部
地址: 北京香山南辛村20号, 邮编: 100093
Tel.: 010-62836134, 62836138; Fax: 010-82599431; E-mail: apes@ibcas.ac.cn, cjpe@ibcas.ac.cn
备案号: 京ICP备16067583号-19